1. 서 론
2. 관의 부식
3. 실제 상수도관망의 부정류해석
3.1 부정류해석 모형
3.2 실제 상수도관망 적용
4. 신뢰성 해석
4.1 신뢰성 해석모형
4.2 신뢰성 해석 결과
5. 상수도관의 운영지수
6. 결 론
1. 서 론
상수도관은 시간이 경과됨에 따라 노후화가 진행되고 부식으로 인해 관의 두께 및 강도가 감소하여 점차 상수도관의 기능을 상실하게 된다. 이러한 노후 상수도관의 사고로 인해 수자원에 막대한 경제적인 손실을 발생시키고 시민들에게 많은 불편을 끼친다. 최근 전국 곳곳에서 적수와 노후 상수도관 파손으로 인한 누수가 빈번하게 발생하고 있어 상수도 노후 상수도관에 대한 시민들의 관심도 커지고 있다. 하지만 노후 상수도관을 모두 교체하는 것은 막대한 예산이 필요하기 때문에 현실적으로 불가능한 일이다. 따라서 선제적 관리차원에서 상수관망에서 적절한 노후도 평가가 필요하며, 이를 통해 상수관의 교체가 시급한 지역에 우선적으로 개량 사업이 실시되어야 한다. 현재 관의 부식깊이, 잔존수명, 그리고 안전도를 분석하는 연구와 상수관의 노후도평가 연구가 다음과 같이 다양하게 진행되고 있다.
Bae et al. (2008)은 상수도의 내·외면 부식상태를 평가하였으며, 내·외면 부식깊이와 매설년수의 관계를 통하여 내·외면 부식속도, 그리고 국내의 토양특성이 관 외면부식에 미치는 영향을 평가하여 관 외면의 노후상태를 예측 가능한 부식속도 모델을 제안하였다. 하지만 조사대상 토양이 부식성이 없는 것으로 분석되어 토양특성과 관의 부식속도와의 상관성을 정확히 해석하지 못하였다.
Lee et al. (2003)은 국내 도시지역에서 주철관종(CIP, DCIP) 34개를 수집하여 매설년도에 따른 관체의 부식속도, 잔존두께 등을 평가하고 잔존수명과 이를 통한 개량시기를 고찰하였다. 하지만 토양의 특성 등 부식에 영향을 주는 요인에 대한 자료가 부족했다.
Kim et al. (2007)은 관종별 관경과 매설연수에 따른 부식의 통계적 특성을 분석하고 상수관의 내면 및 외부 부식깊이 예측모델을 개발하였다. 하지만 매설지역의 토양 및 수질 특성을 고려하지 않은 한계가 있었다.
Park et al. (2011)은 상수관의 개량 우선순위를 결정하는데 평가되어야 하는 인자를 관의 파손이 전체관망에 미치는 영향과 개별관로의 특성으로 구분하였다. 또한 퍼지기법을 통해 개량우선순위를 결정할 수 있는 모형을 개발하였다. 하지만 제안한 방법론을 실제 관망에 대한 적용성을 검토해야할 것으로 판단된다.
Kwon (2018)은 상수관망의 개선을 위한 우선순위결정을 위해 운영지수를 개발하여 실제 관망에 적용하였다. 구역별 파괴확률과 위험도를 분석하여 상대적으로 관로파괴에 취약한 구역을 선정하였다.
Kwon and Kim (2019)은 관두께 변화에 따른 파괴확률을 산정할 수 있는 수치모형을 개발하였고 이를 실제 상수도관망에 적용하였으며 사용연수가 증가함에 따른 파괴확률의 변화를 분석하였다.
본 연구에서는 부식깊이 산정식을 수립하여 시간에 따른 부식의 변화를 예측하고 이에 따른 상수도관의 파괴확률을 정량적으로 산정하였다. 또한 상수도관의 노후도에 영향을 미칠 수 있는 인자들을 추출하여 상수도관 개량의 우선순위를 결정할 수 있는 안전도 분석을 수행하였다.
2. 관의 부식
상수관은 매설 경과에 따라 부식에 의해 관두께 및 강도가 감소하며 결과적으로 파손이 발생하게 된다. Nahal and Khelif (2014)은 관의 부식으로 인한 관두께 변화식 Eq. (1)을 제안하였으며, kc는 0.066, n은 0.53을 사용하였다. 또한 Romanoff (1957)는 관두께의 매설연수 15년까지의 부식깊이를 실측하여 정리하였다. Fig. 1은 Nahal and Khelif (2014)의 관두께 변화식과 Romanoff (1957)의 실측치를 그래프로 나타낸 것이다. 본 연구에서는 부식으로 인한 관두께 변화를 파악하기 위해 Romanoff (1957)가 실측한 상수관의 관두께 변화 실측치를 사용하였으며. 시간에 따른 관두께 변화를 지수함수로 나타내어 Eq. (1)과 같은 형태로 제안하였다. 이를 통하여 관망의 매설경과년수가 10년, 20년, 30년 경과했을 경우 관두께의 변화를 예측하여 신뢰성해석에 적용하였다.
여기서, d는 관의 부식깊이, kc는 부식상수, t는 경과년수, n은 상수이다. 본 연구에서는 Romanoff (1957)의 실측 부식깊이 자료를 통해 kc와 n을 Fig. 1과 같이 산정하였다.
3. 실제 상수도관망의 부정류해석
3.1 부정류해석 모형
관수로 흐름에서 수충격해석은 압력과 유속이 모든 지점에서 시간의 함수로 결정되어야 한다. 해석에 쓰이는 두 개의 지배방정식은 잘 알려진 연속방정식과 운동방정식이며 두 개의 지배방정식을 위한 여러 가지 해법들(Kwon, 2005)이 제시되고 있으나 거의 비슷한 결과를 보이고 있다. 따라서 본 연구에서는 상수관의 수충격 해석에서 가장 사용이 간편하고 안정적인 특성선법(The method of characteristics)을 이용한 수치모형(Karney and McInnis, 1992; Watters, 1984)이 사용되었다. 특성선법이란 운동량방정식과 연속방정식의 편미분 형태를 상미분 형태로 변형하여 유한차분식을 Fig. 2와 같이 임의의 지점에서 유량과 압력수두에 관한 해를 구하는 방법으로 수충격 해석에서 적용이 간편하고 안정적인 방법으로 알려져 있다.
수충격 해석을 위한 지배방정식인 운동방정식과 연속방정식은 다음 Eqs. (2) and (3)와 같다.
여기서, Q는 유량, H는 위압수두(piezometric head), c는 압력파의 속도, A는 관의 단면적, D는 관의 직경, f는 Darcy- Weisbach 마찰계수 그리고 g는 중력가속도 이다. L1은 운동방정식을 L2는 연속방정식을 뜻한다면, 이들의 선형방정식인 (는 라그랑지안 승수)은 다음 Eq. (4)과 같이 표현될 수 있다.
여기서, 이고, 이며, 다음 Eqs. (5) and (6)의 연쇄법칙이 적용 가능하다.
따라서 Eqs. (4) and (5) 그리고 (6)를 통해서 는 다음과 같이 결정된다. 만약, 이라면 Eq. (4)의 좌변의 첫 항은 Eq. (5)와 정확히 같게 되고, 라면 Eq. (4)의 좌변 두 번째 항의 괄호는 Eq. (6)와 정확히 같게 된다. 그러므로 이며, 는 Eq. (7)처럼 나타나게 된다.
따라서 Eq. (7)을 사용하면 Eq. (4)은 아래의 두 식 Eqs. (8) and (9)과 같이 정리가 가능하다.
특성선법에 의하면 를 통해서 Eq. (8)이 사용되고, 를 통해서는 Eq. (9)이 해석된다. 마지막으로 Eqs. (8) and (9)을 위한 유한차분식은 각각 아래 Eqs. (10) and (11)과 같이 수립되었다(Kwon, 2005).
여기서, 윗 첨자 n+1은 시간변수를 나타내며 특성선법의 경우 반드시 아래 Eq. (12)과 같이 수렴조건(Courant stability condition)을 만족해야 한다.
3.2 실제 상수도관망 적용
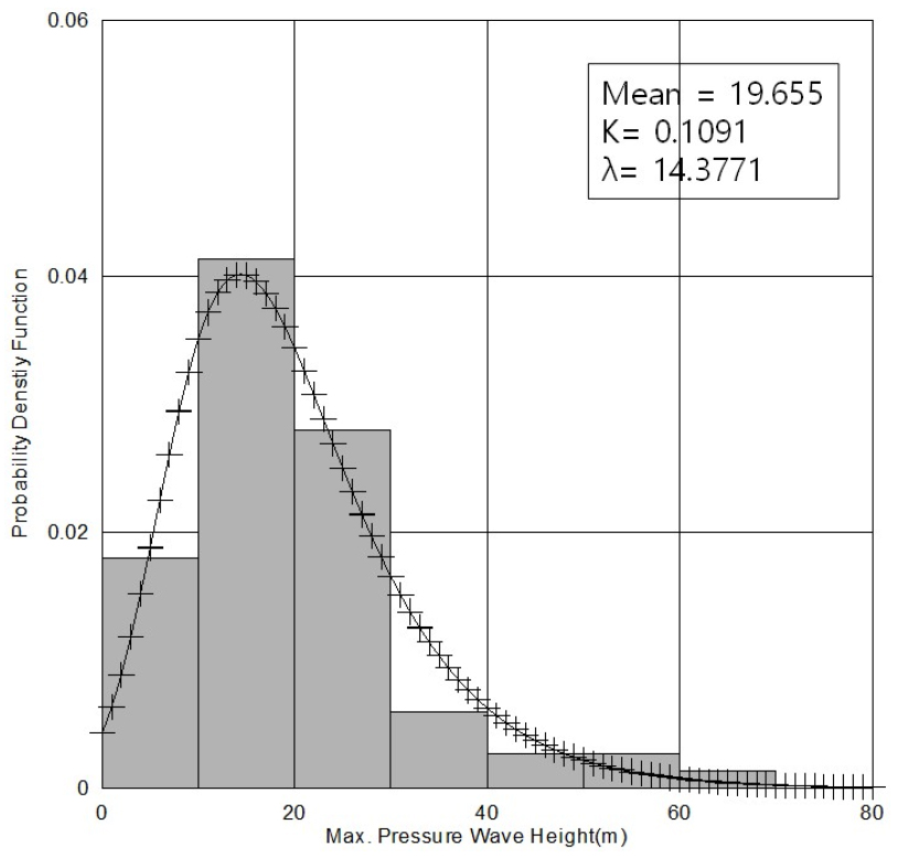
본 연구에서는 특성선법을 사용하여 두 곳의 실제 상수도관망에 대해 수충격 해석을 진행하였다. 본 논문에서 적용한 지역은 Figs. 3 and 4와 같이 충북 청주시의 가덕과 남이의 일부 지역으로 청주시 외곽에 위치하고 있다. 가덕 관망은 270개의 관로와 238개의 절점으로 이루어졌고 남이 관망은 159개의 관로와 147개의 절점으로 이루어져있다. 수충격 발생 시나리오는 유량이 가장 많은 15개의 관에서 밸브의 개폐에 의해 수충격 현상이 발생했다고 가정하였다. 밸브 폐쇄시간 1.0초에 따른 모든 절점에서의 최고 수충격압을 계산하였다. 해석조건으로 는 10 m, 마찰계수(f)는 0.03, 파속(C)는 1200 m/sec을 적용하였고 총 60초간 시뮬레이션하여 최고 수충격압을 추출하였다. Figs. 5 and 6은 가덕과 남이 지역의 수충격 해석 결과를 보여주고 있다. 가덕과 남이의 수충격압의 통계적 특성을 분석한 결과 Figs. 7 and 8과 같이 검벨분포를 나타내고 있는 것을 확인할 수 있었다. Table 1은 가덕과 남이의 수충격해석 결과의 통계적 특성을 나타내고 있다.
수충격압의 통계적인 특성값은 가덕 상수관망의 경우 Table 1과 같이 평균 수격압 = 19.66 m, COV = 0.410, = 0.11, = 14.38로 나타났다. 남이 상수관망의 경우 평균 수격압 = 8.82 m, COV = 0.463, = 0.31, = 6.98로 나타났다.
4. 신뢰성 해석
4.1 신뢰성 해석모형
본 연구에서는 신뢰성해석 모형으로 LevelⅡ인 FORM (Frist-Order Reliability Method)모형을 적용하였고 신뢰함수는 주장력공식 Eq. (13)을 사용하였다.
여기서 = 관의 허용응력, t = 관두께, p = 관의 내압, 그리고 D = 관의 직경이다. 따라서 신뢰함수는 Eq. (14)를 사용하여 Z < 0을 만족하는 파괴확률을 정량적으로 산정할 수 있다.
관의 두께와 직경, 그리고 허용응력은 제품이 출고될 때 여러 불확실성을 갖고 있지만 정규분포를 따른다고 가정하였다. 또한 본 연구에서는 국내에서 실제 사용되는 관두께 산정식(KCIP, 2012)을 적용하여 신뢰성해석을 수행하였다. 관두께 산정식은 정수압과 수격압, 그리고 토피로 인한 토압 및 트럭하중으로 인한 토압을 모두 동시에 고려하고 있으며 정수압의 안전율 2.0, 수격압의 안전율 2.0, 토피로 인한 안전율 2.0, 차량하중으로 인한 토압안전율 2.0을 대입하여 아래 Eq. (15)와 같이 산정한다.
여기서, t = 관두께(mm), Ps = 정수압(kg/cm2), Pu= 수격압(kg/cm2), Kf = 관저의 지지각에 따라 결정되는 계수, Kt= 관정 0.076, 관저 0.011, Wf = 토피에 따른 토압(kg/cm2), Wt = 트럭하중에 따른 토압(kg/cm2), d = 관의 내경(mm), = 허용응력(kg/cm2)이다. 본 연구에서는 관두께 산정을 위해 허용응력() = 1,400 kg/cm2, 차량하중 = 9,600 kg을 적용하여 토피 1.5 m에서의 관두께를 산정하였다.
4.2 신뢰성 해석 결과
통계적 특성 및 분석결과에 따라 직경별 상수도관의 사용경과에 따른 파괴확률을 산정하였다. 상수도관의 직경은 가덕 상수관망의 경우 강관 200 mm, 300 mm에 적용하였고 남이 상수관망의 경우 강관 200 mm, 250 mm를 적용하였으며 허용응력은 1,400 kg/cm2을 사용하였다. 직경 200 mm, 250 mm와 300 mm의 초기 관두께는 각각 5.85 mm, 6.4 mm, 7 mm를 사용하였으며 사용연수에 따른 관두께는 Romanoff (1957)의 실측치를 통해 산정된 모델을 통해 변화를 주었다. Romanoff의 측정치를 사용한 이유는 하나의 관을 20여년간 부식깊이를 추적조회하여 그 결과를 나타낸것으로 신뢰도가 매우 높은 측정치로 판단하였다. Romanoff (1957)의 부식깊이 실측치를 통해 산정 결과 kc와 n 각각 0.12, 0.68로 산정되었고 Table 2와 같이 사용연수가 10년, 20년, 30년 경과됨에 따라 부식깊이는 0.5744 mm, 0.9202 mm, 1.2123 mm로 나타났다. Figs. 9 ~ 12는 신뢰성해석결과를 보여주고 있다. 압력은 정상류 상태의 압력에 수충격압 평균을 합하여 파괴확률을 산정하였다. 파괴확률을 산정한 결과 압력이 15 kg/cm2일 때 Table 3과 같다. 가덕의 경우 직경 200 mm 관은 시간이 경과함에 따라 파괴확률은 4.36%, 6.18%, 8.23%로 증가하는 것으로 나타났으며 직경 300 mm관의 파괴확률은 6.94%, 9.01%, 10.93%로 증가하는 것으로 나타났다. 남이의 직경 200 mm 관에서 파괴확률은 7.35%, 9.51%, 12.99%로 증가하는 것으로 나타났으며 직경 250 mm 관의 파괴확률은 9.18%, 11.31%, 13.79%로 증가하는 것으로 나타났다.
5. 상수도관의 운영지수
현재 우리나라는 노후화된 상수관이 대부분 차지하고 있지만 모든 상수관을 교체하는 것은 힘들기 때문에 노후화 진행 상태를 고려하여 우선순위를 결정하는 것이 중요하다. 따라서 상수도관의 안전도를 판단할 수 있는 운영인자를 다음과 같이 결정하였다. 사용 관두께 지수(It), 잔존 관두께 지수(In), 수압지수(Ip), 매설연수지수(Iy), 사고이력 지수(Ia), 토양비저항과 pH농도 지수(Is), 유량지수(If)를 상수도관의 운영인자로 결정하였다. 관두께 지수는 Eq. (16)과 같이 상수관의 설계시 산정된 관두께와 실제 사용된 관두께의 비이다.
여기서, It = 관두께 지수, t = 산정된 관두께(mm), tk = 실제 관두께(mm)이다. 관두께 지수는 직경 100 mm 이상, 길이 100 m이상의 관을 선정하여 산정하였다.
잔존 관두께 지수는 Eq. (17)과 같이 잔존 관두께와 초기 관두께의 비이다.
여기서, In = 잔존두께지수, tn = 부식깊이(mm), tk = 초기관두께(mm)이다. 잔존두께는 직경 100 mm 이상, 길이 100 m 이상의 관을 선정하여 산정하였다.
수압지수는 Eq. (18)과 같이 선정한 관 절점의 평균 압력수두와 배수지 압력수두의 비이다.
여기서, Ip = 수압지수, p = 절점의 압력수두(m), pr = 배수지의 압력수두(m)이다. 수압지수는 Eq. (18)과 같이 선정된 관에 속한 절점들의 모든 압력을 평균하여 산정하였다.
매설연수지수는 Eq. (19)와 같이 실제 관의 매설연도와 최초 매설연수의 비이다.
여기서, Iy = 매설연수지수, y = 실제 관 매설연도, yf = 관의 최대 매설연도이다. 관의 최대 매설연도는 상수관의 교체시기인 30년으로 지정했다. 가덕 상수도관망의 최초 매설연도는 1992년으로 28년, 남이 상수관망의 최초매설연도는 1997년으로 23년을 적용하였다.
토양 지수는 Eq. (20)과 같이 토양비저항과 토양의 pH농도를 고려한 지수이다.
여기서, Is = 토양지수, pH1 = 중성상태인 pH 7.5, pH2 = 매설된 토양의 pH농도, = 토양비저항이 양호한 1,0000, = 매설된 토양의 토양비저항이다.
사고이력지수는 Eq. (21)과 같이 구역별 관로사고횟수와 청주시 전체 관로사고횟수의 비이다.
Ia = 사고이력지수, a = 가덕, 남이 지역에 발생한 관로사고횟수, at = 청주시 관로사고횟수이다. 관로사고는 최근 10년간의 자료를 수집하여 선정했다.
유량 지수는 Eq. (22)와 같이 구역별 관에 흐르는 유량과 관망 전체의 배수유량의 비이다.
여기서, If = 유량지수, f = 구역별 관에 흐르는 유량, ft = 관망 전체의 배수유량이다. f는 관의 직경별로 흐르는 유량을 산정하였다.
Table 4는 가덕 상수관망과 남이 상수관망의 운영지수를 보여주고 있다. 사용 관두께지수는 가덕 상수관망 0.39, 남이 상수관망 0.34, 잔존두께지수는 가덕 상수관망 0.11, 남이 상수관망 0.16, 매설연수지수는 가덕 상수관망 0.37, 남이 상수관망 0.71, 수압지수는 가덕 상수관망 0.41, 남이 상수관망 0.38, 소요유량지수는 가덕 상수관망 0.3, 남이 상수관망 0.36으로 산정되었다. 운영지수를 방사형차트로 나타내어 면적을 비교해 본 결과 Figs. 13 and 14와 같이 가덕 상수관망은 0.987, 남이 상수관망은 1.122로 나타났다. 따라서 본 연구에 사용된 운영인자에 따른 상수관망의 개선의 우선순위는 남이 상수관망을 우선적으로 개선해야 한다고 판단된다.
Table 4.
Management indexes in Gaduk and Nami water distribution system (Steel pipe)
6. 결 론
본 연구에서는 시간에 따른 관의 부식깊이 변화를 예측하고 상수관망을 신뢰성해석을 통해 파괴확률을 산정하였다. 그리고 상수관망 운영지수를 적용하여 상수관망의 개선 우선순위를 결정하였다. 부식깊이 산정 모델을 수립하기 위해 Romanoff (1957)가 실측한 관두께 변화를 적용하여 해석하였다.
10년, 20년, 30년 시간 경과함에 따른 부식깊이는 각각 0.5744 mm, 0.9202 mm, 1.2123 mm로 나타났으며 산정된 부식깊이를 적용하여 가덕 상수관망과 남이 상수관망의 파괴확률을 산정하였다. 매설연수가 10년, 20년 경과함에 따라 압력 15 kg/cm2에서 가덕 상수관망의 파괴확률은 직경 200 mm 강관의 경우 각각 6.18%, 8.23%, 직경 300 mm 강관은 각각 9.01%, 10.93%로 나타났으며, 남이 상수관망의 파괴확률은 직경 200 mm 강관의 경우 각각 9.51%, 12.99%, 직경 250 mm 강관은 각각 11.31%, 13.79%로 나타났다. 두 상수관망 공통적으로 매설되어 있는 직경 200 mm를 비교하였을 때 남이 상수관망이 파괴확률이 더 큰 것으로 나타났다.
또한 상수도 운영지수를 결정하여 두 지역 상수관망의 위험도를 비교하였다. 사용 관두께 지수(It), 잔존 관두께 지수(In), 수압지수(Ip), 매설연수지수(Iy), 사고이력 지수(Ia), 토양비저항과 pH농도 지수(Is), 유량지수(If)를 운영지수로 적용하였으며, 방사형 차트로 나타내 면적을 비교하였다. 면적을 비교한 결과 가덕 상수관망의 면적은 1.009, 남이 상수관망의 면적은 1.174로써 남이 지역의 상수도가 안전도가 더 낮은 것으로 나타났다. 향후 연구를 위해 더 많은 상수도 통계자료가 필요하며 이를 통해 운영지수별 중요도 분석을 하고 지수의 차등적용이 이루어져야 할 것이다.
본 연구에서는 가덕과 남이 지역의 상수관망에서 신뢰성해석과 운영인자를 통한 위험도 분석을 진행했다. 분석 결과 상수관의 파괴확률이 커질수록 방사형 차트의 면적도 커지는 것을 확인할 수 있었으며, 이를 통해 본 연구에서 수립한 운영지수와 신뢰성해석으로 노후 상수관망에 대한 적절한 개량과 교체가 필요한 상수관로의 우선순위 결정에 사용 가능할 것으로 판단된다.
















