1. 서 론
수제는 하천 내 설치되는 콘크리트 블록, 돌무더기, 통나무 등의 수리구조물로 정의되며, 일반적으로 하천 제방에서 중심부 방향으로 뻗어나온 형태를 갖는다. 하천 내 설치된 수제는 수충부에 낮은 유속을 유발하여 하상 세굴이나 제방 유실 현상을 방지하고, 구조물의 설치 및 철거가 용이하기 때문에 하천의 유지·관리 측면에서 큰 장점을 지닌다. 또한, 수제는 구조물 주변 흐름의 다양성을 높여 하천의 수질을 개선시키기도 하고 어류가 서식하기에 좋은 환경을 조성하기도 한다. 최근 하천의 환경·생태적 기능이 중요시되면서 수제를 이용한 하천 유지·관리 공법의 수요가 증가하고 있다.
수제의 구조적 안정성을 높이고 효율적인 수제 설치 효과를 얻기 위해서는 수제 주위에서 발생하는 흐름에 대한 정확한 이해가 필요하다. 수제 주위에는 말발굽와(horseshoe vortex), 자유수면와류(free surface vortex), 재순환영역(recirculation area) 등의 복잡한 3차원 흐름이 혼재하기 때문에 수제의 설치로 인한 하천의 흐름 변화를 예측하는 것은 쉽지 않다. 수제 주위의 3차원 흐름을 규명하고 이에 따른 하상 변화를 관찰하기 위해 현재까지 국·내외에서 다양한 연구가 수행되어왔다. 수제와 관련한 초기 국내 연구들은 주로 Large Scale Particle Image Velocimeter (LSPIV) 기법을 이용하여 자유수면에서의 2차원 유속 분포를 측정하였고, 접근 단면 등의 제한된 지점에서만 Acoustic Doppler Velocimeter (ADV)를 이용해 3차원 유속을 측정하였다(Kang et al., 2005; Yeo et al., 2006; Kang et al., 2009; Kim et al., 2014). 이와 같은 실험방법은 자유수면에서의 재순환영역 또는 수제 선단부에서 시작되는 전단층 (shear layer) 등의 흐름구조를 파악하기에는 용이하지만 수제 주위에서 발생하는 복잡한 3차원 흐름특성을 모두 고려하지 못한다는 점에서 아쉬움이 남는다.
최근 국내에는 이러한 기존 연구 방법의 한계를 극복하기 위해 수제 주위의 3차원 유속을 측정하여 수제 주위의 3차원 난류 흐름특성을 분석하려는 시도가 있었다. Jeon and Kang (2016)은 ADV를 이용하여 Froude 수가 서로 다른 흐름 조건에서 물에 잠기지 않은 수제 주위의 3차원 유속을 각각 측정하였고 이를 통해 Froude 수가 수제 주위 흐름의 난류 특성 변화에 미치는 영향을 분석하였다. 실험결과, Froude 수에 따라 무차원 시간평균유속과 레이놀즈 응력 및 난류에너지의 전반적인 경향성에서는 유의미한 변화를 찾을 수 없었으나, 정량적인 크기가 변한다는 것을 확인하였다. Lee et al. (2017)는 수제의 잠김 흐름이 수제 하류의 3차원 흐름 구조에 미치는 영향을 알아보기 위한 연구를 수행하였다. 수제의 높이가 유입흐름 수심의 절반이 되는 수제를 사용하였고 ADV를 이용하여 잠긴 수제 주위의 3차원 유속을 측정하였다. 잠긴 수제에서 얻은 실험결과를 Jeon and Kang (2016)이 수행한 잠기지 않은 수제의 실험결과와 비교하였으며, 잠김 흐름이 수제 하류에서 관찰되는 재순환영역의 흐름방향 길이와 이차류 발생의 흐름방향 범위를 현저히 감소시킨다는 것을 확인하였다. Jeon et al. (2018)은 ADV를 이용해 물에 잠기지 않은 수제 주위의 3차원 유속을 측정하고, 시간평균유속과 레이놀즈 응력 및 난류에너지 특성 분석과 함께 스펙트럼 분석을 수행하였다. 스펙트럼 분석을 통해 수제 인접부에서는 전단층의 불안정성(shear layer instabaility)과 관련된 주기 흐름이 발생하고, 재순환흐름이 끝나는 지점의 수제 측의 수로 벽면 지점(reattachment)에서는 플래핑 운동(flapping motions)과 관련된 주기 흐름이 나타나는 것을 밝혔다. 또한, 흐름시각화 실험(flow visualization experiment)을 통해 수제 상류부에 자유수면와류(free surface vortex)가 존재함을 확인하였다.
국외에서도 ADV를 이용해 유속측정을 측정하고 이를 바탕으로 수제 주위 흐름을 분석하려는 노력이 이루어지고 있다. Dey and Barbuiya (2006)는 ADV를 이용해 직각 수제와 비슷한 형상을 갖는 교대(abutment) 주위 세굴영역 내부의 3차원 유속을 측정하였고 교대 상류부에서 관찰되는 하강흐름(downflow)과 관련된 와류(vortex)의 존재를 확인하였다. Duan (2009)은 ADV를 이용하여 고정상 수로에 설치된 수제 주위의 3차원 유속을 측정하고 수제 주위의 흐름구조를 분석하는 실험 연구를 수행하였다. 흐름 구조 분석을 통해 흐름방향을 축으로 서로 반대 방향으로 회전하는 순환흐름쌍이 수제 하류에 존재한다는 사실을 확인하였다. 또한, 주흐름영역 (primary flow region)과 재순환영역(recirculation region) 사이에서 강한 난류에너지가 발생하며 발생된 난류에너지는 흐름이 하류로 흘러가면서 횡방향으로 전달된다는 것을 알아냈다. Duan et al. (2009)는 이동상과 고정상 수로에 설치된 수제 주위 흐름을 ADV를 이용해 비교·분석하였다. Reynolds 응력을 바탕으로 바닥전단응력을 추정했으며, 고정상에 설치된 수제의 경우 수제 상류부에서 바닥전단응력이 크게 나타나고, 이동상 수로에 설치된 수제의 경우 수제 선단부 하류에서 바닥전단응력이 크게 나타남을 관찰하였다. 고정상 수로는 세굴이 발생하기 전의 수로 상태로 간주할 수 있고, 이동상 수로는 수로 바닥이 평형상태에 도달한 상태로 간주할 수 있다. 따라서 수제 주위의 세굴이 수제 상류부에서 시작되어 세굴이 진행됨에 따라 세굴영역이 수제 선단부 하류로 이동한다는 결론을 도출하였다. 또한, 이 실험연구를 통해 수제 상류부에서 시작되는 세굴은 수제 상류에서 발생하는 말발굽와(horseshoe vortex)와 깊은 관련이 있다는 것이 밝혀졌다. Safarzadeh et al. (2016)은 수제의 형상이 수제 주위 3차원 흐름구조에 미치는 영향을 알아보고자 실험을 수행하였다. T자 모양의 수제와 직선 수제를 수로에 설치하고, ADV를 이용해 유속을 측정하였다. 실험결과, T자 형상 수제의 날개부 길이가 증가할수록 수제 상류에서 발생하는 말발굽와(horseshoe vortex)의 크기가 줄어드는 것을 발견했다.
위의 연구 사례를 통해 기존 연구에서는 주로 수제나 수로 형상에 따른 흐름 및 세굴 양상 변화를 주로 관찰했음을 알 수 있다. 그러나 하천 흐름 분석에 있어 가장 중요한 인자 중 하나인 Froude 수의 수리학적 영향을 검토한 연구 사례는 많지 않다. Froude 수의 수리학적 영향을 검토한 연구들은 대부분 세굴 양상 변화를 중점적으로 관찰하였으며(Rajaratnam and Nwachukwu, 1983a; Rajaratnam and Nwachukwu, 1983b; Kuhnel et al., 1999; Fazli et al., 2008; Ghodsian and Vaghefi, 2009), 일부 연구에서만 Froude 수에 따른 3차원 흐름 변화를 관찰하였다. Jeon et al. (2018)은 길이수심비가 (L/H) 1.40 인 흐름 조건에서 두 가지 Froude 수(Fr = 0.10, Fr = 0.19)에 대하여 실험을 수행했으며, Froude 수가 수제 하류 3차원 흐름구조에 미치는 영향이 크지 않다는 결론을 내렸다. Jeon et al. (2018)의 실험 연구에서 얻은 이와 같은 결론은 앞서 수행된 Kara et al. (2015)과 Khosronejad et al. (2018)의 3차원 수치해석 연구 결과와 상반된다.
Kara et al. (2015)는 직각 수제와 비슷한 형상을 갖는 교대를 직선 수로에 설치하고 Large Eddy Simulation (LES)를 이용하여 교대 주위의 시간 평균 유속분포와 난류흐름분포를 분석하였다. Kara et al. (2015)의 연구는 L/H = 2.63이고 Fr = 0.33인 흐름 조건에서 수행되었으며, 자유수면변화가 교대 주위 수로 바닥부의 유속 및 난류 특성분포에 미치는 영향을 규명하기 위해 Rigid-Lid와 Level-Set 방법을 이용하였다. Rigid-Lid는 흐름 내 자유수면변화가 무시할정도로 작다고 가정하여 흐름 내 수면변화를 고려하지 않는 해석 방법이고 Level-Set 방법은 3차원 흐름변화에 의한 자유수면변화를 계산하여 흐름 내 수면변화를 고려하는 해석 방법이다. 해석결과, 자유수면변화를 고려하는 Level-Set 방법의 경우, 레이놀즈응력과 난류에너지의 크기 및 분포가 Rigid-Lid 방법을 이용할 때와는 확연히 다른 양상을 보이는 것을 알 수 있었다. Khosronejad et al. (2018)는 Kara et al. (2015)의 연구를 확장하여 자유수면변화가 교대 주위 바닥부의 시간평균유속과 난류흐름분포에 미치는 영향을 알아보았다. Khosronejad et al. (2018)는 Kara et al. (2015)의 연구에서 보다 높은 레이놀즈수를 갖는 흐름 조건에서 5배 큰 길이 축척을 갖는 수로와 교대를 이용하여 LES를 수행하였다. Khosronejad et al. (2018)는 Kara et al. (2015)의 연구에서와 동일하게 Level-Set 방법과 Rigid-Lid 방법으로 자유수면을 해석하였고, 레이놀즈수를 제외한 다른 흐름 조건은 Kara et al. (2015)의 연구에서와 유사한 값을 나타내었다(L/H = 2.50, Fr = 0.36). 3차원 수치해석 결과, 자유수면변화의 고려 여부에 따라 난류흐름분포와 시간평균유속분포가 무시할 수 없는 정도의 차이를 나타내는 것을 알 수 있었다. 개수로흐름(open channel flow)에서 Froude 수가 증가함에 따라 자유수면변화가 커진다는 사실을 고려하면 Kara et al. (2015)와 Khosronejad et al. (2018)의 수치해석 결과는 Jeon et al. (2018)의 수리모형실험 결과와 상반됨을 알 수 있다.
위의 사례에서와 같이 최근 컴퓨터 장비와 수치해석기술의 발달로 3차원 전산유체역학(Computational Fluid Dynamics, CFD) 모델을 이용한 하천구조물 주위 흐름해석이 활발히 이루어지고 있다. CFD를 이용한 흐름해석에는 다양한 경험 상수 및 경계조건이 입력값으로 들어가게 되는데, 이러한 입력값들의 적절성을 검증하기 위해서는 수리모형실험을 통해 얻은 수위 또는 유속자료와 수치해석으로 계산된 자료를 비교·분석하는 작업이 반드시 필요하다. 하지만 Kara et al. (2015)와 Khosronejad et al. (2018)이 수행한 수치해석에서와 같이 높은 길이 수심비(L/H)를 갖는 얕은 흐름의 경우, 구조물 주위에 난류 제트(turbulent jet)와 같은 복잡한 흐름이 발생하기 때문에 유속계를 이용한 유속 측정이 어렵다. 이와 같은 이유로 Kara et al. (2015)는 측정된 유속 자료 없이 point gauge로 측정한 수위 자료만을 가지고 CFD 모델을 검증하였다. 또한, Khosronejad et al. (2018)는 25 Hz의 샘플링 주기를 갖는 ADV를 이용하여 교대 하류 먼 곳의 두 지점(x/L = 9.0와 x/L = 10.5)에서 약 36개의 유속 자료를 취득해 연구에서 사용된 LES 모형을 검증하였다. 본 실험연구에서는 100 Hz의 샘플링 주기를 갖는 ADV를 이용하여 수제 주위(x/L = -1.0-6.0)의 약 396개의 측점에서 유속을 측정하였으며, 이 유속자료는 향후 3차원 CFD 모델을 이용한 흐름해석 시 수치모형의 검증자료로 이용될 수 있다는 점에서 그 연구가치가 있다.
뿐만 아니라 기존의 연구사례(Kara et al., 2015; Jeon et al., 2018; Khosronejad et al., 2018)에서 확인할 수 있듯이, 수제와 비슷한 형상을 갖는 하천구조물 주위의 3차원 흐름에서 자유수면변화가 구조물 주위 바닥부 유속과 난류 특성 분포에 미치는 영향에 관해 서로 다른 견해가 있음을 알 수 있다. 본 실험연구는 이 같은 차이의 발생 원인을 규명하고자 수행되었다. 본 실험연구는 Kara et al. (2015)와 Khosronejad et al. (2018)의 연구에서와 같이 얕은 흐름을 갖는 수제 하류의 자유수면변화가 수로 바닥부의 유속분포에 미치는 영향을 알아보기 위해 수행되었다. 따라서 수제 하류에서 안정적인 수위가 나타나는 지점(x = 0.15 m, y = 0.1-0.3 m) 에서의 수심(d)을 고정시키고, Froude 수 변화에 따른 수제 주위 바닥부의 유속분포 변화를 관찰하였다. 본 실험연구에서 Froude 수는 자유수면변화의 정도를 나타내는 무차원수이며, 흐름의 얕은 정도를 나타내는 길이수심비는 Kara et al. (2015)와 Khosronejad et al. (2018)의 연구에서와 비슷한 조건에서 수리모형실험을 수행하였다(Table 1, Table 2).
Table 1. Experimental and numerical parameters of previous research works for a non-submerged spur dike
Table 2. Experimental parameters of the present experiment at x = 0.15 m (x /L = 0.5)
| Red | Frd | B/Hd | L/Hd | L/B | |
| case1 | 4.91×104 | 0.31 | 6.98 | 2.33 | 0.33 |
| case2 | 6.39×104 | 0.38 | |||
| case3 | 7.92×104 | 0.46 |
2. 실험조건
본 실험은 길이 18 m, 폭 0.9 m의 실험용 개수로에서 수행되었다. 수제 모형은 길이 0.3 m, 두께 0.04 m의 아크릴로 제작하였고, 수행된 모든 실험의 흐름조건에서 수제는 물에 잠기지 않도록 설정하였다. 수제모형은 수로 하류 끝단으로부터 9 m 상류 지점에 설치하였다. Fig. 1은 실험에 사용된 ADV 및 수제 모형을 보여준다. Figs. 2 and 3은 각각 수로 내 설치된 수제 모형을 도식화한 그림과 ADV를 이용한 유속의 측점을 나타낸 그림이다. 유속은 Nortek사의 Vectrino-II 초음파 유속계(ADV)를 이용하여 100 Hz의 주기로 측정하였고 측정 범위 및 측점간격은 다음과 같다. 흐름 방향으로는 x = -0.6 m-1.8 m (x/L = -2.00-6.00, x: 흐름방향 좌표, L: 수제길이 )의 범위에서 측정하였다. 횡방향으로는 y = 0.05 m-0.35 m (y/L = 0.17-1.17)과 x = 0.55 m-0.85 m (y/L = 1.83-2.83)의 범위에서는 0.10 m 간격으로 측정하였으며 급격한 흐름변화가 생기는 y = 0.35 m -0.55 m (y/L = 1.17-1.83)의 범위에서는 0.05 m의 간격으로 측정하였다.
본 실험에서는 높은 Froude 수의 흐름조건을 선택하였기 때문에 하류단 게이트에서 불규칙파가 발생하여 하류단 주변의 수위가 불안정했다. 따라서 비교적 안정적인 수위가 나타나는 수제 직하류 x = 0.15 m, y = 0.10-0.30 m (x/L = 0.5, y/L = 0.33-1.00)에서의 평균 수위(Hd)를 고정시키고 Froude 수의 변화가 수제 하류 시간평균유속과 난류에너지 흐름 분포에 미치는 영향을 고려하였다(Table 2). 수위는 MicroSonic 사의 초음파거리센서(ultrasonic distance sensor)를 이용하여 3분동안 측정하였다.
ADV는 유속을 측정하는 센서 부분이 물에 잠겨야 하는 기기의 특성상 흐름을 방해하게 되기 때문에 ADV에서 측정된 유속은 기기 끝단 중심부로부터 5.0-5.5 cm 떨어진 지점에서 가장 높은 신뢰도를 갖게 설계되었다. 수제 직하류(x/L = 0.5, y/L = 0.33-1.00)의 평균 수위가 x = 0.129 m이고, 유속계의 센서부가 물에 완전히 잠겨야 하는 것을 고려하면 연직방향으로는 대략 z = 0.05 m인 지점부터 유속을 측정할 수 있다. 하지만 ADV의 센서가 수면 근처에 위치하게 될 경우, ADV 센서 주위 대기의 공기가 유입하면서 공기방울(bubbles)을 생성하는데 이러한 공기방울들은 ADV의 유속 측정을 방해한다. 특히, 본 실험에서와 같이 Froude 수가 큰 경우에는 흐름의 자유수면변화가 크기 때문에 공기의 유입으로 인한 유속 측정의 방해가 더욱 크게 발생한다. 따라서 본 실험에서는 공기의 유입으로 인한 유속 측정의 방해가 적게 일어나는 수로 바닥부 z = 0.01 m (z/Hd = 0.08)과 z = 0.03 m (z/Hd = 0.23)에서 유속을 측정하였다.
본 실험연구에서 u, v, w는 각각 흐름방향 유속, 횡방향 유속, 연직방향 유속을 나타낸다. 또한, 흐름의 난류 특성을 분석하기 위해 계산한 u', v', w'는 각각 흐름방향, 횡방향, 연직방향의 요동유속(u'(t) = u(t) -, v'(t)= v (t) -, w'(t) = w(t) -)으로 정의된다. 여기서 는 의 시간평균 값을 나타낸다.
3. 실험결과
3.1 수위 변화
Fig. 4는 수제선단부(y/L = 1.33)에서 흐름방향변화에 따른 시간평균수위 분포를 나타낸다. 그림에서 알 수 있듯이, Froude수가 높을수록 수제 상하류의 시간평균수위 차가 증가한다는 사실을 확인할 수 있다. Frd = 0.31의 경우, 수제 상류에서의 수위가 하류의 수위보다 약 1.19배 정도 크게 측정되고, Frd = 0.38와 Frd = 0.46의 경우에는 각각 1.28배와 1.38배만큼 크게 측정되었다. 이는 Froude수가 큰 경우 자유수면변화가 크게 일어난다는 것을 보여준다.
3.2 시간평균 유속 특성
Fig. 5는 무차원 흐름방향 시간평균 유속(u/U0)을 나타낸다. 전반적인 u/U0분포는 Froude수 변화에 크게 영향을 받지 않음을 알 수 있다. 하지만 본 실험 조건에서와 같이Froude수가 매우 큰 경우(Frd = 0.46), 수제하류(x/L > 0), y/L = 0.5-2.0에서 u/U0값이 커지는 것을 확인할 수 있다. 이는 Froude 수가 높을수록 수제하류에서 유속 회복이 더욱 빠르게 일어난다는 것을 보여준다. Fig. 4에서 확인한 바와 같이, 개수로흐름에서 Froude수가 높은 흐름은 자유수면변화가 크며, 이러한 자유수면변화는 흐름의 횡단면 면적을 변화시킨다. 특히, 흐름의 횡단면 면적이 최소가 되는 곳에서 유속이 증가하면서 흐름 내 국부가속을 유발하는데, 이로 인해 Froude수가 높을수록 1<y/L<2에서 양의 흐름방향유속의 크기가 증가하는 것을 알 수 있다. 또 한가지 흥미로운 사실은 측정단면의 높이에 관계없이 수제하류 제방 내측(x/L> 0, y/L≤1)에서 -x방향 유속이 발생한다는 점이다. 이는 기존의 여러 연구에서 발견했듯이 수제하류에 재순환영역이 존재함을 보여준다(Paik and Sotiropoulos, 2005; Koken and Constantinescu, 2008; Safarzadeh et al., 2016; Jeon et al., 2018). 본 실험에서는 -x방향 유속이 수제 하류 전 구간에 걸쳐 나타났다. 따라서 위의 실험에서 재순환영역은 x방향 측정범위보다 하류(x/L > 6)에서 사라진다는 것을 유추할수 있고, 수제하류에서 -x방향 유속이 사라지는 지점(reattachment legnth)이 x/L=12-13에서 발생하는 것을 관찰한 Jeon et al. (2018)의 연구는 이를 뒷받침한다.
Fig. 6은 무차원 횡방향 시간평균 유속(v/U0)을 나타낸다. v/U0의 분포는 Froude 수 변화에 따라 큰 차이가 없다는 것을 알 수 있다. 또한, 수제설치단면(x/L=0)에서 v/U0의 크기가 급격한 증가가 관찰되었는데, v/U0의 최대치는 z/Hd = 0.23 (v/U0 = 0.8-1.0)보다 z/Hd = 0.08 (v/U0 = 1.4-1.6)에서 약 60% 크게 측정되었다. 이는 수제 상류에서 발생하여 수제 선단부 바닥을 돌아나가는 말발굽와(horseshoe vortex)와 연관이 있다. 말발굽와는 흐름방향을 양의 축으로 시계방향으로 회전하는 이차류흐름(secondary flow)으로 강한 난류에너지를 동반하며 수로 바닥부에서 강하게 발생한다. 또한, 말발굽와는 수제설치단면에서 수제설치벽면을 기준으로 양의 각도(반시계방향)를 이루며 지나간다(Koken and Constantinescu, 2008; Safarzadeh et al., 2016; Jeon et al., 2018). 따라서 본 연구에서 v/U0가 수제 선단 바닥부로 가까이 갈수록 크게 관찰되는 것은 말발굽와의 영향에 의해 나타나는 현상이라고 결론 내릴 수 있다.
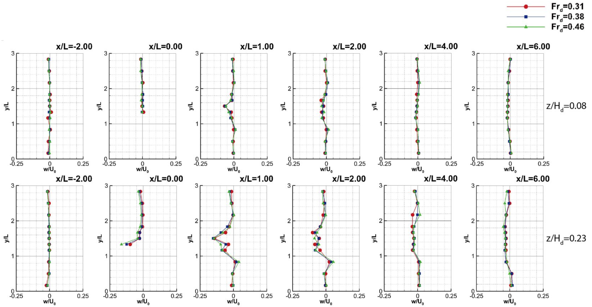
Fig. 7은 무차원 연직방향 시간평균 유속(w/U0)을 보여준다. 그림에서 확인할 수 있듯이, Froude수의 변화가 전반적으로 수제 주위 w/U0의 유속분포에 크게 영향을 주지 않는다는 것을 알 수 있다. -z 방향 흐름(down flow)은 z/Hd = 0.23 단면의 x/L= 0.00에서 처음 나타나기 시작하여 z/Hd = 0.08 단면으로 퍼져나가며, x/L= 2.00까지 관찰된다. x/L= 4.00 이후에는 -z 방향 흐름의 크기가 확연히 줄어드는 현상을 확인할 수 있다.
3.3 시간평균 난류 특성
Fig. 8은 무차원 시간평균 난류에너지(k/U02) 분포를 나타낸다. 그림을 통해 Frd = 0.31, 0.38인 경우, 수제하류(x/L = 1.00-6.00)의 z/Hd = 0.08에서 k/U02의 최대값이 y/L = 1.33에서 발생하는 반면 Frd = 0.46인 경우에는 k/U02의 최대값이 y/L = 1.16에서 발생하는 것을 알 수 있다. 앞서 언급한 바와 같이 수제 하류의 큰 자유수면변화는 흐름 내 국부가속을 증가시키며, 수제 하류에 제트 흐름(jet flow)을 발생시킨다. Froude수가 클수록(자유수면변화가 큰 경우) 강한 제트 흐름이 나타나고 이 흐름은 수제 하류에서 재순환흐름 방향(-y 방향)으로 깊숙히 유입된다. 이러한 유입 흐름(flow entrainment)은 재순환흐름의 횡방향 범위를 감소시킨다. Duan (2009)와 Jeon et al. (2018)은 재순환영역의 경계에서 주흐름영역 (primary flow region)과 재순환흐름영역(recirculation region) 간 모멘텀 교환이 활발히 일어나 강한 난류에너지가 발생한다는 사실을 알아내었다. 이를 토대로 Froude 수가 클수록 재순환흐름의 횡방향 범위가 감소하여 k/U02의 최대값 발생 y 위치가 -y 방향으로 이동하게 되었다는 사실을 유추할 수 있다.
4. 결 론
본 연구에서는 수제 하류의 Froude 수 변화가 수제 하류 시간평균유속 및 난류에너지 분포에 미치는 영향을 알아보기 위해 직선 수로의 우안(흐름방향기준)에 설치된 잠기지 않은 수제 주위 유속 분포를 ADV를 이용해 측정하였다. 세 가지 Froude 수(Frd = 0.31, 0.38, 0.46)의 흐름 조건에 대한 3차원 흐름의 변화 양상을 관찰하였으며, 시간평균 유속(u, v, w)과 난류 운동에너지(k)의 분포를 검토하였다. 또한, 초음파거리센서를 이용해 수제 선단부(y/L=1.33)에서 흐름방향을 따라 수위를 측정하였다.
실험결과, Froude수는 시간평균 유속(u, v, w) 및 난류 운동에너지(k)의 전반적인 분포에는 크게 영향을 미치지 않는다는 사실을 알 수 있었다. 하지만 위 실험의 Frd = 0.46과 같이 Froude수가 높은 경우(자유수면변화가 큰 경우)에는 급격한 흐름의 단면적 변화로 인해 제트 흐름(jet flow)이 강하게 발생하면서 재순환흐름 방향으로 많은 흐름이 유입되고, 이로 인해 재순환흐름의 횡방향 범위가 감소한다는 사실을 유추할 수 있었다. 이러한 흐름 특성으로 인해 본 실험에서 Froude수가 가장 큰 경우(Frd = 0.46), 재순환흐름과 제트흐름 사이의 활발한 모멘텀 교환으로 인해 발생하는 최대 k/U02의 발생 y위치가 -y방향으로 이동하게 되었다. 뿐만 아니라 Frd = 0.46의 경우, 강한 제트흐름이 발생하여 수제설치 내측제방(-y방향)에서 흐름방향 유속의 회복이 빠르게 일어난다는 사실을 알게 되었다. 뿐만아니라 수위측정실험을 통해 Froude수가 높을수록 수제 상하류에서 수위차가 크게 발생하는 것을 확인할 수 있었다.
본 실험연구는 흐름을 방해하며 유속을 측정하는 ADV의 한계로 인해 수로 바닥부의 두 수평면(z/Hd = 0.08, 0.23)에서만 유속이 측정되어 수제 하류에서 발생하는 복잡한 3차원 흐름을 제한적으로 분석했다는 점에서 아쉬움이 남는다. 본 연구진은 이러한 한계점을 극복하고자 향후 위의 실험연구와 같은 조건의 흐름을 3차원 수치모형으로 해석하고, 이와 같은 흐름조건일 때 나타나는 수제 하류 3차원 흐름구조를 공간의 제약 없이 전 구간에 걸쳐 규명할 예정이다.










