1. 서 론
2. 방법론
2.1 한계운동 및 한계조건
2.2 차폐효과(Hiding-Exposure Effect)를 고려하기 위한 보정계수
2.3 이송-확산 방정식
3. 결과 및 분석
4. 결 론
1. 서 론
하상을 구성하는 유사입자들이 흐름에 의해 움직이기 시작하는 상태를 한계운동이라 하며, 한계운동이 시작될 때의 흐름 조건을 한계조건이라 한다. 하천의 유동 조건이 한계조건을 만족하면 유사입자는 흐름에 연행되어 이동하기 시작한다. 이동하는 유사는 이송 특성에 따라 하상 부근에서 전동(rolling), 활동(sliding), 도약(jumping)의 형태로 이동하는 소류사와 흐름 내에서 침강과 부유를 반복하며 이동하는 부유사로 구분할 수 있다.
흐름을 따라 이동하는 부유사의 연직방향 농도분포는 이송-확산 방정식을 수심에 대해 적분하여 얻을 수 있다. 이송-확산 방정식이란 부유사의 이동을 모형화 한 것으로, 난류가 충분히 발달된 흐름에서 평균 흐름 방향으로의 이송을 의미하는 항과 무작위한 난류 및 분자운동에 의한 확산을 의미하는 항으로 구성된다. 이송-확산 방정식을 적분하기 위해서는 유사입자가 확산되는 정도를 정량화하는 확산계수를 정의해야한다. 유사입자의 확산계수를 유체의 운동량 확산계수와 비슷하다고 가정하는 레이놀즈 상사(Reynolds analogy)를 1차원 이송-확산방정식에 적용하여 적분하면, 연직방향 농도분포를 계산하는 Rouse 분포식을 얻을 수 있다. 이 식을 구성하는 지수는 유사입자의 침강속도와 흐름의 마찰속도의 비로써 정의한다. 유사입자의 침강속도는 유사입자 크기의 함수로서 침강속도가 작아질수록 수표면 유사입자의 부유가 활발하게 발생하여 수표면의 유사농도는 하상의 농도와 점차 같아지게 된다. 일반적인 연구사례를 살펴보면 부유사 입도분포의 중앙입경(median size, D50) 또는 평균입경(mean size, Dm)을 혼합사의 대표입경으로 가정하여 Rouse 분포식의 지수를 결정한 후, 부유사 농도의 연직분포를 계산해 온 것으로 확인된다(Coleman, 1986; Cellino and Graf, 1999; Kundu, 2016; Chen et al., 2020; Huai et al., 2020). 여기서 D50은 하상재료의 50%는 이보다 크고 나머지 50%는 작은 하상재료의 크기를 의미하는데, 각 입경등급별 무게비를 가중평균한 크기를 의미하는 Dm과는 다른 의미를 가진다. 혼합사의 대표입경을 적용하여 부유사의 농도분포를 산정하는 것은 하상재료가 충분히 균질하여 단일입경으로 그 특성을 나타낼수 있다는 가정을 근간으로 한다. 그러나 자연상태의 흐름에서 이동하는 혼합사는 두 개 이상의 크기계급을 갖는 입도분포의 형태를 나타내며, McCarron et al. (2019)은 혼합사의 연직방향 농도분포를 계산할 때 단일입경의 가정을 적용하는 것이 아닌 하상재료의 입도분포에 대한 고려가 필요하다고 주장하였다. Jha and Bombardelli (2011)는 수치모형을 이용하여 난류가 충분히 발달된 흐름조건을 가정한 후, 혼합사의 대표입경을 이용하여 계산한 유사농도와 입도분포를 기준으로 계급을 분할하여 계산한 유사농도를 비교하였다. 수치모의의 결과는 Taggart et al. (1972)이 측정한 실측치와 비교 및 분석되었으며, 계급구간을 분할하는 경우 수치모형이 보다 우수한 결과를 모의하는 것으로 나타났다.
하상재료의 침식율을 정확하게 산정하고 흐름으로 연행된 유사의 이동 메커니즘을 이해하기 위해서는 유사입자의 한계운동과 흐름의 한계조건에 대한 이해가 필요하다. Shields (1936)는 물에서 이동하는 비중이 2.65인 균일사(uniform sediment)의 한계운동을 관측한 자료들을 이용하여 차원해석을 통해 한계조건을 계산하는 무차원 관계식을 제시하였다. 정립된 관계식을 바탕으로 균일사로 구성된 하상에서의 침식과 퇴적 및 이동 메커니즘에 관한 연구가 활발하게 진행되어 왔다. 그러나 하천에 존재하는 하상재료는 넓은 입도분포를 나타내는 혼합사로 이루어져 균일사로 이루어진 하상에서의 한계운동과는 다른 형태를 나타내게 된다(Jang, 2016). 혼합사로 이루어진 하상에서 비교적 가는 유사입자는 굵은 유사입자로 인해 가려져 동일한 크기의 균일사로 구성된 하상일 때 보다 유사입자의 한계소류력이 증가하게 된다. 굵은 유사입자의 한계소류력은 감소하는데 큰 크기로 인해 흐름에 더 많이 노출되기 때문이다. 이러한 크기에 따른 선택적 연행(selective entrainment)이 발생하여 유사입자의 한계소류력이 달라지는 현상을 차폐효과(Hiding-Exposure Effect)라 정의한다(Jang, 2016; Wu et al., 2000). 차폐효과로 인한 한계소류력의 변화는 하상재료의 D50에 대한 유사입자의 상대적인 크기의 함수로 고려되어 왔다(Egiazaroff, 1965; Wilcock and Southard, 1988; Shvidchenko et al., 2001). Wu et al. (2000)은 유사입자의 상대크기를 바탕으로 차폐계수를 결정하면, 차폐효과에 영향을 미치는 하상재료의 입도분포에 대한 고려가 포함되지 않는다고 주장하였다. 확률개념을 적용하여 하상재료의 입도분포를 고려하는 새로운 모형을 제안하였으며, 수집된 다량의 실험자료와의 비교를 통해 개발된 모형이 합리적인 결과를 계산하는 것을 확인하였다(Wu et al., 2000). Misri et al. (1984)은 비교적 크기가 작은 유사입자의 운동은 양력에 지배적인 영향을 받으며, 굵은 유사입자의 운동은 항력에 따라 달라진다고 주장하였다. 이를 바탕으로 차폐계수를 유사입자의 균등계수, 한계소류력, 하상의 소류력 등의 함수로 고려하는 이론적 모형을 제안하였으나(Misri et al., 1984), 모형의 형태가 복잡하여 실제로 사용하는 데는 어려움이 있다(Wu et al., 2000). Parker et al. (1982)은 흐름의 유동조건이 한계조건을 만족하면 차폐효과로 인해 모든 크기의 유사입자가 동시에 운동을 시작한다고 가정한 후 차폐효과를 계산하는 모형을 제안하였다. 개발된 모형은 하상의 장갑화가 발달한 곳에서 측정된 실험자료를 이용하여 검증되었으나(Parker et al., 1982), 자갈과 모래 등 혼합사로 구성된 하상에서 유사입자의 침식이 동시에 일어나지 않는 결과 또한 다수의 연구에서 확인된다(Wathen et al., 1995; Wilcock, 1993; Wu and Yang, 2004).
과거의 연구들을 살펴본 결과에 따르면 혼합사로 구성된 하상재료의 침식과정에서 차폐효과에 대한 고려가 포함되어야 함을 알 수 있으나, 가는 모래(fine sand)로 구성된 하상에서의 차폐효과를 살펴본 연구는 미흡한 실정이며 하상재료의 특성을 대표입경으로 가정한 후 연구를 수행하는 것이 확인된다. 따라서 비교적 크기가 작은 혼합사로 구성된 하상에서 하상재료의 입도분포에 따른 차폐효과를 고려한 후 부유사 농도의 연직분포를 산정하는 연구가 필요하다. 이에 본 연구에서는 혼합사로 구성된 하상재료의 입도분포를 고려하여 차폐효과를 산정하는 모형들을 적용하고 침식되어 이동하는 부유사 농도의 연직분포 변화를 살펴보고자 한다. 하상으로부터 침식되어 이동하는 총 유사량 중 소류사량과 부유사량을 구분하는 것은 흐름 및 하상조건에 따라 달라져 쉽지 않으나(Yang, 2003), 흐름이 충분히 강하고 하상이 가는 유사로 구성된 경우 대부분의 유사입자는 부유사의 형태로 이동하게 되고 소류사량은 무시할 수 있을만큼 작다(van Rijn, 1984). 본 연구에서는 흐름이 충분히 강하고 비교적 크기가 작은 모래를 대상으로 수치 실험을 수행하며, 하상으로부터 침식된 유사입자는 모두 부유사의 형태로 이동하는 것으로 가정하였다. 2장에서는 차폐효과를 계산하는 모형들과 하상재료의 입도분포를 고려하는 1차원 유사이동 모형에 대해 살펴보고 3장에서는 입도분포의 고려에 따른 부유 거동 변화와 모의 과정에서 차폐효과를 고려함으로써 나타나는 모의 결과를 분석한다. 4장에서는 분석한 결과를 토대로 전체 수치 실험에 대한 결론을 도출한다.
2. 방법론
2.1 한계운동 및 한계조건
흐름이 하상에 존재하는 유사입자에 가하는 단위 면적당 힘은 소류력()의 개념을 이용하여 나타낸다(Eq. (1)).
여기서 는 유체의 밀도, 는 마찰유속을 의미한다. 가 유사입자의 한계소류력()을 초과하면 유사입자는 흐름을 따라 운동을 시작한다. 일반적으로 와 는 Eqs. (2) and (3)에서 나타난 바와 같이 Shields 매개변수로 정의되는 무차원 형태( 또는 )로 나타낸다.
여기서 g는 중력가속도, ss는 유사입자의 비중, dn은 혼합사 또는 균일사의 대표입경을 나타낸다. 일반적으로 대표입경으로는 중앙입경 또는 평균입경이 사용된다. 혼합사의 각 계급구간 별 한계소류력은 하나의 계급 구간으로 구성된 Eqs. (2) and (3)을 여러 계급구간으로 분할하여 계산함으로써 얻을 수 있다(van Rijn, 2007; Einstein, 1950).
여기서 di는 계급구간 i에 해당하는 유사입자의 대표입경을 나타낸다.
2.2 차폐효과(Hiding-Exposure Effect)를 고려하기 위한 보정계수
혼합사로 이루어진 하상에서 흐름으로 인해 침식이 발생할 때, 크기가 작은 유사입자들은 큰 유사입자들로 인해 침식으로부터 보호를 받으며 동일한 크기의 유사입자로만 구성된 하상에서 보다 한계소류력이 증가하게 된다. 동시에 크기가 큰 유사입자들은 흐름에 더 많이 노출되어 한계소류력이 작아지는 현상이 나타난다. 이러한 차폐효과는 하상재료의 입도분포를 고려하고, 각 계급구간 별로 산정하는 한계소류력에 보정계수를 곱하여 고려한다. 차폐효과의 개념은 Einstein (1950)의 연구에서 처음 제안되었다(Eq. (6)).
여기서 지수 는 경험적 상수로 차폐효과가 발생하는 정도를 정량화하는 매개변수이나, 현재까지 값에 대한 합의는 이루어지지 않았다(Bathurst, 2013). n은 각 계급구간 별 유사입자의 밀도를 고려하기 위한 상수로, 유사입자의 밀도가 모두 동일한 경우에는 1을 적용한다. Egiazaroff (1965)는 Eq. (6)과 유사한 형태를 갖는 차폐효과 모형을 제안하였다(Eq. (7)).
Wu et al. (2000)은 하상재료의 입도분포를 바탕으로 차폐효과의 발생확률을 산정한 후 차폐계수를 얻는 모형을 제안하였다(Eq. (8))
여기서 m은 -0.06이다(Wu et al., 2000), pei와 phi는 크기가 di인 i번째 유사입자가 흐름에 노출되거나 인접한 j번째 유사입자로 인해 가려질 확률을 나타낸다. pei와 phi는 Eqs. (9) and (10)으로부터 계산된다.
Wilcock and Crowe (2003)은 Eq. (6)과 유사한 형태를 갖는 차폐계수의 를 계산하기 위한 수식을 제안하였다(Eq. (11)).
2.3 이송-확산 방정식
흐름을 따라 이동하는 유사입자의 농도가 비교적 낮을 때에는 유사입자간 상호작용을 무시할 수 있으며, 균일사의 농도 분포를 계산하는 이송-확산 방정식을 다수의 계급구간으로 분할하여 계급구간별 농도를 계산할 수 있다(Smaoui et al., 2007). 분할된 계급구간별 유사농도는 Eq. (12)에 나타난 이송-확산 방정식으로부터 계산되며, 유사의 부피 농도와 침강속도의 곱으로 구성된 이송을 나타내는 항과 난류로 인해 부유가 발생하는 과정을 나타내는 확산항으로 구성된다.
여기서, 는 계급구간 i의 유사 농도, t는 시간을 의미한다. 는 동점성계수, 는 와점성계수, 는 Schmidt 수를 의미한다. 유효점성계수(+)와 의 비는 유사입자의 확산계수를 의미한다. Ws,i는 계급구간 i에 해당하는 유사입자의 침강속도로 Eq. (13)을 이용하여 산정된다(Julien, 2010).
여기서 Di는 각 계급구간 별 유사의 크기, CD는 무차원 항력계수, ss는 유사의 비중이다. CD는 유사입자의 입자레이놀즈 수가 2 이상으로 충분히 크다는 가정을 바탕으로 0.5를 적용하였다(Rubin and Atkinson, 2001).
Eq. (12)에서 난류로 인한 혼합을 모형화하는 와점성계수 는 Son et al. (2016)에서 이용한 흐름 모형과의 결합을 통해 계산된다. Son et al. (2016)에서 제안한 유체의 운동량 방정식은 Euler-Euler 이상방정식(Two-phase equation)을 혼합물 이론에 근거하여 간소화한 형태이다. 혼합물 이론을 적용함으로써 부유사의 크기는 충분히 작고 유체의 운동을 따라 이동하는 것으로 가정된다. 혼합물 이론의 가정이 적용되는 흐름 조건에서는 부유사의 존재로 인하여 난류강도가 증가하기 보다는 감소가 우세하게 발생하는 것으로 알려진 바 있으며, 난류의 감소로 인해 유효 혼합이 감소하게 된다(Yeh and Parker, 2013). Niño and García (1998)는 입자레이놀즈 수(Particle Reynolds Number, )가 2보다 작은 경우 혼합물 이론을 적용할 수 있다고 주장하였다. 일반적으로 하천, 연안 및 하구환경에서 측정되는 마찰 유속이 수 cm/s이므로(Lee et al., 2014), 비중이 2.65인 유사입자를 고려할 때 Rep가 2보다 작기 위한 유사입자 크기를 계산해보면 약 200 m내외이다. 이에 따라 본 연구에서 개발한 수치모형은 유사입자의 평균입경이 약 200 m까지의 경우에 유효한 것으로 판단하였으며, 모형의 검증 또한 가는 모래를 대상으로 수행하였다.
3. 결과 및 분석
본 연구에서 개발한 수치모형의 적용성을 검토하기 위해 난류가 충분히 발달한 정류상태의 한방향 흐름조건에서 이동하는 부유사의 거동 대한 수치모의를 수행하였다. 모의결과는 실험실 실험결과와 비교하였는데, 비교를 수행하기 위한 측정자료는 비중이 2.65인 유사입자를 이용한 실험 자료만을 수집하였다. 이는 개발된 수치모형에서 한계소류력과 차폐효과를 산정하는 모형이 모두 Shields (1936)에서 제안된 관계식을 바탕으로 하는 것에서 기인한다. Ward (1969)는 다수의 측정자료를 수집하여 한계조건을 분석하였는데, 유사입자의 비중이 2.65가 아닌 경우 Shields (1936)의 관계식을 이용하기 위해서는 흐름에 의해 침식된 유사입자의 운동형태에 따라 추가적인 매개변수를 고려해 주어야 한다고 주장하였다.
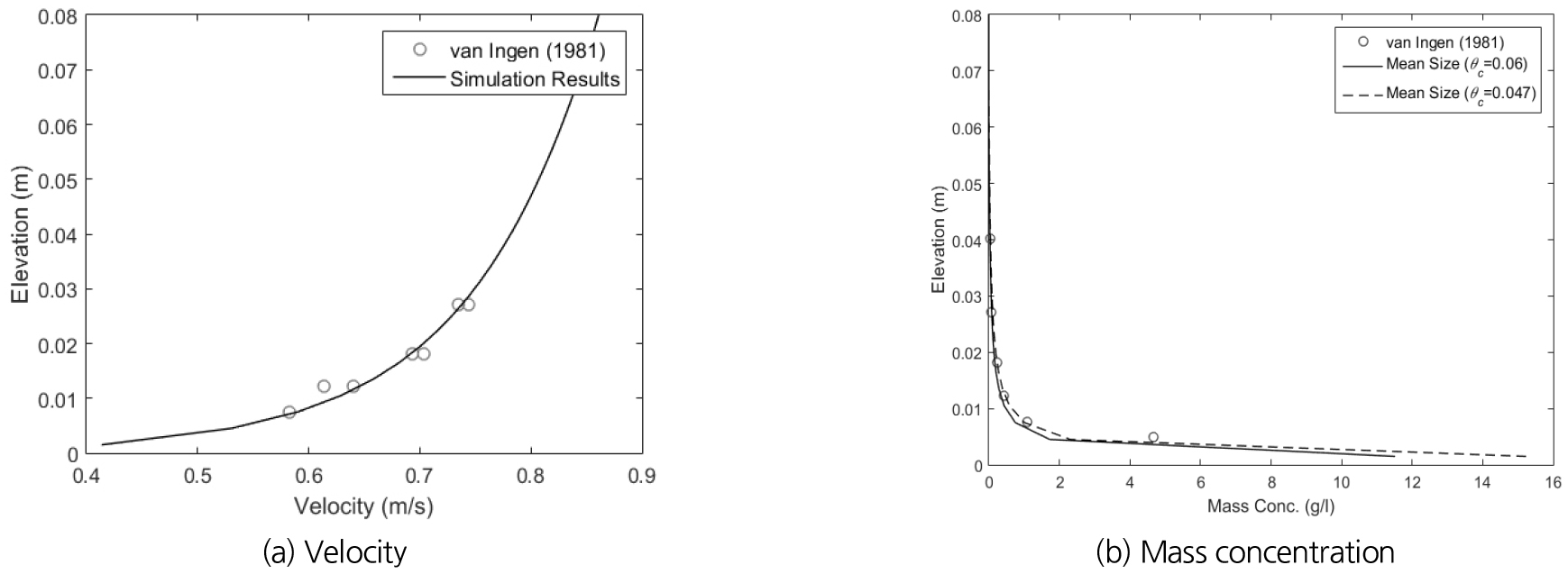
van Ingen (1981)은 개수로 흐름에서 난류특성과 부유사 거동을 살펴보기 위해 길이 13 m, 너비 26.7 cm, 깊이 25.4 cm 규모의 실험실 수로에서 실험을 수행하였다. 흐름 조건은 한 방향으로의 정류상태 흐름을 가정하였으며, 측정된 수심과 흐름의 평균 유속은 각각 7.54 cm, 0.64 m/s이다. 수심과 유속을 바탕으로 계산된 레이놀즈수는 약 1.24 × 105으로 난류가 충분히 발달된 흐름으로 판단된다. van Ingen (1981)의 연구에서 측정된 수심 내에서 동일한 흐름조건을 모의하기 위해 수치모형의 수심과 수심평균된 유속은 각각 1 m와 1.05 m/s를 적용하였다. 이는 수치모형의 특징으로부터 기인한다. 본 연구에서 사용된 유사이동 모형 내 흐름 계산은 연직방향으로의 유속분포가 대수정규분포를 따르도록 수심과 수심평균된 유속을 바탕으로 이루어진다. 유사농도의 연직분포는 Rouse 분포를 나타내도록 계산되며 수표면에서의 농도는 0이 되도록 하는 경계조건을 바탕으로 얻어지게 된다. 이러한 특징으로 인해 비교적 수심이 얕은 흐름에서 유사농도의 연직분포를 합리적으로 계산하기 위해 기존의 수심보다 더 큰 값을 적용하고 동일한 흐름이 계산되도록 수심과 수심평균된 유속을 보정한 후, 측정 내 수심에서의 계산자료만을 이용하여 연구를 수행하였다. 실험에서 이용된 하상토의 평균입경은 0.245 mm이다. Fig. 1은 흐름 유속과 유사입자의 평균입경을 적용하여 계산한 유사농도의 연직분포를 나타낸다. 하상의 한계소류력은 값으로 0.06과 0.047을 적용하였고 Eq. (3)을 이용하여 계산하였다. 0.06은 Shields (1936)에서 거친경계면에서의 흐름일 때를 기준으로 제안된 값을 이용한 것이다(Graf, 1984). Zeller (1963)는 Shields (1936)에서 제안된 0.06 보다 크기가 작은 0.047을 적용해야한다고 주장하였으며, 이 값은 개별 유사입자의 한계조건으로 흔히 사용되는 값이다. 따라서 두 값을 모두 적용하여 Dm을 기준으로 한계소류력을 산정하여 유사농도의 연직분포를 계산하였다. Fig. 1(a)로부터 계산된 흐름유속의 연직분포는 van Ingen (1981)의 측정결과와 매우 정확하게 일치하는 것이 확인된다. 더불어 평균입경을 가정하여 계산한 결과에서도 매우 합리적인 결과를 모의하고 있는 것이 확인된다. 하상에서의 농도차이는 의 크기를 달리 적용함으로 인해 한계소류력의 크기 차이로부터 기인하는 것으로 판단된다(Fig. 1(b)). Fig. 2는 van Ingen (1981)의 연구에서 이용한 하상재료의 입도분포를 나타낸다. 하상재료의 최빈값은 0.25 mm이며, 기하표준편차는 1.26이다. 하상재료의 입도분포는 0.35 mm에서도 비교적 발생빈도가 크며, 이로인해 약한 이봉분포(bimodal distribution)의 형태를 띤다. Fig. 2에서 나타난 입도분포를 바탕으로 각 계급구간별 유사농도를 산정한 후, 총 유사농도를 도시한 결과가 Fig. 3에서 나타난다. Fig. 3에서 실선과 파선은 하상재료의 평균입경을 고려하여 산정한 결과이고, 점선과 일점쇄선은 하상재료의 입도분포를 고려하여 계산한 결과를 나타낸다. 하상재료를 균일사로 가정하여 평균입경을 적용한 후 의 값으로 0.06을 적용하는 경우와 하상재료의 입도분포를 고려한 후 의 값으로 0.047을 적용하는 경우 모두 합리적인 결과를 모의하는 것을 확인할 수 있다(Fig. 3). 하상재료를 균일사가 아닌 혼합사로 고려하여 입도분포를 계산과정에 포함하는 경우, 부유되는 유사량이 감소하는 경향이 나타난다. 이는 입도분포를 고려하면서 입경등급별 무게비가 침식율에 곱해져 평균입경보다 작은 계급구간에서의 침식량이 감소하였기 때문이라 판단된다. 더불어 하상재료를 고려하고 무차원한계소류력을 0.047로 고려하여 산정한 계산결과에서 수위가 0.04 m 이상인 경우 유사의 농도가 과소산정되는데, 이는 하상재료의 입도분포의 고려로 인해 부유가 활발하게 발생할 수 있는 크기가 작은 유사입자의 양이 감소하였기 때문이라 판단된다.

Fig. 3.
Comparison of simulated values of sediment concentration with experimental data from van Ingen (1981)
Lyn (1986)은 개수로 흐름에서 유사입자의 존재로 인한 난류특성 변화를 살펴보기 위해 길이 13 m, 너비 26.67 cm 규모의 실험실 수로에서 수리 실험을 수행하였다. 흐름의 수심은 6.45 cm이다. 수치모형을 이용하여 Lyn (1986)과 동일한 흐름 조건을 모의하기 위해 흐름의 수심과 수심평균된 유속을 각각 1 m, 0.97 m/s를 적용하였다. Fig. 4는 수치모형을 이용하여 모의한 유속분포와 측정자료를 비교한 것으로, 계산된 결과가 측정자료와 매우 정확하게 일치하는 것이 확인된다. Lyn (1986)은 평균입경이 0.15 mm인 모래를 이용하여 실험을 수행하였다. Fig. 5는 하상재료의 입도분포이며, 최빈값에 해당하는 0.177 mm에서 발생빈도가 약 70%로 첨도가 큰 단봉분포(unimodal distribution)의 형태인 것이 확인된다. Fig. 5에 나타난 하상재료 입도분포의 기하표준편차는 약 1.16이다. Fig. 6는 하상재료를 균일사로 가정하여 평균입경을 적용한 계산 결과와 Fig. 5에 나타난 입도분포를 적용하여 모의한 결과를 측정자료와 함께 도시한 것이다. Fig. 5에서 실선과 파선은 하상재료를 균일사로 가정한 후 모의한 결과이며, 점선과 일점쇄선은 입도분포를 고려하여 계산된 결과이다. Fig. 6으로부터 하상재료의 입도분포를 고려하는 경우에는 van Ingen (1981)의 실측자료와 마찬가지로 로 0.047을 적용할 때 실측자료와 유사한 결과를 모의하는 것이 확인된다. 반면 하상재료의 특성을 평균입경만을 이용하여 고려할 때에는 가 0.06일 때 실측자료와 유사한 결과를 계산하는 것이 확인된다. 이 경우 수표면에 가까워질수록 유사농도가 실측자료에 비해 과다산정되는 것이 확인되는데, 이는 입도분포에서 가장 많은 비율을 차지하는 최빈값인 0.177 mm보다 작은 평균입경(0.150 mm)을 기준으로 한계소류력을 산정하여 부유량이 과다산정된 것으로 판단된다.

Fig. 6.
Comparison of simulated values of sediment concentration with experimental data from Lyn (1986)
Figs. 2 and 5에서 나타난 바와 같이 하상재료가 혼합사로 구성되어 있는 경우에는 흐름에 의한 유사입자의 연행이 크기에 따라 선택적으로 발생한다. 크기가 작은 유사입자는 크기가 큰 유사입자로 인해 침식으로부터 보호받으며 한계소류력이 감소하게 되고, 크기가 큰 유사입자는 흐름에 더 많이 드러나 한계소류력이 증가하게 된다. van Ingen (1981)과 Lyn (1986)의 측정자료로부터 하상재료의 입도분포를 고려하는 경우 가장 합리적인 결과를 모의하는 의 값은 0.047이며(Figs. 3 and 6), 이를 바탕으로 3가지 모형을 이용하여 차폐효과에 따른 부유사 농도의 연직방향 분포를 살펴보았다. Table 1은 van Ingen (1981)의 자료를 바탕으로 산정한 차폐계수를 나타낸다. Wu et al. (2000)의 모형에서는 입도분포를 기준으로 확률개념을 도입하여 차폐계수를 계산하며, Egiazaroff (1965)와 Wilcock and Crowe (2003)의 모형은 평균입경인 0.245 mm를 기준으로 차폐계수를 산정한다. 이에 따라 3번째 계급구간인 0.250 mm의 계급구간에서의 차폐계수가 Egiazaroff (1965)와 Wilcock and Crowe (2003)의 방법을 이용할 때에는 1보다 작은 반면, Wu et al. (2000)의 모형을 이용한 경우 1보다 큰 값을 가진다. 따라서 동일한 계급구간에서의 한계소류력의 크기가 Egiazaroff (1965)와 Wilcock and Crowe (2003)의 방법을 적용했을 때 더 작게되고, 계산된 유사농도가 Wu et al. (2000)의 모형을 적용한 경우보다 큰 값을 나타내는 것이 확인된다(Fig. 7(a)). Table 2는 Lyn (1986)의 하상재료 입도분포를 바탕으로 계산한 차폐계수를 나타낸다. 평균입경인 0.150 mm를 기준으로 차폐계수가 1보다 크거나 작은 값을 가지는 것이 확인되며, 3가지 방법에서 산정된 차폐계수의 경향이 모두 동일하다. Wu et al. (2000)에서 제안된 모형을 이용하여 산정하였을 때 차폐계수가 가장 큰 값을 나타내며, 이로인해 부유사 농도의 연직분포 계산결과에서 농도가 가장 낮다(Fig. 7(b)). 차폐효과를 고려하지 않는 경우에도 합리적인 결과를 모의하는 것 또한 확인되는데, 이는 계산 과정에서 고려하는 하상재료 입도분포의 범위가 차폐효과가 뚜렷하게 발생할 만큼 넓지 않기 때문으라 판단된다. Fig. 8은 하상부근에서 차폐효과 유무에 따른 부유사의 입도분포를 나타낸다. 차폐효과로 인해 첫 번째 및 두 번째 계급구간에서의 부유량이 감소하고, 네 번째 및 다섯 번째 계급구간에서의 부유량은 증가하는 것이 확인된다(Fig. 8(a)). 동일한 경향이 Lyn (1986)의 자료를 이용하여 모의한 결과에서도 확인된다(Fig. 8(b)). 각 계급구간별 입도분포가 변화하며 차폐효과가 계산과정에 포함되고 있음이 확인되지만, 입도분포의 범위가 넓지 않아 차폐효과로 인한 입경등급결 무게비의 변화량이 유의미할만큼 뚜렷하지 않은 것이라 생각된다.
Table 1.
Estimated correction factor of Hiding-Exposure Effect (van Ingen, 1981)
| size (mm) | |||||
| 0.180 | 0.210 | 0.250 | 0.300 | 0.350 | |
| Wu et al. (2000) | 1.2454 | 1.1364 | 1.0246 | 0.9194 | 0.8389 |
| Egiazaroff (1965) | 1.2476 | 1.1135 | 0.9864 | 0.8754 | 0.7956 |
| Wilcock and Crowe (2003) | 1.2747 | 1.1259 | 0.9851 | 0.8659 | 0.7855 |
Table 2.
Estimated correction factor of Hiding-Exposure Effect (Lyn, 1986)
| size (mm) | ||||||
| 0.074 | 0.090 | 0.100 | 0.120 | 0.150 | 0.180 | |
| Wu et al. (2000) | 1.6236 | 1.4447 | 1.3567 | 1.2170 | 1.0654 | 0.9556 |
| Egiazaroff (1965) | 1.7312 | 1.4639 | 1.3449 | 1.1707 | 1.000 | 0.8868 |
| Wilcock and Crowe (2003) | 1.7858 | 1.5097 | 1.3815 | 1.1895 | 1.000 | 0.8778 |
| 0.210 | 0.240 | 0.300 | 0.350 | 0.410 | ||
| Wu et al. (2000) | 0.8717 | 0.8049 | 0.7046 | 0.6427 | 0.5847 | |
| Egiazaroff (1965) | 0.8054 | 0.7436 | 0.6552 | 0.6030 | 0.5557 | |
| Wilcock and Crowe (2003) | 0.7950 | 0.7374 | 0.6676 | 0.6366 | 0.6164 | |
4. 결 론
본 연구는 혼합사로 구성된 하상에서 나타나는 차폐효과에 따른 부유사 농도의 연직방향 분포의 변화를 살펴보는 것을 목적으로 수행되었다. 본 연구결과로부터 하상토 입도분포의 기하표준편차가 1.26 및 1.16로 1.5 보다 작은 경우, 하상재료를 균일사로 가정하여 평균입경을 바탕으로 농도를 산정하더라도 부유사 농도의 연직분포가 합리적으로 계산되는 것이 확인되었다. Wu et al. (2004)에 따르면 하상재료의 기하표준편차가 1.5보다 작은 경우에는 하상재료의 비균질성(nonuniformity)이 유사의 이동에 미치는 영향이 미미한 것으로 나타났으며, 이는 본 연구의 결과와 일치한다. 혼합사의 입도분포를 고려하여 부유사 농도를 산정하면 수표면에서의 농도가 평균입경을 이용하여 계산한 농도에 비해 낮은 값을 나타내는데, 이는 하상재료에서 계급구간의 크기가 작은 유사입자들의 양이 적어 높은 곳까지 부유가 발생할 수 있는 유사량이 작게 계산되기 때문이라 판단된다. 더불어 하상재료가 첨도가 큰 분포의 형태를 나타내는 경우에는 혼합사로 입도분포를 고려하는 경우보다 균일사로 고려하여 평균입경을 바탕으로 농도를 산정할 때 농도 계산결과의 정확도가 향상되는 것이 확인되었다. 하상재료를 혼합사로 고려하여 농도분포를 계산하기 위해서는 균일사로 고려하여 평균입경만을 고려하여 계산할 때 보다 한계 Shields 매개변수의 크기를 감소시켜 적용해야 하는 것 또한 계산 결과를 통해 발견하였다. 혼합사로 구성된 하상에서 나타나는 차폐효과를 모의과정에 포함하여 부유사 농도분포를 살펴본 결과에 따르면, 하상부근 부유사 농도의 입도분포에서 차폐효과로 인해 대표입경이 작은 계급구간에서의 발생빈도가 감소하고 대표입경이 큰 계급구간에서의 발생빈도가 증가하는 것이 확인되었다. 그러나 부유농도를 산정한 결과에서는 차폐효과에 따른 영향이 미미한 것으로 나타났는데 입도분포의 표준편차가 1.5보다 작기 때문이라 판단되며(Wu et al., 2004), 향후 표준편차가 2.0 이상으로 큰 값을 나타내는 하상재료를 이용한 연구가 필요할 것이라 판단된다.








