1. 서 론
2. 연구 방법
2.1 연구대상지역
2.2 기후변화 시나리오 선정
2.3 SWAT 모형 구축과 평가
2.4 기후변화 시나리오를 통한 유출량과 가뭄 전망 방법
2.5 수문-가뭄의 종합 분류 체계
3. 결과 및 토의
3.1 수문모형 보정과 SRI 분포형·누적기간 선정
3.2 전국 및 5대강 유역에 대한 과거 유출량 및 가뭄 현황
3.3 기후변화 시나리오에 따른 전국 및 5대강 유역의 유출량 및 가뭄 전망
3.4 기후변화 시나리오에 따른 수문-가뭄 특성의 분류 및 공간 분포 분석
4. 결 론
4.1 토의
4.2 결론 및 향후과제
1. 서 론
급격한 기후변화는 전지구적 강수 특성, 기온, 수문 순환에 중대한 변화를 초래하며, 이에 따라 홍수 및 가뭄 등 극한 수문사상의 발생 빈도와 강도가 증가하고 있다(IPCC, 2021). 특히, 우리나라는 몬순 기후의 영향으로 여름철 강수 집중도가 높고, 유역의 지형 특성으로 인해 유출 변동성이 크기 때문에 기후변화에 따른 유출 특성 변화와 가뭄 발생에 민감하게 반응할 가능성이 높다. 기후변화로 인한 유출량 증가는 사용 가능한 수자원의 양을 확대할 수 있는 반면, 홍수 위험을 증가시킬 수 있으며, 반대로 유출량 감소는 농업, 산업, 생활용수 공급의 불안정을 초래한다. 또한, 가뭄은 장기적인 물 부족을 유발하여 농업 생산성 저하, 생태계 훼손, 경제적 손실 등 광범위한 부정적 영향을 미친다. 더불어 사회경제적 발전에 따라 전 세계 물 수요가 지속적으로 증가하고 있어, 미래에는 물 부족 위험이 한층 확대될 가능성이 크다.
기후변화에 따른 유출량 및 가뭄 특성 변화를 전망하기 위해서는 일반적으로 Global Climate Model (GCM)에 기반한 전지구 기후모의, Regional Climate Model (RCM)을 이용한 동적 상세화 또는 통계적 상세화, 편의보정, 수문모형을 통한 유출 모의, 그리고 가뭄지수 산정의 절차가 순차적으로 수행된다. 그러나 GCM의 공간 해상도는 지역 수문 분석에 활용하기에 충분히 조밀하지 않기 때문에, 지역기후모델을 이용한 역학적 상세화 또는 통계적 상세화 기법의 적용이 필수적이다(Wilby and Wigley, 1997). 또한 수문모형을 활용한 장기 유출 변화 분석은 평균 유출량의 변화, 계절별 변동성, 극한 유출의 발생 특성 등을 정량화하는 데 유용하다. 나아가 이러한 유출 모의 결과를 바탕으로 가뭄지수를 산정함으로써 미래 가뭄의 강도·지속기간·발생 빈도 등을 체계적으로 평가할 수 있으며, 특히 유출 기반 지수인 SRI는 기온 민감도로 인한 왜곡을 최소화하고 수문학적 가뭄 특성을 안정적으로 반영할 수 있다는 점에서 기후변화 영향 분석에 중요한 도구로 활용될 수 있다.
우리나라에서는 지난 10여 년간 다양한 기후변화 시나리오(예: SRES, RCP, SSP)를 활용하여 수자원 및 가뭄 영향을 평가해 왔다(Bae et al., 2008; Jung et al., 2013; Park et al., 2015; Lee et al., 2019). 최신 CMIP6 기반 SSP 시나리오는 온실가스 농도뿐 아니라 인구·경제·기술·토지이용 등 사회경제적 요인을 동시에 고려함으로써, 미래 기후전망의 불확실성을 보다 포괄적으로 반영할 수 있다는 점에서 중요성이 크다(O’Neill et al., 2016; Masson-Delmotte et al., 2021).
다양한 모형 중에서 Soil and Water Assessment Tool (SWAT; Arnold and Fohrer, 2005) 모형은 전 세계에서 가장 많이 사용된 모형으로, 지난 10년 동안 관련 국제 논문 수는 거의 4,000건에 이른다 (Janjić and Tadić, 2023). 국내에서도 SWAT을 이용하여 기후변화에 따른 유출량 분석이 많이 수행되었다. 대표적으로 SRES (Special Report on Emission Scenarios), RCP (Representative Concentration Pathways) 및 SSP (Shared Socioeconomic Pathways) 시나리오를 적용하여 남강댐, 충주댐, 보령댐 등의 댐 유입량 변화를 평가하거나, 금강유역의 지하수위 변동 및 강원도 해안면과 같은 고랭지 지역의 장기 수문 변화를 분석한 사례가 보고되었다(Jang and Kim, 2017; Kim and Kim, 2017; Kim et al., 2018). 이러한 연구들은 SWAT 모형을 활용하여 미래 시나리오별 평균 유출량 변화와 계절별 증감 경향 등의 정보를 제공해왔다.
가뭄 평가에서는 Standardized Precipitation Index (SPI), Standardized Precipitation Evapotranspiration Index (SPEI), Standardized Runoff Index (SRI) 등 다양한 지수가 활용되며, 각 지수는 강수량, 증발산량, 유출량 등 서로 다른 기상·수문 요소를 기반으로 다양한 유형의 가뭄을 분석할 수 있다(McKee et al., 1993). 국내에서도 RCP 기반 기후변화 시나리오를 활용한 다양한 기상학적 및 수문학적 가뭄 평가 연구가 수행되었으나(Lee et al., 2019; Kim et al., 2016), 연구 대상 유역과 분석 기간, 적용한 시나리오가 상이하여 지역 간 가뭄 영향 차이를 일관된 기준으로 비교하기에는 여전히 한계가 존재한다. 그러나 기후변화 시나리오를 적용한 미래 가뭄 평가에서는 지수 선택에 따른 민감도 차이가 중요한 고려 요소로 제기되고 있다. Lee et al. (2019)은 기온 상승을 반영할 수 있다는 장점에도 불구하고, SPEI가 기온 변화에 지나치게 민감하여 미래 가뭄을 과도하게 심화시키는 경향을 보일 수 있음을 지적하였다. 이에 반해 SRI는 유출 변화를 직접적으로 반영함으로써 기온 민감도를 완화하고, 수문 순환의 변화를 보다 안정적으로 평가할 수 있다는 점에서 기후변화 하의 수문학적 가뭄 분석에 적합한 지표로 제시되었다. 이러한 점을 고려할 때, 기후변화에 따른 유역별 가뭄 취약성을 종합적으로 평가하기 위해서는 유출 기반의 SRI를 활용한 분석이 특히 중요하다.
이처럼 기존 연구들은 특정 유역 중심의 분석이 많고, 시나리오 세대별 연구가 개별적으로 축적됨에 따라 전국적·유역 간 관점의 종합적인 비교가 어려운 실정이다. 또한 최신 AR6 기반 SSP 시나리오를 활용하여 전국 및 5대강 유역의 유출량과 가뭄 특성을 동시에 평가한 연구는 아직 부족하다. 이러한 한계는 지역별 기후변화 영향 편차를 정확하게 파악하는 데 제약이 될 뿐 아니라, 국가 차원의 기후변화 적응 전략 및 유역별 물관리 정책 수립에도 어려움을 초래한다. 따라서 본 연구에서는 AR6 기반 SSP 시나리오를 이용하여 전국 및 5대강 유역의 미래 유출량과 가뭄 변화를 종합적으로 비교·평가하고, 기존 시나리오 기반 연구 결과와의 차이 및 일관성을 분석함으로써 지역별 기후변화 영향 편차 및 취약성을 정량적으로 도출하는 것을 목표로 한다. 이를 통해 국가 및 유역 단위의 효율적인 수자원 적응 전략 마련을 위한 기초 자료를 제공하고자 한다.
2. 연구 방법
2.1 연구대상지역
우리나라 전역을 연구 대상지역으로 설정하고, 이를 한강, 낙동강, 금강, 섬진강, 영산강의 5대강 유역으로 구분하여 평가하였다. 이러한 공간 구분은 기후변화 영향의 유역별 대응 전략 수립에 효과적이다. Fig. 1(a)는 표준 유역 단위를 기반으로 구분된 5대강 유역을 나타내며, 전체 면적은 약 100,000 km2에 해당한다. Fig. 1(b)는 강우 측정망에 대한 Thiessen 다각형을 나타낸 것으로, Thiessen 다각형은 지점 관측값의 공간 대표성을 고려한 강수량 보간 방법으로, 관측망이 불균등하게 분포된 지역에서도 신뢰성 있는 공간 대표값 도출이 가능하다(Thiessen, 1911). 본 연구에서는 기상청의 기상관측소 및 환경부의 강우관측소 기준으로 기후변화 시나리오 자료를 추출하여 남한 전역을 포괄하였다.
2.2 기후변화 시나리오 선정
기후변화에 따른 유출량 및 가뭄 미래 전망을 위해 AR6의 SSP를 기반으로 한 기후변화 시나리오를 사용하였다. 그 중, Table 1에 나타낸 바와 같이 한국 기상청(www.climate.go.kr)에서 제공하는 SSP 기반 기후변화 시나리오 20종을 활용하였다. 기상청에서 생산한 기후변화 시나리오는 전지구 기후모형인 UKESM1(Sellar et al., 2019)모형을 기반으로, 135 km × 135 km 해상도의 자료를 생산한 뒤, 5종의 지역 기후모형(HadGEM3-RA, WRF, CCLM, GRIMs 및 RegCM4)을 통해 25 km × 25 km 수준의 역학적 상세화를 수행하였다. 이후, 통계적 상세화의 방법 중 하나인 MK-PRISM을 통해 최종적으로 1 km × 1 km의 일 단위 고해상도 자료를 생성하였다. 현재 제공하고 있는 기후변화 시나리오는 2021년부터 2100년까지의 기간의 강수량, 일최고기온, 일최저기온, 상대습도, 일사량, 풍속 등 6개 항목이다.
Table 1.
Climate change scenario combinations provided by the Korea Meteorological Administration (KMA)
| No. | RCM | SSP | Reference |
| 1 | HadGEM3-RA (HG3) |
SSP1-2.6 SSP2-4.5 SSP3-7.0 SSP5-8.5 | Davies et al., 2005; Walters et al., 2011 |
| 2 | WRF | Skamarock et al., 2008 | |
| 3 | CCLM | Rockel et al., 2008 | |
| 4 | GRIMs | Koo et al., 2023 | |
| 5 | RegCM4 (Reg) | Giorgi et al., 2012 |
본 연구에서는 총 20개의 기후변화 시나리오가 사용 가능하나, 계산 시간 및 자원 소모를 고려하여 대표성을 갖는 적정 시나리오를 선정하였다. 기후변화 시나리오 선정에는 Kim et al. (2025)에서 제안한 기후변화 시나리오 특성화 기법을 적용하였으며, 이 방법은 시나리오의 시공간적 변동성과 극단성을 기반으로 특성을 정량화하는 절차로 구성된다. 먼저, 전국 601개 지점에서 추출한 강수 및 기온 자료를 활용하여 극한기후지수(Extreme Climate Indices)를 계산하고, 이를 바탕으로 변동성과 극단성을 산정한다. 변동성은 엔트로피 기반 가중치와 다변량 엔트로피(Shannon entropy; Shannon, 1948)를 활용하여 계산하며, 극단성은 극한기후지수의 발생 빈도를 통해 평가된다. 이후, 각 RCM-SSP 조합에 대해 산출된 변동성과 극단성 값을 곱하여 통합 점수를 부여하고, 이를 기반으로 Katsavounidis-Kuo-Zhang (KKZ; Katsavounidis et al., 1994) 알고리즘을 적용하여 대표 시나리오를 최종 선정하였다.
Fig. 2(a) 는 각 RCM-SSP 조합에 대한 통합 특성 점수를 나타낸다. 점수가 높을수록 기후의 변동성과 극단성이 큰 시나리오를 의미하며, 반대로 점수가 낮을수록 보다 안정적이고 온건한 기후 조건을 반영한다 (Kim et al., 2025). 전체 20개의 시나리오 가운데 KKZ 알고리즘을 적용하여 선정된 대표 시나리오는 총 7개이며, HG3-585, CCLM-370, GRIMs-585, WRF-585, CCLM-245, WRF-245, Reg-126이다. 여기서, HG3와 Reg는 HadGEM3-RA와 RegCM을 의미하며, 뒤에 숫자는 SSP 시나리오를 의미한다. Fig. 2(b)는 기준기간(1991 ~ 2020년) 대비 미래기간(2061 ~ 2090년)의 전국 평균 강수량 및 기온 변화율을 보여준다. 선정된 시나리오에 따르면, 기온은 약 2.0°C에서 6.0°C까지 상승하고, 강수량은 7.7%에서 36.5%까지 증가할 것으로 나타났다. 이는 RCM-SSP 조합 간의 기후 변화 범위를 반영한 결과로, 평균값 뿐만 아니라 극단적 조건을 포괄하도록 대표 시나리오가 선정되었음을 시사한다. 한편, 이는 전국 단위의 평균 변화율 만을 고려한 것으로, 지역 또는 유역별로는 이와 다른 경향이 나타날 수 있다.
2.3 SWAT 모형 구축과 평가
전국 단위 유출량 및 가뭄에 대한 기후변화 영향평가를 수행하기 위해, USDA Agricultural Research Service에서 개발한 물리 기반의 준분포형 수문모형인 SWAT (Arnold and Fohrer, 2005) 모형을 활용하였다. SWAT 모형은 유역 내의 다양한 토지 이용 및 토양 특성을 반영할 수 있으며, 기후 조건과의 상호작용을 통해 수량 및 수질에 대한 장기적인 변화를 모의하는데 적합하다. SWAT 모형의 주요 장점은 유역을 토지 이용, 토양 유형, 경사도에 따라 수문 반응 단위(Hydrologic Response Units, HRUs)로 세분화하여 공간적 이질성을 반영하는 동시에, 지표 유출, 증발산, 침투, 침루, 측면 흐름, 지하수 함양 등 다양한 수문학적 과정을 통합적으로 모의할 수 있다는 점이다. 이러한 특성 덕분에 SWAT은 전 세계적으로 널리 활용되고 있으며, 기후변화에 따른 유출량 및 가뭄 영향 분석에 효과적인 수문 모형으로 평가받고 있다.
SWAT 모형을 활용한 전국 단위 유역 모형 구축을 위해 사용된 주요 입력자료는 수치표고모형, 토지이용도, 토양도, 기상자료이다. 수치표고모형은 NASA에서 2014년에 제작한 30 m × 30 m 공간 해상도의 자료를 사용하였으며(www.earthdata.nasa.gov), 표준 유역도와 함께 사용되어 유역 경계 및 하천망을 설정하였다. 토지이용도는 환경공간정보서비스(egis.me.go.kr)에서 제공하는 중분류 22개 항목의 공간자료를 활용하였으며, 토양도는 농촌진흥청(soil.rda.go.kr)에서 제공하는 자료를 바탕으로 총 398종의 토양 특성을 반영하였다. 모형 구축은 각 유역을 본류 유역과 기타 유역으로 세분하여 수행하였으며, 이러한 유역 구분 체계에 따라 총 10개의 SWAT 모형을 구축하였다. 구축된 모형은 전국을 대상으로 총 774개의 표준유역을 반영하되, 북한에 위치한 유역과 도서 지역으로 구성된 유역은 분석 대상에서 제외하였다.
기상자료는 일단위 강수량, 최고 및 최저기온, 상대습도, 일사량, 풍속 등 6개 항목으로 구성되며, 1971년부터 2020년까지 구축되었다. 세부적으로, 기상청(data.kma.go.kr)에서는 96개 지점의 6개 항목 자료를, 국가수자원관리종합정보시스템(www.wamis.go.kr)에서는 환경부 강우관측소 505개 지점의 강수 자료를 수집하였다. 최종적으로 Fig. 1(b)와 같이 전국 601개 지점의 기상자료가 구축되었다.
모형 구축 기간은 1971년부터 2020년까지 설정되었으며, 초기 조건 안정화를 위해 최초 10년(1971 ~ 1980년)은 초기 안정화 기간으로 지정하였다. 모델 매개변수 보정은 2012년 1월 1일부터 2020년 12월 31일까지의 기간을 대상으로 수행되었으며, 댐 유입량을 포함한 하천 유량 자료를 활용하여 전국 75개 지점에서 보정이 이루어졌다. 매개변수 최적화는 SWAT-CUP 소프트웨어 내의 SUFI-2(Sequential Uncertainty Fit version 2; Abbaspour et al., 1997) 알고리즘을 이용하여 수행하였다.
모형의 정확도 평가의 지표는 결정계수(R2)와 Nash-Sutcliffe 효율계수(Nash-Sutcliffe Efficiency, NSE)를 이용하였다. 결정계수는 Eq. (1)에 의해 계산되며, 1에 가까울수록 모형과 관측값 간의 상관성이 높아 모형의 설명력이 우수함을 의미하며, 0에 가까울수록 설명력이 낮음을 나타낸다. NSE 역시 1에 가까울수록 모형의 예측값이 관측값에 잘 부합함을 의미하며, 0일 경우에는 모형 결과가 관측값의 평균 수준과 동일함을 나타낸다. 반면, NSE가 0보다 작아질수록 모형의 예측 성능이 관측값 평균보다도 낮다는 것을 의미한다. Eqs. (1) and (2)에서 N은 자료의 개수, S는 모의값, O는 관측값이며, Oavg는 관측값의 평균을 의미한다.
2.4 기후변화 시나리오를 통한 유출량과 가뭄 전망 방법
기후변화로 인한 전국 및 5대강 유역의 유출량과 가뭄 전망은 과거(기준기간: 1991 ~ 2020) 대비 미래의 변화를 기준으로 해석하였다. 미래 기간은 가까운 미래(Near Future: 2031 ~ 2060)와 먼 미래(Far Future: 2061 ~ 2090)로 구분하였다. 본 연구에서 정의하는 유출량은 각 유역에서 하천으로 유입되기 직전의 유량을 의미한다. 일반적으로 유량 단위는 m3/s를 사용하지만, 전국 및 유역별 면적 차이를 고려하여 면적을 표준화한 후, 장기 분석을 위해 연 단위를 적용하여 최종적으로 mm/yr 단위로 비교 분석하였다. 유출량 분석은 기간별 평균값과 함께 변동계수(Coefficient of Variation, CV)를 주요 지표로 사용하여 수행하였다. 변동 계수는 평균 대비 표준편차의 비율로, 유출량의 상대적 변동성을 정량화하는 데 활용된다.
가뭄 전망은 표준유출지수(SRI)를 사용하여 평가하였다. SRI는 표준강수지수(SPI)와 동일한 이론적 틀에 기반한 가뭄 지수로, 확률분포에 기반하여 유출량 시계열을 표준화함으로써 가뭄의 발생 여부와 심각도를 정량적으로 판단한다. SPI가 강수량을 입력 변수로 사용하는 반면, SRI는 유출량을 입력 변수로 사용한다는 점에서 차이가 있으며, 이를 통해 유역의 수문 반응과 저류 효과가 반영된 수문학적 가뭄 특성을 보다 직접적으로 평가할 수 있다. 이러한 특성으로 인해 SRI는 기간별 유출량의 이상 상태를 비교·분석하는 데 활용된다(Lee et al., 2019). 본 연구에서는 SWAT 모형에서 산출된 유출량을 기반으로, 과거 기간의 월별 누적 유출량에 대해 분포 적합을 수행하였다. 각 유역별 SRI 산정 시에는 누적 기간을 1개월, 3개월, 6개월, 12개월로 설정하여 비교하였으며, 분포 모형은 Gamma, 로그정규(Log-Normal), Pearson Type III의 세 가지를 고려하였다. 누적 기간별, 분포별로 Kolmogorov-Smirnov (KS) 검정을 수행하여, KS D 통계량이 최소가 되는 분포 모형과 누적 기간을 최적값으로 선정한다. 여기서 KS D 통계량은 관측 누적분포와 모의 누적분포 간의 최대 차이를 나타내며, 값이 작을수록 두 분포가 유사함을 의미한다.
가뭄 전망을 위해 SRI가 -1.5 이하인 값을 기준으로 가뭄의 발생 빈도, 강도 및 지속기간을 계산하였다. 여기서 발생 빈도는 전체 분석 기간 동안 가뭄이 발생한 월의 개수를 나타내며, 횟수로 표현된다. 가뭄 강도는 가뭄이 발생한 기간 동안 SRI가 -1.5 이하로 하락한 정도를 기반으로 산정되며, 본 연구에서는 가뭄의 방향성(음의 부호)보다는 결핍의 크기, 즉 심각도를 정량화하기 위해 SRI 값의 평균 절대값을 가뭄 강도로 정의하였다. 가뭄 지속기간은 단일 가뭄 사건이 시작되어 종료될 때까지의 연속된 월수를 의미하며, 모든 가뭄 사건의 평균값으로 산정한다.
2.5 수문-가뭄의 종합 분류 체계
기후변화로 인한 미래 수문과 가뭄 변화를 분류하기 위해 Table 2와 같이 기준을 정의하였다. 유출량(Runoff)의 경우, 과거 대비 미래의 평균 변화율이 +5% 이상이면 ‘R1: 유출 증가형’, -5% 이하이면 ‘R3: 유출 감소형’, 그 외의 경우는 ‘R2: 유출 안정형’으로 분류하였다. 여기서 ±5%의 임계값은 통계적 유의성 판단과 선행연구에서 제시한 유의미한 변화 경계값을 참고하여 설정하였다(Black et al., 2005; Muelchi et al., 2021; Wilby and Harris, 2006).
Table 2.
Define of hydrological-drought cluster classification
변동계수(CV)의 경우, 미래 변화율이 +15% 이상이면 ‘C1: 변동성 확대형’, -15% 이하이면 ‘C3: 변동성 완화형’, 그 외의 경우는 ‘C2: 변동성 안정형’으로 분류하였다. 유출량의 CV에 대해 ±15%를 임계값으로 직접 적용한 사례는 없으나, 일부 연구에서 수문·기후 분석 항목에 대한 변동성 변화가 유의미하다고 보고한 선행연구를 참고하여 해당 기준을 설정하였다 (Duda et al., 2012; Martinez and Gupta, 2010).
가뭄(Drought)의 경우, SRI로 계산한 3개의 가뭄 지표 중 증가한 지표가 2개 이상이고, 각 지표의 변화율이 +5% 이상이면 ‘D1: 가뭄 심화형’으로 분류하였다. 반대로 3개의 가뭄 지표 중 감소한 지표가 2개 이상이며, 각 지표의 변화율이 -5% 이하이면 ‘D3: 가뭄 완화형’으로 분류하였다. 이 두 조건에 해당하지 않는 경우는 ‘D2: 가뭄 유지형’으로 정의하였다. ±5% 임계값은 유출량 기준과 동일하게 설정하였다.
3. 결과 및 토의
3.1 수문모형 보정과 SRI 분포형·누적기간 선정
전국을 대상으로 구축한 SWAT 모형은 2012년 1월 1일부터 2020년 12월 31일까지 9년간 유량 관측자료를 활용하여 매개변수를 보정하였다. 5대 유역별로는 한강 23개, 낙동강 16개, 금강 15개, 섬진강 10개, 영산강 11개 지점에서 모형 결과를 관측 유량과 비교하였다. 성능지표는 결정계수와 NSE를 사용하였으며, 그 결과는 Table 3에 정리하였다.
Table 3.
Calibration performance of SWAT model for five major river basins
보정 결과, 전체 75개 지점에서 결정계수는 0.56 ~ 0.92 (평균 0.74), NSE는 0.52 ~ 0.91 (평균 0.70)으로 평가되었다. Duda et al. (2012)의 모형 성능 분류 기준에 따라 결정계수를 평가한 결과, “Very Good”(R2 ≥ 0.8) 14개, “Good”(0.7 < R2 ≤ 0.8) 32개, “Fair”(0.6 < R2 ≤ 0.7) 21개, “Poor”(R2 ≤ 0.6) 8개 지점으로 분류되었다. 이러한 전반적인 보정 정확도는 국내 대규모 유역 모형 연구에서 요구되는 최소 기준(R2 ≥ 0.6, NSE ≥ 0.5)을 충족하며(Moriasi et al., 2007), 이후 시나리오 기반 예측 분석의 신뢰성을 확보하는 기초가 된다.
Fig. 3은 SWAT 모형으로 산출된 1991년 1월부터 2020년 12월까지의 월별 유출량 자료를 활용하여 산정한 SRI에 대해, 분포 모형별, 누적 기간별 KS D 값을 비교한 결과를 나타낸 것이다. 분석 결과, 6개월 누적 유량에 대한 로그정규(Log-Normal) 분포가 KS D = 0.097로 가장 낮게 나타나, 본 연구에서 SRI 산정의 최적 조합으로 선정되었다.
3.2 전국 및 5대강 유역에 대한 과거 유출량 및 가뭄 현황
국내 전역 및 5대강 유역의 과거 유출량과 가뭄 현황을 평가하기 위해 SWAT 모형에서 산출된 유출량 자료를 활용하고, 이를 기반으로 SRI를 계산하였다. Table 4에는 과거 기간 동안 각 권역의 평균 유출량, 유출량 변동계수, 그리고 SRI를 통해 산출된 가뭄 빈도, 가뭄 강도 및 가뭄 지속기간에 대한 통계값을 제시하였다.
Table 4.
Summary Statistics of Runoff and Drought Characteristics for South Korea and five major river basins (1991-2020)
국내 전역에서는 과거 30년 동안 연평균 유출량이 715.5 mm, 변동계수는 243.5%로 산출되었다. 개별 유역에서 평균 유량은 섬진강 유역에서 798.1 mm로 가장 높았으며, 이는 수자원이 가장 풍부한 유역임을 의미한다. 반면, 영산강 유역에서 661.0 mm로 가장 낮았으며, 수자원이 가장 적은 유역임을 의미한다. 변동 계수의 경우, 한국 전체의 변동계수(243.5%)보다 5개 유역 모두에서 높은 값을 보였으며, 특히 한강 유역이 317.8%로 가장 컸다. 이는 한강 유역에서 평년 대비 유출량 변동이 크고, 저유량과 고유량에 대한 극단치 발생이 잦음을 시사한다.
SRI로 평가된 가뭄 특성의 경우, 가뭄 빈도는 한국 전역에서 전체 360개월 중 평균 30개월 (약 8.3%) 발생하였으며, 대부분 유역이 이와 비슷한 값을 보였다. 다만, 금강 유역의 경우 과거 30년간 가뭄 월수가 24개월로 가장 적었다. 반면, 한강 유역은 가뭄 월수가 32개월로 가장 많았다. 전국 평균 가뭄 강도는 1.88로 나타났으며, 금강 권역이 1.99로 가장 높았다. 금강 권역은 가뭄 발생이 드물지만 발생한다면 단기간 가장 심한 가뭄이 나타나는 유형으로 해석할 수 있다. 다른 유역들의 가뭄 강도는 1.82 ~ 1.90 수준으로 전국 평균과 대체로 유사하다. 평균 가뭄 지속 기간은 2.7개월로 산출되었다. 영산강 유역은 4.8개월로 가장 길었으며, 낙동강 유역은 2.2개월로 가장 짧아 유역별 차이가 두드러졌다.
종합적으로 과거 가뭄 특성을 살펴보면, 5대강 유역은 뚜렷한 유형별 차이를 보인다. 한강 유역과 낙동강 유역은 모두 유출 변동성이 크지만, 한강 유역은 가뭄이 잦았던 반면 낙동강 유역은 가뭄이 비교적 약하고 단기간에 그쳤다. 금강 유역은 발생 빈도가 낮으나 가뭄 강도가 가장 높아 드물지만 심각한 가뭄이 특징이며, 영산강 유역은 평균 수준의 빈도와 강도로 발생한 가뭄이 장기간 지속되는 양상을 보였다. 섬진강 유역은 연평균 유출량과 변동성이 각각 가장 높고 낮아 물 공급이 풍부한 가운데, 가뭄 빈도, 강도 및 지속기간 모두 전국 평균과 유사한 전형적 패턴이 나타났다.
3.3 기후변화 시나리오에 따른 전국 및 5대강 유역의 유출량 및 가뭄 전망
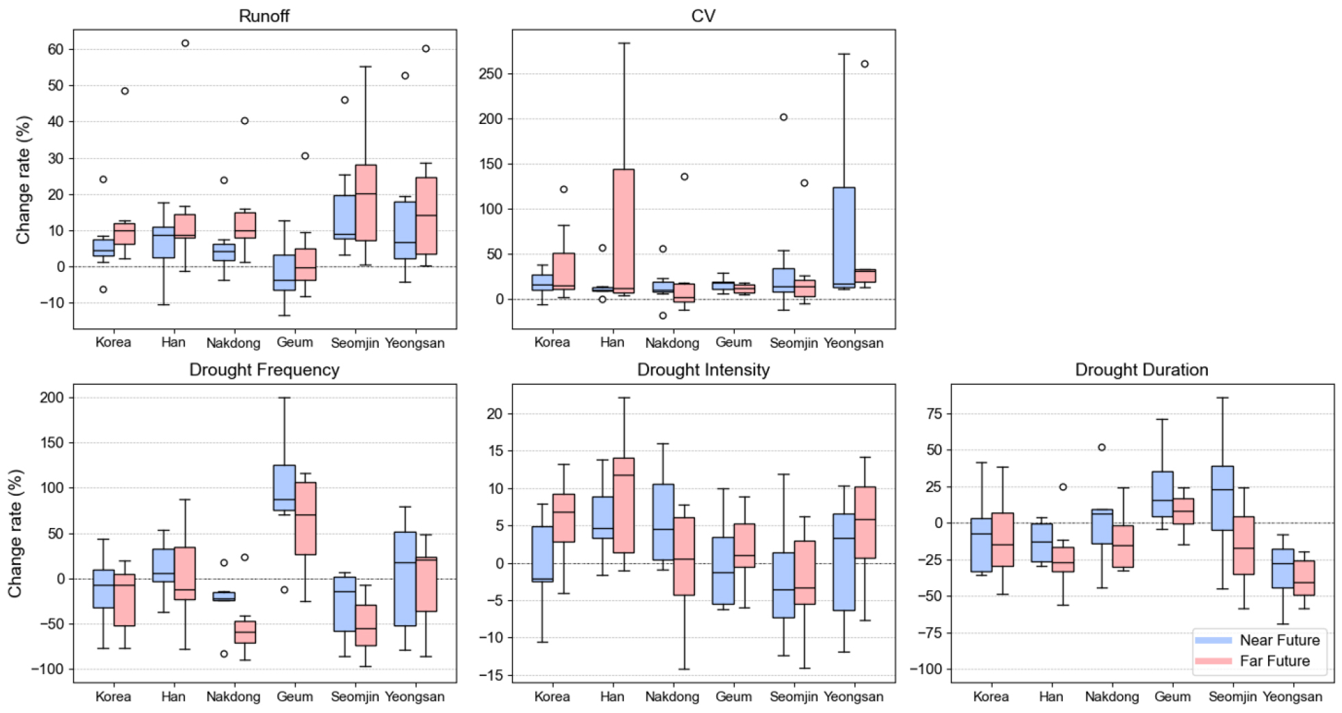
본 절에서는 과거기간 대비 미래기간의 변화율을 바탕으로 기후변화가 전국 및 5대강 유역의 유출량과 가뭄 특성에 미치는 영향을 분석하였다. 분석 결과는 두 개의 미래 기간에 대해 7개 기후변화 시나리오로부터 산출된 변화율을 Fig. 4에 상자그림으로 제시하고, Table 5에는 최소값, 중앙값 및 최대값으로 요약하였다.
Table 5.
Projected changes in runoff and drought indices for Korea and Five Basins under Seven Climate Change Scenarios
3.3.1 전국 유역
전국 단위 유역의 유출량 변화율은 Near Future에서 -6.1% ~ +24.2%(평균 +4.6%) 범위로 나타났으며, Far Future에서는 +2.4% ~ +48.5%(평균 +9.9%)로 전망되었다. 변동계수의 변화율은 Near Future에서 -5.2% ~ +38.7%(평균 +16.7%), Far Future에서 +2.3% ~ +121.9%(평균 +15.9%)로 예측되었다. 전반적으로 미래 유출량은 증가하는 경향을 보였으며, 이러한 증가는 먼 미래로 갈수록 더욱 뚜렷하게 나타났다. 유출량 변동계수 또한 유사한 증가 경향을 보여, 종합적으로는 먼 미래로 갈수록 유출량이 평균 상태에서 크게 벗어나는 저유량 및 고유량과 같은 극단적 수문 이벤트의 발생 가능성이 함께 증가할 수 있음을 시사한다.
가뭄 빈도는 Near Future에서 -76.7% ~ +43.3%(평균 -6.7 %) 범위로 변화하며, Far Future에서는 -76.7% ~ +20.0%(평균 -6.7%) 범위로 전망되었다. 가뭄 강도는 Near Future에서 -10.5% ~ +7.9%(평균 -2.1%)로, Far Future에서는 -4.0% ~ +13.2%(평균 +6.9%)로 나타나 장기적으로 가뭄 발생 시 심각도가 강화될 가능성이 나타났다. 가뭄 지속기간은 Near Future에서 -35.8% ~ +41.4%(평균 -7.3%), Far Future에서 -48.7% ~ +38.5%(평균 -14.4%) 범위로 변화하여, 전반적으로 단축되는 경향을 보였다. 종합하면, 미래로 갈수록 가뭄 빈도와 지속기간은 감소하는 반면, 가뭄이 발생할 경우 강도는 오히려 강화될 가능성이 있어, 장기적으로는 고강도 가뭄 이벤트의 위험이 지속될 수 있음을 시사한다.
3.3.2 한강 유역
한강 유역의 유출량 변화율은 Near Future에서 -10.4% ~ +17.8%(평균 +8.7%)로, Far Future에서 -1.3% ~ +61.6%(평균 +8.8%)로 전망되었다. 변동계수는 Near Future에서 +0.4% ~ +57.0%(평균 +10.6%), Far Future에서 +4.3% ~ +283.8%(평균 +12.3%)로 예측되었다. 한강 권역의 평균 변화율은 두 시기 모두 유사하게 나타났으나, Far Future에서는 대부분의 시나리오에서 유출량 증가폭이 확대되었다. 변동계수 또한 평균 수준의 변화는 유사하지만, Far Future에서 변화 폭이 크게 확장되어 장기적으로 유출량의 극단적 변동 발생 가능성이 높아질 수 있음을 시사한다.
가뭄 빈도는 Near Future에 -37.5% ~ +53.1%(평균 +6.2%) 범위로 변화하여 단기적으로는 과거 대비 가뭄 발생이 증가하나, Far Future에는 -78.1% ~ +87.5%(평균 -12.5%)로 예측되어 장기적으로는 감소할 것으로 전망되었다. 다만 Far Future의 변동 폭이 더욱 확대되어 예측 불확실성이 큰 점은 주목할 필요가 있다. 가뭄 강도는 Near Future에서 -1.6% ~ +13.9%(평균 +4.7%), Far Future에서 -1.0% ~ +22.2%(평균 +11.8%)로 나타나, 장기적으로 심각한 고강도 가뭄 발생 가능성이 높아질 것으로 보인다. 가뭄 지속기간은 Near Future에 -29.2% ~ +4.2%(평균 -12.5%), Far Future에 -56.2% ~ +25.0%(평균 -27.1%)로 예측되어 전반적으로 단축될 것으로 전망된다. 종합하면, 장기적으로 한강 권역의 가뭄 빈도와 지속기간은 감소하지만 강도는 강화되어, 극단적 가뭄 이벤트의 위험이 여전히 상존함을 시사한다.
3.3.3 낙동강 유역
낙동강 권역의 유출량 변화율은 Near Future에서 -3.7% ~ +23.9%(평균 +4.2%)로, Far Future에서 +1.4% ~ 40.4%(평균 9.9%)로 전망되었다. 대부분의 시나리오에서 유출량이 증가하며, 특히 Far Future에서는 평균 증가율과 변화 폭이 모두 확대되어 장기적으로 유출 특성의 불확실성이 보다 커질 것으로 보인다. 변동 계수의 경우 Near Future에서 -17.2% ~ +56.9 %(평균 +10.0%)로 Far Future에서 -11.0% ~ 136.8%(평균 +2.8%)로 산출되었다. 이는 유출량과 달리 장기적으로 평균적인 변동 계수는 감소할 것으로 전망되었지만, 한강 권역과 마찬가지로 먼 미래에서 변동 계수의 변화 폭은 크게 확장되었다.
가뭄 빈도는 Near Future에서 -100.0% ~ +17.2%(평균 -24.1%)로, Far Future에서 -89.7% ~ 24.1%(평균 -58.6%)로 전망되었다. 두 기간 모두 단일 시나리오를 제외한 전 시나리오에서 가뭄 빈도가 과거 대비 감소하였으며, 특히 Far Future에서 감소 폭이 더욱 확대되었다. 주목할 점은 Near Future의 일부 시나리오에서 가뭄이 전혀 발생하지 않는 결과가 전망되었다. 가뭄 강도는 Near Future에서 -0.9% ~ 16.0%(평균 4.6%), Far Future에서 -14.2% ~ 7.8%(평균 0.6%)로 전망되었다. 이에 따르면, 가까운 미래에는 일부 시나리오에서 가뭄 강도가 과거 대비 다소 강화되나, 먼 미래에는 평균적으로 과거 수준과 유사해져 장기적으로 가뭄 강도 변화가 완화되는 경향을 보인다. 가뭄 지속 기간은 Near Future에서 -100.0% ~ 52.4%(평균 3.1%), Far Future에서 -32.8% ~ +24.1%(평균 -15.3%)로 전망되었다. 가까운 미래에서 지속기간은 과거보다 소폭 상승하나 먼 미래에서는 과거보다 하락할 것으로 나타났다. 종합하면, 낙동강 권역의 가뭄은 미래로 갈수록 발생 빈도와 지속기간이 모두 과거 대비 감소하는 반면, 가뭄 강도는 가까운 미래에 다소 강화되었다가 장기적으로는 과거 수준으로 완화되는 경향을 보인다.
3.3.4 금강 유역
금강 권역의 유출량 변화율은 Near Future에서 -13.3% ~ +12.8%(평균 -3.6%), Far Future에서 -8.2% ~ +30.6%(평균 -0.1%) 변화하였다. 금강 권역의 유출량은 미래로 갈수록 평균적으로 감소할 것으로 전망되었지만, 먼 미래에서 과거와 유사해질 것으로 보인다. 다만, 다른 권역과 마찬가지로 먼 미래에서 유량의 변동폭은 크게 나타났다. 변동 계수의 경우 Near Future에서 +6.8% ~ +29.4%(평균 +18.1%)로, Far Future에서 +5.5% ~ +18.0%(평균 +12.6%)로 전망되었다. 이는 가까운 미래에 변동성이 증가하지만, 먼 미래로 갈수록 다소 완화되는 경향을 나타내며, 권역 간 비교 시 변화 폭이 가장 작아 상대적으로 안정적인 유출 특성을 보인다.
가뭄 빈도는 Near Future 기간에 -12.5% ~ +200.0%(평균 +87.5%), Far Future 기간에 -25.0% ~ +116.7%(평균 +70.8 %)로 전망되었다. 특히 가까운 미래인 Near Future에서는 권역 간 비교 시 가장 큰 평균 증가율을 보였으며, 일부 시나리오에서 가뭄 발생 빈도가 과거 대비 세 배 이상 증가할 수 있음을 의미한다. 장기 전망인 Far Future에서도 높은 평균 증가율(+70.8%)을 기록해, 금강 권역이 기후변화에 따른 가뭄 빈도 증가에 특히 취약함을 시사한다. 가뭄 강도는 Near Future에서 -6.2% ~ +10.0%(평균 -1.3%), Far Future에서 -6.0% ~ +8.9%(평균 +1.0%)로 나타났다. 가까운 미래인 Near Future에서는 평균 가뭄 강도가 과거 대비 다소 낮아지는 반면, 먼 미래인 Far Future에서는 소폭 상승할 것으로 전망된다. 전반적으로 가뭄 강도의 변화 폭이 크지 않아, 과거 수준과 유사한 강도를 유지할 가능성이 높다. 지속 기간의 경우 Near Future에서 -3.9% ~ +71.4%(평균 +15.4%), Far Future에서 -14.3% ~ +24.2%(평균 +8.3%) 변화하였다. 두 기간 모두 평균적으로 지속기간이 과거 대비 연장될 것으로 전망되며, 특히 Near Future에서 평균 지속 기간과 시나리오별 변동폭이 더 크게 나타나, 가까운 미래에 가뭄이 더욱 오래 지속될 가능성이 높음을 시사한다. 종합적으로 금강 권역에서는 미래 전 기간에 걸쳐 가뭄 빈도가 크게 증가하고 지속기간도 연장될 것으로 전망되어, 특히 가까운 미래에 빈도와 지속기간 측면에서 가뭄 심화 양상이 뚜렷하게 나타날 것으로 판단된다.
3.3.5 섬진강 유역
섬진강 권역의 유출량 변화는 Near Future에서 +3.2% ~ +46.1%(평균 +8.9%), Far Future에서 +0.6% ~ +55.2%(평균 +20.2%)로 전망되었다. 모든 기후 시나리오에서 유출량이 증가할 것으로 예측되었으며, 특히 Far Future에서는 증가 폭이 더욱 확대되어 장기적으로 수자원 공급 여건이 개선될 가능성이 크다. 또한 섬진강 권역의 평균 유출량 증가율(+20.2%)은 5대 권역 중 가장 높아, 타 권역 대비 수자원 증가 효과가 가장 두드러질 것으로 보인다. 변동 계수의 경우 Near Future에서 -11.2% ~ +202.6%(평균 +14.4%), Far Future에서 -4.7% ~ +129.6%(평균 +14.9%)로 나타났다. 두 기간의 평균 변동 계수 변화율은 거의 동일하지만, Far Future에서는 최대 변화 폭이 크게 축소되어, 장기적으로는 극단적 변동 이벤트의 불확실성이 다소 완화될 가능성을 시사한다.
가뭄 빈도는 Near Future에서 -100.0% ~ +6.9%(평균 -24.1 %), Far Future에서 -96.6% ~ -6.9%(평균 -55.2%)로 변했다. 가까운 미래에는 일부 시나리오에서 가뭄이 전혀 발생하지 않는(-100.0%) 경우가 관측되었으며, 먼 미래로 갈수록 대다수 시나리오에서 가뭄 발생 빈도가 과거 대비 감소하는 경향이 뚜렷해졌다. 가뭄 강도의 경우 Near Future에서 -12.4% ~ +11.9%(평균 -3.6%)로, Far Future에서 -14.0% ~ +6.3%(평균 -3.3%)로 전망되었다. 가뭄 강도는 두 미래 기간 유사한 수준으로 감소하였다. 가까운 미래에는 일부 시나리오에서 가뭄 지속기간이 과거 대비 크게 연장되는 반면, 먼 미래에는 대다수 시나리오에서 지속기간이 단축되는 경향을 보였다. 종합적으로 섬진강 권역의 가뭄 빈도와 강도는 두 미래 기간 모두 과거 대비 감소할 것으로 전망되며, 지속기간은 가까운 미래에 일시적으로 연장되나 먼 미래에는 단축되는 양상을 보여 장기적으로 가뭄이 완화될 것으로 판단된다.
3.3.6 영산강 유역
영산강 권역의 유출량 변화는 Near Future에서 -4.2% ~ +52.8%(평균 +6.8%)로, Far Future에서 +0.2% ~ +60.3%(평균 +14.2%)로 변화하였다. 대다수 시나리오에서 유출량이 증가하며, 특히 장기 전망에서 평균 증가폭이 크게 확대되어 장기적으로 수자원 공급 여건이 개선될 가능성이 높다. 변동 계수의 경우 Near Future에서 +11.7% ~ +272.5%(평균 +17.4 %)로, Far Future에서 +13.9% ~ 261.5%(평균 +31.0%)로 전망되었다. 이는 다른 권역에 비해 평균 변동 계수가 높을 뿐만 아니라, 두 미래 기간 모두 시나리오별 변동 폭이 크게 나타나 유량 변화의 불확실성과 극단적 변동 이벤트 발생 가능성이 특히 높은 권역임을 시사한다.
가뭄 빈도는 Near Future에서 -79.3% ~ +79.3%(평균 +17.2 %)로, Far Future에서 -86.2% ~ +48.3%(평균 +20.7%)로 변화하였다. 평균적으로 과거 대비 빈도가 증가하는 양상이지만, 변동 폭이 감소와 증가를 모두 포함하고 있어 시나리오 간 불확실성이 높은 편이다. 가뭄 강도의 경우 Near Future에서 -11.9% ~ +10.4%(평균 3.3%)로, Far Future에서 -7.7% ~ +14.2%(평균 +5.9%)로 전망되었다. 모든 기간에 걸쳐 평균 강도가 과거 대비 증가할 것으로 나타났으며, 특히 장기 전망에서 대부분의 시나리오가 강도 증가를 보였다. 가뭄 지속 기간의 경우 Near Future에서 -69.0% ~ -8.0%(평균 -27.6%)로, Far Future에서 -58.6% ~ -19.5%(평균 -40.7%) 로 감소가 예상되며, 특히 장기 전망에서 지속기간의 단축 폭이 더 커져 가뭄이 더욱 짧게 유지될 것으로 보인다. 종합하면, 영산강 권역에서는 가뭄 발생 빈도와 강도가 모두 강화되는 반면 지속기간은 단축될 것으로 전망되어, 향후에는 짧지만 빈번하고 강도 높은 가뭄이 주로 발생할 것으로 전망된다.
3.4 기후변화 시나리오에 따른 수문-가뭄 특성의 분류 및 공간 분포 분석
본 절에서는 전국 및 각 유역의 분류 유형이 Near Future와 Far Future에 따라 어떻게 변화하는지를 정리하고, 미래 기간별로 유사한 유형을 보이는 권역을 비교한다. 유역별 전망 결과의 중앙값 변화율을 바탕으로 분류된 수문-가뭄 유형 결과는 Table 6에 제시하였다.
Table 6.
Hydrological-drought cluster classification by basin under near future and far future (R: Runoff, C: Coefficient of Variation, D: Drought)
전국 수준의 집계 결과에 따르면, Near Future에는 유출 정체형(R2)-변동성 확대형(C1)-가뭄 완화형(D3)으로 분류되며, Far Future에는 유출 증가형(R1)-변동성 확대형(C1)-가뭄 완화형(D3)으로 전환되는 것으로 나타났다. 한강 권역은 Near Future에서 R1-C2-D2로 분류되며, Far Future에는 R1-C2-D3으로 변화한다. 낙동강 권역은 Near Future에 R2-C2-D2, Far Future에는 R1-C2-D3으로 분류되어 유출 및 가뭄 유형의 변화가 확인된다. 금강 권역은 Near Future에서 R2-C1-D1로 분류되며, Far Future에는 변동성 유형이 C2로 변화하여 R2-C2-D1으로 나타난다. 섬진강 권역은 Near Future에서 R1-C2-D2, Far Future에는 R1-C2-D3으로 전환된다. 영산강 권역은 Near Future에 R1-C1-D2, Far Future에는 R1-C1-D1으로 분류되어 두 미래 기간 간 가뭄 유형의 변화가 나타난다.
미래 기간별로 분류 결과를 종합하면, Near Future에는 유역 간 분류 유형의 차이가 비교적 뚜렷하게 나타난다. 이 시기에는 한강과 섬진강 권역이 동일한 R1-C2-D2 유형으로 분류되는 반면, 낙동강 권역은 R2-C2-D2, 영산강 권역은 R1-C1-D2로 분류되어 변동성 및 유출 특성에서 차이를 보인다. 금강 권역은 Near Future부터 R2-C1-D1 유형으로 분류되어, 다른 권역과 구분되는 특성을 보인다. Far Future에는 일부 유역에서 분류 유형의 중복이 나타난다. 한강, 낙동강, 섬진강 권역은 모두 R1-C2-D3 유형으로 분류되어 동일한 수문-가뭄 유형을 공유하는 반면, 영산강 권역은 R1-C1-D1, 금강 권역은 R2-C2-D1으로 분류되어 이들과 구분된다. 이에 따라 Far Future에는 Near Future에 비해 일부 유역 간 분류 유형이 중첩되는 양상이 나타나지만, 모든 유역이 단일 유형으로 수렴하지는 않는 것으로 정리된다.
Fig. 5는 각 표준유역에서 7개 기후변화 시나리오로 평가된 유출량과 가뭄 지표의 과거 대비 미래 변화 방향(증가/감소)만을 고려하여 나타낸 것이다. 유출량의 경우, 7개 시나리오 모두 증가할 때는 파란색 빗금으로, 모두 감소할 때는 빨간색 빗금으로 표시하였다. 반대로 가뭄 지표는 7개 시나리오 모두 증가할 경우 빨간색 빗금으로, 모두 감소할 경우 파란색 빗금으로 나타냈다. 모든 시나리오에서 일관된 결과가 도출되지 않은 경우에는 가장 많은 빈도로 나타난 변화를 기준으로 표현하였다. 예를 들어, 유출량이 4개 시나리오에서 증가하고 3개 시나리오에서 감소한 경우 파란색으로 표시하였다. 단, 여기에서 유출량과 가뭄 변화의 정도를 나타내지는 않는다.
유출량의 경우, 대권역 단위 분석 결과 금강 유역을 제외한 모든 유역에서 증가할 것으로 전망되었다. 그러나 Figs. 5(a) and 5(e)에서 나타나듯, 낙동강 유역에서는 Near Future에 북부 일부 지역과 남부 지역에서 과반의 시나리오에서 유출량 감소가 나타났다. 또한 한강 유역의 동부 지역에서는 두 미래 시기 모두 전반적으로 유출량이 감소할 것으로 분석되었다. 반면 금강 유역은 대부분 지역에서 감소가 전망되었으나, 북부 일부 지역에서는 증가가 예상되었다. 이처럼 대권역 차원에서 유출량이 증가하더라도 지역별로 상이한 경향이 나타나며, 이는 권역 내 세부 공간 단위에서 다양한 변화가 발생할 수 있음을 시사한다.
Fig. 5에서 유출량 변화를 나타낸 그림을 제외한 나머지 결과는 각 표준유역에서의 가뭄 빈도, 강도 및 지속기간을 나타낸 것이며, 유출량 변화와 마찬가지로 가뭄 특성 역시 지역별로 상이한 변화를 보였다. 가뭄 빈도, 강도 및 지속기간의 변화는 모든 지역에서 동일한 패턴을 보이지 않았다. 예를 들어, 빈도와 지속기간이 감소하더라도 강도가 반드시 감소하는 것은 아니었으며, 이처럼 가뭄 특성 간의 변화가 일관된 심화 또는 완화로 수렴하지는 않았다. 이는 가뭄 특성이 지역 및 지표별로 상이하게 반응함을 보여준다. 또한 유출량이 감소하는 지역과 가뭄 빈도가 증가하는 지역이 일정 부분 공간적으로 일치하는 경향을 보였다.
종합적으로, 유출량과 가뭄 특성은 권역·지역별로 상이한 양상을 보였으며, 이는 기후변화 영향이 공간적으로 균일하지 않음을 보여준다. 또한 Near Future와 Far Future를 비교하면 일부 지역에서는 유출량과 가뭄 변화의 일관성이 강화되는 양상이 나타났다. 예를 들어, Near Future에서 가뭄 강도가 일부 시나리오에서만 증가했던 지역이 Far Future에서는 모든 시나리오에서 증가하는 것으로 나타났다. 이는 장기적으로 기후변화 영향이 특정 지역에 집중될 수 있음을 시사한다. 아울러 유출량 증가가 반드시 가뭄 완화를 의미하지 않는다는 점은, 기후변화로 인한 수자원 영향이 단순하지 않고 복합적임을 보여준다. 따라서 일반적이고 획일적인 적응 전략이 아니라, 수자원 공급량의 증감 뿐만 아니라 가뭄의 빈도와 지속기간 등 다양한 특성을 함께 고려한 지역 맞춤형 관리와 기후변화 적응 전략이 필요하다.
4. 결 론
4.1 토의
본 연구에서는 AR6 SSP 기반의 기후변화 시나리오를 활용하여 우리나라 전국 및 5대강 유역의 유출량과 수문학적 가뭄 변화를 종합적으로 평가하였다. 수문모형인 SWAT을 이용하여 과거기간과 미래기간의 유출량을 모의하고, 유출량의 평균값과 변동 계수, SRI를 통해 수문 및 가뭄 특성을 정량적으로 분석하였다. 분석 결과, 금강 권역을 제외한 모든 권역에서 미래 유출량이 증가하여 수자원 잠재량이 확대될 가능성이 있는 것으로 나타났다. 하지만, 유출량의 변동성(CV)은 전반적으로 과거보다 증가하여 수문 체계의 안정성이 일부 저하될 수 있으나, 변화 폭은 상대적으로 크지 않은 것으로 평가되었다. 가뭄 분석 결과, 다수 권역에서는 가뭄이 완화될 가능성이 확인되었으나, 가뭄이 발생할 경우 그 강도는 심화될 가능성이 제기되었다. 특히 금강 권역은 다른 권역과 달리 가뭄 발생 빈도, 강도, 지속기간이 모두 증가하는 것으로 나타나, 향후 가뭄 문제가 가장 심각하게 나타날 수 있는 권역으로 평가되었다. 종합적으로 기후변화로 인한 강우량의 증가는 유출량의 증가로 이어지지만, 이러한 결과가 가뭄을 모두 해소해 주는 것은 아니며, 특정 권역은 가뭄이 매우 악화되기도 하였다. 이는 전국 차원의 수자원 관리뿐 아니라 권역별 특성에 맞춘 기후변화 적응 전략 수립의 필요성을 시사한다. 특히 금강 권역과 같이 가뭄 악화가 예상되는 지역은 물 공급 안정성 확보를 위한 선제적 대책이 요구되며, 유출 변동성이 확대되는 권역은 극한 수문사상에 대비한 인프라 및 운영계획 보완이 필요하다.
기후변화에 따른 수자원 및 가뭄의 영향평가를 수행해 온지 꽤 오랜 시간이 흘렀으며, 그 동안 많은 연구 결과들이 제시되었다. 대표적인 선행 연구들의 연구 결과를 정리하면 다음과 같다. Bae et al. (2008)은 SRES A2 시나리오를 기반으로 수자원의 영향을 분석하였으며, 한강유역을 제외한 대부분의 유역에서 유출량이 감소하는 것으로 전망하였다. Bae et al. (2011)은 AR4 기후변화 시나리오의 Multi-model Ensemble을 이용하여 미래 유출량 변화를 평가하였으며, 홍수기 유량의 증가와 건기 유량의 감소를 전망하여 수자원 부족의 위험과 홍수 위험이 증가할 것으로 전망하였다. Park et al. (2015)은 AR5 RCP 기후변화 시나리오를 이용하여 가뭄지수를 통해 우리나라의 가뭄 변화를 전망하였다. 연평균 미래 가뭄사상의 평균 지속기간 및 평균 가뭄심도는 대체적으로 중부지방에서 증가될 것으로 예측하였으며, 모형에 따라 불확실성이 있음을 제시하였다. Lee et al. (2019)는 SPI, SPEI와 SRI를 이용하여 가뭄의 발생 빈도, 평균 심도, 지속기간 등을 평가하였으며, 전반적으로 미래 가뭄의 심각성은 악화될 가능성이 높은 것으로 제시하였다. 이 연구에서의 기후변화 시나리오에서는 남부 지역에 비해 북부지역의 강수량의 증가 폭이 낮아 한강유역의 가뭄이 크게 발생하는 것으로 분석되었다. An et al. (2022)은 SSP 시나리오를 적용하여 SPI와 RDI (reconnaissance drought index)를 통해 미래 가뭄의 변화를 분석하였다. 기후변화 시나리오 측면에서는 RCP와 SSP 시나리오에서 유사한 연구 결과가 도출되었으며, 가뭄 지수는 SPI에 비해 증발량을 고려하는 RDI가 더욱 건조해진다는 연구 결과를 제시하였다.
본 연구에서 도출된 결과들과 기존 연구결과들을 비교분석해보면, 기후변화 시나리오, 모형의 종류에 대부분 정량적인 결과는 다르게 나타났지만, 대체로 강수량과 유출량 증가는 동일하게 발견되었으며, 대부분의 강수량과 유출량 증가가 여름철에 이루어져 가뭄 완화에 도움이 되지는 못하는 것으로 확인되었다. 또한, 기후변화 시나리오의 기온 상승 추세가 뚜렷하게 나타나 증발산량의 증가가 예상되어 가뭄 평가에서는 물수지가 고려되어야 한다고 주장하고 있고, 본 연구에서는 이를 가장 잘 반영하는 유출량을 이용한 가뭄 전망을 수행하였다. 사용한 기후변화 시나리오에 따라 지역 간의 미래 전망 결과에는 다소 다르게 전망되는 경우는 있으나, 시나리오의 전망 결과에 따라 어느 지역에서라도 가뭄의 위험이 증가된다는 점을 도출하였다.
4.2 결론 및 향후과제
본 연구의 차별성은 AR6 기반의 국가 표준 기후변화 시나리오(20종)을 이용하여 미래 유출량 및 가뭄을 평가하였으며, 특히 수문학적 가뭄 지수를 이용하여 평가하였다는 점이 다른 선행연구와의 차별성이 있다. 또한, 우리나라 전역에 대해서 5대강 유역의 특성을 도출하여 제시하여 향후 유역 별 수자원 계획을 수립 시 참고자료로 활용될 수 있을 것으로 판단된다. 본 연구의 최종적인 결과를 다양한 시나리오에서 공통적으로 제시되는 유출량 및 가뭄의 증감 등의 방향성을 제시하였다. 물론, 기후변화 시나리오별로 산정되는 정량적인 전망 결과값도 중요한 의미를 가지기는 하지만, 불확실성을 내포하고 있는 미래 전망 결과의 큰 의미를 부여하기 한계가 있기 때문이다.
본 연구는 5대강 유역별 유출량과 가뭄 변화를 동시에 비교 평가한 점에서 의의가 있으나 분석 단위를 5대 권역 수준으로 한정함에 따라, 권역 내 세부 유역 또는 소규모 지역에서 나타날 수 있는 변화 특성을 충분히 반영하지 못한 한계가 있다. 실제로 특정 지역에서는 유출량과 가뭄 변화가 평균보다 훨씬 극단적으로 나타날 가능성이 있으며, 반대로 변화가 미미한 지역도 존재할 수 있다. 또한, 이러한 공간적 이질성은 적용하는 기후변화 시나리오(GCM-RCM 조합)에 따라 크게 달라질 수 있다.
향후 연구에서는 다수의 기후모델과 시나리오 조합에 따라 나타나는 시기별·지역별 수문학적 변화를 분석하고, 단순히 평균적인 경향을 제시하는 데 그치지 않고 발생 확률이 낮더라도 미래에 예측·발생 가능한 수자원 문제를 도출할 필요가 있다. 이는 기후변화로 인한 극단적인 영향을 보다 정밀하게 반영함으로써, 기후변화 적응을 위한 최대한의 대응 방안을 마련하기 위함이다. 이러한 극단 영향 분석과 더불어, 수문학적 지표에 국한되지 않고 수질, 생태계, 사회·경제적 영향까지 포함하는 통합 영향평가를 수행한다면, 기후변화 적응 전략 수립을 위한 보다 실효성 높은 기초자료를 제공할 수 있을 것이다.







