1. 서 론
2. 재료 및 방법
2.1 전국 농업용 저수지 자료 및 기상관측자료
2.2 다중선형 회귀분석을 이용한 저수율 회귀식
2.3 다중선형 회귀분석을 이용한 저수율 회귀식
2.4 기후변화 시나리오
3. 결과 및 고찰
3.1 회귀식과 기후변화 시나리오 자료를 이용한 미래 저수율 전망
3.2 지속기간별 저수지가뭄지수 산정
3.3 저수지가뭄지수를 통한 가뭄사상 분석
4. 요약 및 결론
1. 서 론
최근 급격한 이상기후의 영향으로 한반도 내의 가뭄의 발생빈도와 강도가 증가하고 있으며 과거에 경험해보지 못했던 극심한 가뭄이 빈번하게 발생하고 있는 추세이다(Kim et al., 2016). 홍수와 달리 가뭄은 시작과 끝을 정확하게 알기 어려운 재해이나, 가뭄이 진행됨에 따라 사회 전반에 큰 피해를 미치는 특성 때문에 대책을 수립하고 이행하는 것이 어렵다(Kim et al., 2013). 때문에 가뭄을 대응하고 관리하기 위한 다양한 가뭄지수가 개발되고 있으며, 관심분야에 따라 각기 다른 변수를 이용해 가뭄지수를 산정하여 가뭄의 심도와 기간을 분석하고 있는 연구가 진행되고 있다(Kim et al., 2012).
대표적으로 기상분야에서는 표준강수지수 SPI (Standardized Precipitation Index; McKee et al., 1993; 1995)와 기후학적 시계열의 확률 개념을 이용한 PDSI (Palmer Drought Severity Index; Palmer, 1965) 등이 있으며, 수문분야에서는 지표와 물 공급체계를 고려하는 SWSI (Surface Water Supply Index; Shafer and Dezman, 1982)와 이를 국내에 맞게 적용한 MSWSI (Modified SWSI; Kwon et al., 2006) 등이 활용 중이다(Lee et al., 2006; Nam et al., 2015). 이 가뭄지수들은 Sohn et al., (2014)의 연구와 같이 미래 기후변화 시나리오 자료를 적용하여 미래가뭄의 경향을 파악하는 형태로도 연구된 바 있다.
한편, 농업분야에서는 가뭄으로 인해 농작물 생육 및 수확량에 직접적으로 영향을 미치는 강우부족, 증발산량, 토양수분, 저수지 및 지하수위 등의 변수를 이용하여 가뭄지수가 개발된 바 있다(Nam et al., 2013). 농업가뭄을 나타내는 대표적인 지수 등에는 농업용 저수지의 저수량을 이용한 저수지가뭄지수(RDI, Reservoir Drought Index), 토양수분의 유효수분백분율을 이용한 토양수분지수(SMI, Soil Moisture Index) 및 두 가지 가뭄지수를 통합한 통합농업가뭄지수(IADI, Intergrated Agricultural Drought Index) 등이 있다(Park et al., 2017).
저수지가뭄지수에 대해 Nam et al. (2013)는 순별가용저수량의 최소값에 대해 가뭄발생 위험과 크기를 빈도개념을 통해 나타내는 저수지가뭄지수(RDI)를 이용하여 5개의 소규모 저수지를 대상으로 지속기간별 농업가뭄을 분석한 바 있다. Lee et al. (2018)은 기상인자와 저수율을 변수로 다중선형 회귀분석을 통해 전국에 적용 가능한 저수율 단기예측 회귀식을 도출하고 평년저수율대비 저수율 부족율을 이용한 저수지가뭄지수(RDI)를 제안한 바 있다. KMA (2018)에서는 장기기상예보자료인 GloSea 5를 이용한 농업가뭄의 3개월 예보자료 생산을 위해 Lee et al. (2018)이 제안한 저수율 예측 회귀식을 수정하여 지속기간 3개월 RDI3를 산정한 바 있다. Kim et al. (2018a)은 한국농어촌공사 관리 저수지 3,067개소를 대상으로 저수지의 형태학적 인자를 이용하여 저수지의 군집화를 진행하였고, 군집별로 저수율 예측 회귀식을 산정하여 관측자료 기반의 RDI와의 상관성 분석을 통해 농업가뭄 감지 가능성을 확인하였다.
기상분야 및 수문분야와는 달리 농업분야의 저수지가뭄지수를 이용하여 미래 농업가뭄을 예측하는 연구는 시작단계이므로 Lee et al. (2017) 및 KMA (2018) 등에서 사용된 지속기간별 회귀식에 GloSea 5의 예보를 위한 기상자료 뿐 아니라 기후변화 시나리오를 통한 기상자료를 적용하여 회귀식과 저수지가뭄지수에 대한 미래 농업가뭄 평가의 적용성을 파악할 수 있다면 기타 가뭄지수들과의 비교를 통해 좀 더 객관적인 가뭄수치를 제시할 수 있을 것이다.
따라서 본 연구에서는 전국에 적용이 가능한 KMA (2018)에서의 지속기간 3개월의 저수율 회귀식으로 생산된 RDI3을 토대로 기후변화 시나리오를 적용하여 지속기간 3개월에 따른 저수지가뭄지수를 산정하고 가뭄의 심도와 기간을 분석하여 가뭄에 대한 영향을 평가하여 기후변화 시나리오에 대한 정량적 가뭄사상의 시계열 변화를 제시하여 미래 농업가뭄을 대비할 기초자료를 제공하고자 한다.
2. 재료 및 방법
본 연구에서는 Fig. 1과 같이 한국농어촌공사 관리 저수지 3,067개에 대한 저수율 관측자료와 기상청 지상관측소 63개 지점에 대한 기상자료를 수집하여 지속기간 3개월에 대한 저수율과 기상인자를 독립변수로 하는 저수율 예측 다중선형 회귀식을 이용하였다. 회귀식과 미래기후변화 시나리오 중 극한 홍수 및 가뭄 사상을 대표하는 RCP 8.5 AECP 시나리오 5개(CESM1-BGC, HadGEM2-ES, INM-CM4, MPI-ESM-MR, FGOALS-s2) 및 기상청 시나리오 HadGEM3-RA의 총 6개 시나리오를 선택하고 평가기간별(Historical (1976~2005), S1 (2011~2040), S2 (2041~ 2070), S3 (2071~2100))로 저수지가뭄지수(Reservoir Drought Index, RDI)를 산정하여 가뭄사상을 평가하였다.
2.1 전국 농업용 저수지 자료 및 기상관측자료
우리나라 전국의 농업용 저수지는 총 17,313개이며 농업용 저수지의 총 유효 저수량은 2,838백만 m3으로 국내 농업용수 사용량 중 약 60%를 공급하는 핵심 농업기반 시설이다(Kim et al., 2017; Kim et al., 2018a). 농업용 저수지의 저수율을 산정하기 위해 17,000여 개의 농업용 저수지 중 수위계가 설치되어 수문 계측자료 확보가 용이한 한국농어촌공사 관리 저수지 3,067개소를 대상으로 하였다. 저수율 자료는 농업기반시설관리시스템 RIMS (Rural Infrastructure Management System)에서 수집하였다(Shin and Lee, 2012; Kim et al., 2018a). 농업용수와 관련한 데이터들은 인위적 요소가 포함되므로 일별로 평가하는 것보다 월별로 평가하는 것이 일반적이므로 각 저수율 자료를 월별로 수집하였다(Song et al., 2015).
기상자료는 기상청 종관자동기상관측장비(Automated Synoptic Observing System, ASOS)가 설치된 기상관측소 중 결측자료가 없고, 30년 이상 과거 기상자료를 보유하고 있는 63개 관측소에서 제공되는 일별 기상자료를 이용하였다. 저수율 회귀분석을 실시하기 위한 인자로는 5가지 기상인자(강수, 최고기온, 평균기온, 최저기온, 평균풍속) 자료를 활용하였다.
2.2 다중선형 회귀분석을 이용한 저수율 회귀식
다중선형 회귀분석이란 2개 이상의 독립변수로 종속변수의 변화를 설명하기 위한 통계 모형 방법으로(Lee et al., 2017), 선행연구에서는 5가지의 기상관측자료(강수량, 최고기온, 최저기온, 평균기온, 평균풍속) 및 전월 저수율 자료를 독립변수로 하여 종속변수인 현재 달의 저수율을 예측한 바 있다(Lee et al., 2018; KMA, 2018; Kim et al., 2018a). 회귀식의 변수 중 최고 및 최저기온은 증발산량 추정을 위해 반영하였으며 평균기온은 일조시간의 상관관계를 고려하여 반영되었으며, 저수율의 연속적인 특성을 반영하기 위해 전월 저수율을 독립변수로 채택하였다(Thorton and Running., 1999; Lee et al., 1995; Kim et al., 2018a). 저수율의 가뭄지수를 확인하기 위해 예측 월의 기상인자 및 전월 저수율을 고려하여 3개월 자료기반 저수율(Reservoir Storage Rate based on 3 month data, RSR3) 회귀식을 Eq. (1)과 계산한다.
이때, RSR는 예측시점의 예측저수율(%), PRCP는 월 누적강수량(mm), Tmax는 월평균 최고기온(℃), Tmin은 월평균 최저기온(℃), Tavg는 평균기온(℃), WS는 월평균 평균풍속(m/s), RES는 예측 시점 전월 저수율(%), C는 상수이며 m을 예측시점의 월, m-2는 선행시간 2개월, m-1은 선행시간 1개월로 두어 산정하게 된다.
본 연구에서는 선행연구(KMA, 2018)에서 제시한 RSR3에 대한 월별 회귀계수 의 값을 이용하여 미래 농업용 저수지 저수율을 산정하였으며 월별회귀계수는 Table 1과 같이 정리하였다.
Table 1. RSR3 Regression coefficient
R2가 0.60~0.94로 나타나며, 농업용 저수지 저수율에 대해 강수량의 경우 봄철(3~5월)에서는 M, M-1, M-2의 영향이 크나 가을철(9~11월)에서는 전월 강수량의 영향이 크며, 기온은 가을철에서 특히 M, M-1, M-2의 모든 인자가 민감하게 반응하는 것으로 나타났다. 또한, 겨울철(12~2월)의 상관성이 가장 높은 것으로 분석되었는데, 이 시기의 회귀계수를 살펴보면, 전월 저수율 회귀계수인 C 의 값이 0.90~0.96으로 전월 저수율의 영향을 가장 많이 받는 것으로 분석되었다.
2.3 다중선형 회귀분석을 이용한 저수율 회귀식
2.3.1 저수지가뭄지수
저수지가뭄지수(RDI)는 순별 가용저수량 개념을 이용하여 가뭄발생의 위험과 크기를 빈도개념을 통해 나타낸다(Park et al., 2017). 하지만 이는 개별단위 저수지에서만 활용이 가능하다는 단점이 존재한다. 따라서 본 연구에서는 관측자료를 활용하여 전국적으로 신뢰성 있는 저수지가뭄지수 산정을 위해 과거 30년의 평년데이터와 관측자료를 활용하는 수정된 저수지가뭄지수를 이용하여 가뭄 상태를 표현하고자 하였다(Lee et al., 2018; Kim et al., 2018a). RDI3은 Eq. (2)와 같다.
| $$RDI3\;=\;\frac{RSR3_{obs}-RSR3_{nor}}{RSR3_{obs}}$$ | (2) |
RSRobs는 예측 월의 저수율, RSRnor은 예측 월에 해당하는 평년저수율이며 3개월 자료기반의 평균저수율 값을 RSR3로 나타냈다. RDI의 결과값에 따라 –0.25~–0.5는 보통가뭄, –0.5~–1.0은 심한가뭄, –1 이하는 극한 가뭄의 단계를 나타낸다(Lee et al., 2018).
2.3.2 가뭄사상평가
가뭄사상을 정의하고 해석하는 방법은 연속이론(Run’s theory; Yevjevich, 1967), 마코프 연쇄기법(Markov chain; Chang, 1991), 경험적 직교함수 기법(Empirical Orthogonal Function, EOF; Yoo et al., 2006)등 다양하게 연구되었다. 그 중 연속이론은 가뭄사상의 해석하기 가장 쉬운 방법으로 Fig. 2와 같이 절단수준(truncation level)을 설정해 가뭄의 시작과 끝을 명확하게 구분지어 지속기간(Duration), 심도(Severity), 규모(Intensity)을 산정하여 분석한다(Yoo et al., 2013, Nam et al., 2015).
가뭄변량이 절단수준 이하로 떨어지는 시점부터 종점까지의 시간을 가뭄의 지속기간, 가뭄 지속기간 내 누적 가뭄변량을 가뭄의 심도, 가뭄의 심도를 지속기간으로 나눈 것을 가뭄의 규모로 정의한다(Yoo et al., 2013). 본 연구에서는 RDI 가뭄지수를 이용하여 절단수준을 RDI 보통가뭄의 시작인 –0.25로 설정하고 가뭄의 종료는 절단수준 이상이 되는 시점으로 설정하여 가뭄의 심도, 지속기간, 규모를 산정하고 농업가뭄사상 평가를 실시하였다.
2.4 기후변화 시나리오
2.4.1 기후변화 시나리오
Intergovernmental Panel on Climate Change (IPCC)에서는 기후변화로 인한 인류활동의 영향을 평가하기 위해 Coupled Model Intercomparison Project Phase 5 (CMIP5) 모형을 통해 기후변화 시나리오를 생성하며 Spatial Disaggregation Quantile-Delta Mapping (SDQDM)을 적용하여 지역단위 연구에 적용가능한 공간해상도를 위해 상세화된 자료를 생산하여 제공하고 있다(Kim et al., 2018b).
CMIP5 모형은 경제성장률, 산업화, 복원기술력 등을 고려하여 Representative Concentration Pathways (RCP)를 4가지로 구성하며, 이 자료를 바탕으로 APEC Climate Center (APCC)에서는 RCP별, 3개의 미래 평가기간(2006~2035 (2020s), 2036~2065 (2050s), 2066~2095 (2080s))에 대해 군집분석기법 중 하나인 Katsavounidis-Kuo-Zhang (KKZ) 기법(Katsavounidis et al., 1994)을 활용하여 대표 시나리오를 선정하여 시나리오를 제공하고 있다(Kim et al., 2018b). 본 연구에서는 극한사상 추정을 위해 복사 강제력이 2100년에 8.5 W/m2이상, CO2 농도가 940 ppm 이상이 되는 RCP 8.5 자료를 이용하였다(Kim et al., 2015).
한편, 기후변화 연구에서 모든 GCM 시나리오를 사용하는 것은 많은 계산과 노력을 요구하며 비효율적이므로 Kim et al. (2018b)와 같이 강우관련 6개 지수에 해당하는 백분위수(percentile) 값을 통해 극한지수를 산출하는 방식인 STARDEX를 활용하여 시간과 공간 규모에서 통계적, 동적 및 역학적 축소기법을 활용해 극한 시나리오를 평가하는 연구가 진행되었다(Seo et al., 2017). Kim et al. (2018b)에서는 강우관련 6개의 극한지수별 순위를 종합하여 가장 습윤한 시나리오(HadGEM2-ES, CESM1-BGC) 및 가장 건조한 시나리오(INM-CM4, FGOALS-s2), 습윤한 시나리오와 건조한 시나리오의 비교검토를 위해 중간순위의 시나리오(MPI-ESM-MR) 등 5가지의 시나리오를 이용해 수문거동을 평가한 바 있다.
따라서 본 연구에서는 경향성이 뚜렷한 상태에서의 농업용 저수지 저수율을 산정하고자 선행연구에서 제시한 RCP 8.5 시나리오의 평가기간별(Historical (1976~2005), S1 (2011~ 2040), S2 (2041~2070), S3 (2071~2100)) 5가지의 시나리오(HadGEM2-ES, CESM1-BGC, MPI-ESM-MR, INM-CM4, FGOALS-s2)와 기상청 공인 시나리오인 HadGEM3-RA 등 총 6개의 시나리오를 채택하여 이용하였다.
2.4.2 6개 시나리오 특성
선정한 6개의 시나리오에 대해 4개의 평가기간별 강수량과 최고 및 최저기온의 경향성을 보기위해 평년강수량 대비 기후변화 시나리오에 대한 강수량을 %로 하여 Fig. 3(a)와 같이 도시하였고, 평년의 최고, 최저기온 대비 기후변화 시나리오의 최고, 최저기온의 증감을 Fig. 3(b)과 같이 나타내었다. 미래기후변화 시나리오에 따른 강수량을 살펴보면 INM-CM4 시나리오와 FGOALS-s2 시나리오의 변동폭이 가장 작았음을 알 수 있었으며, 가까운 미래 (S1)에서 보다 먼 미래(S3)로 갈수록 강수량의 변화 폭이 더 커짐을 확인할 수 있었다. 최고 및 최저기온의 경우 HadGEM2-ES 시나리오가 가장 큰 폭으로 상승 했고 INM-CM4 시나리오의 경우 증가량이 가장 작았다.
평년 기상자료의 계절별 변화를 확인하기 위해 Table 2와 같이 강수량 및 평균기온을 수치적으로 정리하였으며 관측값 대비 증감되는 양을 나타내었다. 계절별 강수량 변화는 여름철에 가장 크게 상승하며 겨울철에 가장 적게 상승하는 것으로 보인다. 또한, 기온의 상승은 모든 시나리오에서 가을철에 가장 크며 겨울~봄철에서 작게 나타난다.
Table 2. Annual average of precipitation and average temperature in 6-scenarios by future period
시나리오별 강수량은 S1과 S2에서 HadGEM2-ES가 관측평년강수량대비 각각 152.9 mm, 276.6 mm으로 가장 크며 S3에서도 CESM1-BGC에 이어 347.3 mm로 가장 큰 폭으로 상승한 시나리오임을 알 수 있다. 반면 INM-CM4의 강수량은 S1에서 관측평년보다 감소한 FGOALS-s2에 이어 +36.4로 가장 적게 상승한 것으로 보이며 S2, S3에서는 관측평년대비 각각 55.2 mm, 37.8 mm 상승한 것을 확인할 수 있다.
시나리오별 평균기온의 경우 HadGEM2-ES에서 전 구간 기온이 평년과 비교하여 +1.8℃, +3.7℃, +5.8℃로 큰 폭으로 상승한 것을 확인할 수 있으며 반면 INM-CM4에서는 기온이 평년과 비교하여 +1.0℃, +1.7℃, +2.7℃로 다른 시나리오에 비해 가장 적게 상승한 것을 확인할 수 있다.
3. 결과 및 고찰
3.1 회귀식과 기후변화 시나리오 자료를 이용한 미래 저수율 전망
본 연구에서는 미래 저수지가뭄지수 산정에 앞서 6개의 극한기후변화 시나리오를 이용하여 미래 농업용 저수지 저수율을 산정하였다. 미래 농업용 저수지 저수율 산정을 위해 예측정확도 검증이 완료된 KMA (2018)의 회귀식을 이용하여 3개월 자료기반 저수율 자료를 생산하였다.
기상학적 가뭄지수인 SPI의 경우 1개월, 3개월 6개월 등의 입력 데이터의 지속기간을 분석 목적에 따라 자유로이 설정할 수 있다. 그러나 농업용 저수지는 일반적으로 봄철의 농업용수 수요가 가장 큰 이앙기(5~6월)전까지 만수위를 유지하다가 이앙기를 거치면서 급감하고 장마시기(6~7월)을 기점으로 다시 올라가며 추수기(9~10월)를 지나면서 급감하고 이후 담수시기(10~12월)에 회복하는 W 모양의 패턴을 나타낸다(Ahn et al., 2007; Kim et al., 2017). 작물의 생육시기에 따라 달라지는 저수율 패턴을 3개월 이상의 장기적인 자료를 이용하여 예측하기가 어렵다고 판단되어 본 연구에서는 농업용 저수지의 용수이용 패턴을 고려하기 위해 지속기간 3개월에 대한 농업용 저수지의 저수율을 산정하였다.
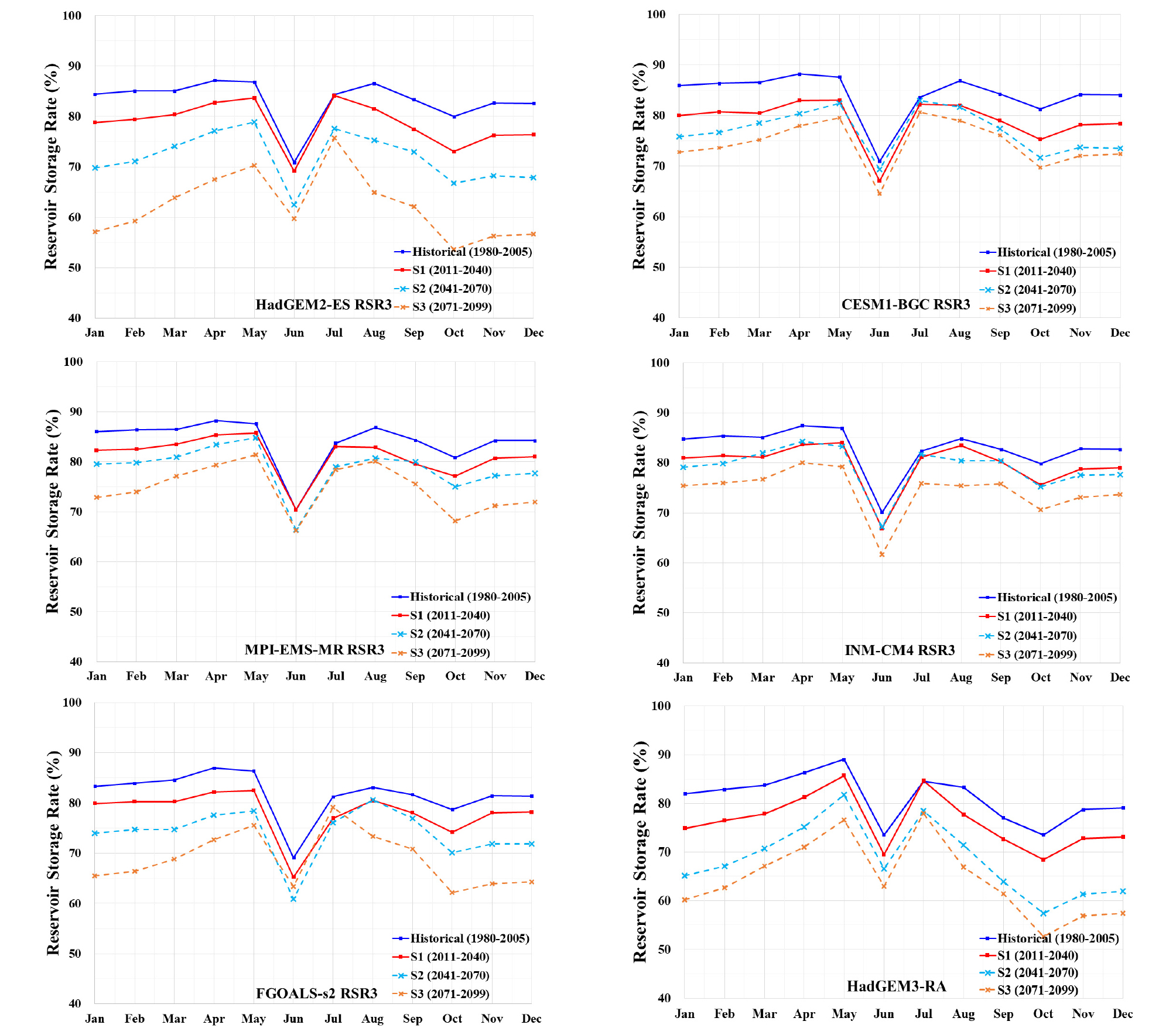
Fig. 4는 RSR3의 시나리오별 저수율의 월별분포를 도시한 것으로, 시나리오별 예측 저수량을 각 평가기간에 따라 다른 색상의 실선으로 도시하였다. 3개월 자료기반 회귀식을 이용한 미래 저수율 RSR3은 이앙기가 시작되기 전까지 가장 높은 저수위를 유지하는 것과 4~5월 이후 저수율 감소 추세를 잘 표현하는 것으로 분석되었다. 감소된 저수율은 6~9월 장마와 태풍으로 인해 저수율이 회복된 후 다시 감소하여 추수기 이후에는 저수율이 회복되어 이앙기 이전까지 저수율이 유지되는 것으로 분석되었다.
앞서 Fig. 3에서와같이 기상인자의 변동폭이 가장 크게 나타났던 HadGEM-ES 시나리오의 RSR3은 겨울철의 저수율 감소 패턴이 가장 두드러지게 나타났으며, 기상인자의 변동폭이 가장 작았던 INM-CM4 시나리오의 RSR3은 다른 4개의 시나리오에 비해 겨울철의 저수율이 적게 감소한 것으로 분석되었다.
Table 3은 RSR3에 대한 모든 기후변화 시나리오와의 비교분석을 위해 계절별 및 평가기간별 평균저수율을 정리한 것으로, 관측값(Observed)과의 비교를 위해 시나리오에 해당하는 값마다 관측값 대비 증감되는 정도를 나타내었다. Historical에 대한 평균저수율이 관측기반 평년 평균저수율보다 +3.3~+5.5%로 증가하게 되며 가까운 미래인 S1 구간에서는 –0.6~+2.1%의 분포를 보였고, S3 구간에서는 –4.5~–17.1%로 저수율 감소폭이 커진다. 이는 강수량이 적은 해에 큰 폭으로 감소한 저수율이 다음 월 회귀식의 인자로 들어가면서 이월되어 나타난 결과로 판단된다.
Table 3. Changes in meteorological and RSR with extreme climate change scenario
계절별로는 모든 시나리오에서 겨울철(12~2월)에서 극심하게 나타나며 가을(9~11월), 봄(3~5월), 여름(6~8월) 순으로 감소율이 뚜렷한 것을 확인할 수 있었다. 봄철의 경우 4월 최고저수율을 대체적으로 따라가지 못하지만 5월의 이앙기로 감소해야 하는 저수율을 예측하지 못해 차이가 줄어든 것으로 판단된다. 여름철의 경우 이앙기부터 이어져 최소저수율을 가진 6월에서는 대부분 평균값보다 낮지만 7~8월의 강수량 증가로 인해 저수율을 과다하게 산정하게 되어 평균 차이가 낮아진 것으로 보인다.
겨울철의 경우 겨울철 모의의 불확실성으로 인해 가을철보다 오히려 저수율이 감소하며 겨울철에서 평년과 대비하여 감소폭이 가장 큰 이유는 증발산량과 강수량으로 미래 가뭄을 전망했던 Kim et al. (2013)의 결과와 같이 미래구간의 기온상승으로 인한 증발산량의 증가에 기인한 것으로 판단된다. 또한, 농업용 저수지는 수확기가 지난 가을철부터 이듬해 이앙기까지 10~3월에는 담수시기로써 저수율을 회복된다는 관점으로 봤을 때 여름철에서 가을철로 넘어갈 때의 저수율 감소폭이 가을철에서 겨울철로 넘어갈 때의 감소폭보다 더 크며, 가을철의 저수율 감소 현상이 담수시기에도 회복이 되지 못해 나타나는 겨울철 저수율 감소의 영향으로 유추할 수 있다.
저수율의 감소폭은 HadGEM2-ES가 큰 폭으로 감소하였으며, INM-CM4가 가장 작은 폭으로 감소하였다. HadGEM2-ES 시나리오는 강수량의 변화가 큰 폭으로 상승함에도 불구하고 최고 및 최저기온의 상승량도 가장 큰 것으로 인해 저수율의 감소가 가장 큰 시나리오로 판단되며, CESM1-BGC 시나리오는 강수량의 변화는 S1, S2, S3로 갈수록 커지지만, 최고 및 최저기온의 상승량은 HadGEM2-ES보다 크게 약 2℃ 적게 상승함에 따라 저수율의 감소폭 또한 HadGEM2-ES보다 확연히 줄어든 것을 확인할 수 있다. MPI-ESM-MR의 경우 S1과 S2의 강수 증가량은 같으며 S3에서 최대를 보이는 반면 최고 및 최저기온의 상승량은 S1, S2, S3로 갈수록 커지며 이에 따라 강수량의 큰 차이는 없었지만, 기온이 상승한 S2구간이 S1구간보다 평균저수량이 감소하였으며 S3구간에서 가장 작은 것을 확인할 수 있다. INM-CM4 시나리오의 경우 강수의 증가량은 평년과 비슷한 정도로 상승하였고, 최저기온 상승량이 최고기온 상승량보다 두드러지게 크게 나타났으며, 이에 따라 저수량의 감소율이 모든 시나리오에 비해 가장 작은 것으로 분석되었다. FGOALS-s2의 경우 S1에서 평균기온은 상승하지만, 평균강수량이 관측값보다 감소하여 절대적인 강수량이 적어 가장 작은 저수율을 가진 것으로 나타났고 S2, S3에서는 평균강수량은 증가하나 최고 및 최저기온의 증가로 HadGEM2-ES 다음으로 가장 큰 저수량 감소가 나타났다. HadGEM3-RA의 경우 여름과 가을철 강수량 감소, 기온상승, 겨울철과 봄철에 강수량 증가, 여름철에 비해 작은 상승 패턴이 나타남에 따라 HadGEM2-ES 다음으로 저수율 감소폭이 가장 큰 것을 확인할 수 있다.
즉, HadGEM2-ES 시나리오는 Kim et al. (2018b)에서 강수량의 증가로 인해 습윤한 시나리오로 평가되었음에도 기타 시나리오의 평년보다 저수율의 감소율의 영향이 적어지는 경향이 있으며 이는 집중호우 한계점 및 지속기간 5일 최대 강수량 등의 국지적, 단기적인 불규칙한 강우로 발생한 것이며, 평년기온 증가율이 클수록 증발산량의 증가로 인해 강수의 상당 부분 증발되고 이러한 증발은 농업용 저수지에도 영향을 미쳐 농업가뭄에 대한 위험도가 증가하는 것으로 판단된다(Kim et al., 2013). 반면, INM-CM4 시나리오는 모든 구간에서 강수량 자체의 상승은 관측평년과 차이가 크지 않지만, 평균기온의 상승으로 저수율이 감소하며 모든 시나리오에서 가장 낮은 기온 상승으로 증발산량 감소의 경향을 보여 저수율 감소가 가장 작은 것으로 판단된다.
누적되는 이월현상을 제거하고 실질적인 저수율의 변동폭을 확인하기 위해 Fig. 5와 같이 1월의 초기 저수율을 실측저수율의 초기 저수율 값으로 고정시키고 변동폭을 확인하였다. 실측저수율과의 비교를 위해 실측저수율을 회색배경으로, 모의한 저수율을 실선으로 도시하였다. 그 결과, HadGEM2-ES 및 MPI-ESM-MR, FGOALS-s2에서는 미래로 갈수록 시기별 저수율의 변동폭이 훨씬 커지지만 INM-CM4 및 CESM1- BGC에서는 저수율 시대구간별 변동폭이 거의 일정한 것을 확인할 수 있다.
즉, Figs. 4 and 5를 종합적으로 판단해보면 시나리오별로 연속모의를 하였을 경우는 미래 가을철(9~11월)에서 큰 기온상승과 겨울철(12~2월) 기온상승 대비 강수량 증가의 약세로 Fig. 3과 같이 미래로 갈수록 초기저수율(1월)에서 최종저수율이 5~10%씩 회복되지 않은 상태로 이월(carry over) 되는 현상을 보여, 미래에는 여름에서 가을로 넘어가는 시기의 저수지 운영이 중요할 것으로 판단된다.
이는 미래에는 기후변화 영향으로 저수지 수혜구역의 필요수량 공급에 취약한 방향으로의 미래 저수율 상태를 보여주고 있는바, 벼 재배 적정 담수심의 조정, SRI 재배기법의 도입 시행, 저수지 간 연계, 양수장 간의 연계, 저수지-양수장-담수호 간 연계 등 농업용수 이용체계 재편, 수혜면적의 정책적 조정 등을 통한 저수율 확보방안이 요구된다.
3.2 지속기간별 저수지가뭄지수 산정
본 연구에서는 미래 가뭄 사상의 정량적인 비교를 위해 예측된 농업용 저수지 저수율(RSR3)을 이용하여 저수지가뭄지수(RDI)를 생산하였다. 시나리오별로 전국 3,067개 관측소에 대한 평균 RDI를 이용해 RDI3를 Fig. 6과 같이 나타내었다. 시나리오가 진행됨에 따라 미래 평균저수율의 변화가 가장 심했던 HadGEM2-ES와 가장 적었던 INM-CM4 시나리오의 전국평균 RDI 변화를 나타내었으며 심한 가뭄을 나타내는 절단수준(RDI≤–0.25)의 값을 도시하였다.
Historical 구간에서 HadGEM2-ES는 2회의 심한 가뭄을 보였지만 S1, S2, S3에서는 각각 3회, 6회, 8회의 극한 가뭄이 나타났으며 INM-CM4에서도 Historical 구간에서는 한번도 나타나지 않았지만 S1, S2, S3에서 3회, 1회, 5회로 증가하여 나타났다. 특히 절단수준 이하로 떨어지는 해가 많이 없는 INM-CM4와 달리 HadGEM2-ES는 미래로 증가할수록 절단수준 이하의 RDI3 값을 가지는 해가 크게 증가하는 것으로 나타났다.
3.3 저수지가뭄지수를 통한 가뭄사상 분석
RDI3를 통해 가뭄사상을 구한 뒤, 모든 가뭄사상에 대한 누계값을 Table 4와 같이 정리하였다. 시나리오가 진행됨에 0.0~–0.8 정도로 나타났던 가뭄의 규모가 S1에서는 –0.1~–3.2로, S2에서는 –0.3~–5.5, S3에서는 –1.8~–11.6까지 나타났으며 Historical 기간에 비해 전체적으로 크게 증가한 것을 알 수 있다. 또한, 앞서 설명했던 HadGEM2-ES와 INM-CM4의 가뭄사상 변화가 다른 시나리오와 확연히 구별되는 것을 확인할 수 있다. 다만, 저수율을 평년과 비교하여 나타내는 저수지가뭄지수 특성상 저수율이 특정값 미만이 되면 –값이 비이상적으로 커지는 경향이 있으며, 이로 인해 가뭄사상이 많이 발생되는 HadGEM2-ES의 S3구간에서 최대 –20에 달하는 가뭄이 발생하여 절대적인 값 비교가 많이 부족해진다. 또한, 전국평균에 대한 값은 시나리오별 일정 패턴의 변화에 대한 설명이 가능하지만 3,067개 중 가뭄에 대한 대비가 체계적으로 되지 못하는 소규모 저수지에 대한 정보도 평균화되며, 가뭄이 국부적으로 발생한 경우에는 그 평균값의 의미가 많이 퇴색된다.
Table 4. Cumulative drought history through the national average RDI by duration
따라서 가뭄사상에 대한 지역적인 비교가 요구되며 이를 위해 Lee et al. (2018)에서 사용된 행정구역별 9개의 대표저수지를 대상으로 RDI3를 이용한 가뭄사상에 대한 정보를 나타냈다. 가뭄사상에 대해 극대값을 나타내었던 HadGEM2-ES와, 극소값을 나타내었던 INM-CM4의 두 시나리오의 RDI3을 통한 각 구간별 가뭄 이벤트의 지속기간과 심도를 Fig. 7과 같이 나타내었다. 미래구간에 따라 S1은 동그라미, S2는 사각형, S3는 삼각형으로 표식을 달리하였고 각 미래구간별로 최대 가뭄규모의 수치를 따로 나타내었다.
전체적으로 RDI3에서 INM-CM4에서는 지속기간 15개월의 가뭄 이벤트가 나타나는 반면 HadGEM2-ES에서는 지속기간 35개월에 달하는 가뭄 이벤트가 나타나며, 심도는 INM-CM4에서 –10이내의 값, HadGEM2-ES에서 –25이내의 값을 보였다.
HadGEM2-ES 시나리오에서 RDI3를 통한 가뭄 최대규모가 S1 구간에서 –0.34~–0.61의 분포임에 반해 S3에서 –0.90~–1.48로 2~3배 증가한 것을 확인할 수 있으며 S3에서 최대 지속기간 및 최대 심도를 가지는 것으로 나타났다. 구간별로는 S1에서는 전남지역의 구시저수지에서 –0.61로 최대규모의 가뭄이 나타나고, S2에서는 경기지역의 금광저수지 및 금주저수지의 가뭄수치가 각각 –1.06, –0.99로 가장 높으며, S3에서는 전라남도 구시저수지 및 충청남도의 계룡저수지에서 각각 –1.48, –1.30으로 최대규모의 가뭄이 나타나 기후변화로 인한 중부 및 호남지역의 가뭄취약성을 확인할 수 있다.
INM-CM4 시나리오에서는 대체적으로 S3에서 최대 지속기간을 가지나 최대심도는 S1~S3의 다양한 미래기간에서 나타났다. 구간별로는 S1에서 경남지역의 옥천저수지 –0.42의 규모를, S2에서는 전남 구시저수지~충남 계룡저수지까지 각각 –0.38~–0.41의 최대규모 가뭄이 나타나며 S3에서는 경상도지역의 오로저수지 및 옥천저수지에서 각각 –0.41, –0.42의 최대규모의 가뭄을 보여 기후변화로 인한 남부지역에서 가뭄 규모가 커지는 것으로 분석되었다.
두 시나리오 모두 Kim et al. (2013)의 선행연구와 비슷한 결과로 경남 및 전남 등의 남부지역 최대규모 가뭄을 예측하였고, 최근에도 중부지역보다 남부지역의 강수량이 평년대비 약 50~60%임을 감안했을 때 기후변화로 인한 남부지역의 상호 물 공급체계 시스템을 통한 효과적인 가뭄관리가 이뤄져야 할 것이라 판단된다(Gwak et al., 2018).
4. 요약 및 결론
본 연구에서는 가뭄지속기간 별 가뭄사상을 분석하여 한반도의 가뭄특성을 평가하기 위해 기상관측소 및 3,067개의 농업용 저수지의 관측 데이터로 산정된 3개월 자료기반 저수율 회귀식을 이용하였고, 회귀식에 APCC 및 기상청에서 제공한 6가지의 기후변화 시나리오를 적용하여 계산된 미래 농업용 저수율 데이터를 통해 저수지가뭄지수(Reservoir Drought Index, RDI)를 산정하였다. RDI를 통해 연속이론을 적용하여 –0.25의 절단수준을 선정하였고 미래구간을 S1 (2011~2040), S2 (2041~2070), S3 (2071~2099)로 나누어 가뭄사상인 가뭄의 심도, 가뭄의 지속기간, 가뭄의 규모를 산정하였다. 본 연구의 결과를 요약하면 다음과 같다.
1) 6가지의 기후변화 시나리오의 강수량 및 계절별 분포를 보면 대부분 시나리오에서 강수량 변화는 여름철에 가장 크게 상승하고 겨울철에 가장 적게 상승하며, 기온의 변화는 가을철에 가장 크고 겨울~봄철에 가장 작게 나타난다. 또한, HadGEM2-ES의 경우 강수량 및 기온변화가 가장 큰 시나리오이며 INM-CM4는 강수량 및 기온변화가 가장 작은 시나리오로 나타났다.
2) 3개월 자료기반 저수율(RSR3) 회귀식에 선행연구에서 사용되었던 6가지의 기후변화 시나리오 자료를 이용하여 미래 농업용 저수지의 저수율을 산정한 결과 계절별 감소폭은 겨울(12~2월), 가을(9~11월), 봄(3~5월), 여름(6~9월) 순으로 컸으나 여름철에서 가을철로 넘어갈 때의 평균저수율이 가을철에서 겨울철로 넘어갈 때보다 커 가을철에 감소한 저수율을 겨울철에 회복하지 못하는 것으로 나타났다. 이렇게 강수량이 적은 해에 큰 폭으로 감소한 저수율이 회복되지 않은 상태로 이월되어 미래구간에서의 저수율이 계속해서 낮아지는 현상을 보였다. 그러므로 미래에는 여름에서 가을로 넘어가는 시기의 저수지 운영이 중요할 것으로 판단된다. 또한, 시나리오별 저수율에서는 S2, S3 구간에서 HadGEM2-ES에서 저수율의 감소가 가장 컸으며 INM-CM4의 저수율 감소가 가장 작은 것으로 분석되었다. 이는 HadGEM-ES가 강수량이 증가하지만 국지적이고 단기적인 강우이며 평균기온의 증가로 인한 증발산량 증가의 영향으로 인해 저수율 관리의 어려움을 미쳐 농업가뭄 위험도가 증가하는 것으로 생각된다.
3) RSR3의 월 저수율 패턴을 비교 분석한 결과 RSR3는 담수시기인 10월부터 이어지는 겨울철의 저수율 패턴을 잘 따르는 것으로 나타났다. RSR3은 겨울, 가을, 봄, 여름철로 저수율 감소를 나타내었고 이는 미래 가을 및 겨울철의 기온상승으로 인한 증발산량 증가의 영향이 큰 것으로 판단된다.
4) 미래 가뭄 사상의 정량적인 비교를 위해 RSR3를 이용하여 RDI3를 산정하였고 저수율 감소의 현상이 뚜렷한 HadGEM2-ES와 INM-CM4의 시나리오를 이용한 가뭄사상의 지역적인 비교를 위해 행정구역별 9개의 대표저수지를 대상으로 가뭄의 심도, 지속기간, 규모를 산정하였다. 저수율 감소 현상이 뚜렷한 HadGEM2-ES에서 RDI3의 가뭄사상 분석 결과 S3에서 최대 35개월 지속기간 및 –25의 최대심도의 값을 가지며 S1 구간에서 –0.34~–0.61의 분포를 보였던 가뭄규모 값이 S3에서 –0.90~–1.48로 최대 3배까지 증가한 것으로 나타났다. INM-CM4에서는 S3에서 최대 15개월의 가뭄 지속기간을 가지며 가뭄의 최대 심도는 S1~S3에서 지역적으로 다르게 나타나지만 가뭄의 지속기간이 S3로 갈수록 최대 15개월까지의 가뭄 지속기간이 나타났다. 또한, 두 시나리오에서 전남 및 경남 즉, 남부지역의 가뭄취약성을 예측하였으며 이를 통해 남부지역의 효율적인 가뭄관리가 필요할 것이다.
본 연구에서는 미래 농업가뭄의 변화를 전망하기 위해 사용되는 저수지가뭄지수에 대해 3개월 지속기간의 미래 기후변화 시나리오를 적용하였다는 점에 의의가 있다. 이는 미래 극한 가뭄의 자연재해에서도 안정적인 농업용수를 공급하기 위한 의사결정 자료로 활용될 수 있을 것이라 판단되며 다른 가뭄지수들과 비교분석하게 된다면 더욱 설명력 있는 자료가 될 것이라 생각된다.
다만, 저수율 회귀식에서 저수지의 저수율을 모의하기 위해 중요한 요소인 증발산량 및 일조시간의 추정을 위해 기온계수를 모두 사용함으로써 발생하게 되는 다중공선성 문제의 해결과 저수지가뭄지수의 특성상 저수율이 특정값 미만이 되면 비이상적으로 값이 커지는 경향성의 해결 및 소규모 저수지에서의 예측정확도를 상승시키기 위한 규모별 저수지에 대한 다른 분석 등의 추가적인 연구가 필요하며 이를 통해 더 객관적인 미래 농업가뭄 예측이 가능할 것으로 판단된다.









