1. 서 론
2. 분석 자료 및 방법
2.1 대상 지역
2.2 강우자료(KMA HSR Radar data / GEO-KOMPSAT -2A)
2.3 Sentinel-1A SAR 후방산란계수 처리
3. 원격탐사 자료를 활용한 다중선형회귀 모형 기반 시공간 토양수분 추정
4. 토지 유형을 고려한 토양수분 모형 검증 및 논의
5. 결 론
부 록
1. 서 론
최근 기후 변화의 영향으로 극한 호우(Extreme Rainfall)의 빈도와 강도가 증가하면서, 이에 따른 재해 위험성이 심화되고 있다. 극한 호우는 단순한 홍수나 침수 피해를 넘어, 토사 지반의 함수율을 급증시키고 지지력을 급격히 저하시키는 중요한 인자로 작용한다(Bang and Lee, 2022; Abramson et al., 1996). 이러한 지반의 취약화는 궁극적으로 제방 붕괴, 하천 범람, 그리고 산사태 발생 가능성을 동시에 높이는 직접적인 원인이 된다. 따라서 극한 호우 환경 하에서 지반의 안정성을 평가하고 재해를 예측하기 위해서는, 지반의 취약성을 나타내는 핵심 변수인 토양수분의 시공간적 변동성을 정확하게 파악하는 것이 필수적이다.
현재 토양수분 관측 방법은 크게 지점 관측과 위성 기반 원격탐사로 구분된다. 지점 관측은 중성자 프로브, TDR (Time Domain Reflectometry), FDR (Frequency Domain Reflectometry) 등을 활용하여 높은 정확도를 보장하나, 공간적 취약성과 유지관리 비용 문제로 광역 모니터링에는 한계가 있다(Skierucha and Wilczek, 2010; Mittelbach et al., 2012). 반면, SMOS (Soil Moisture and Ocean Salinity) 및 SMAP (Soil Moisture Active Passive)와 같은 위성 기반 센서는 단일 장비로 넓은 공간 영역에 대한 측정이 가능하며, 접근이 어려운 고립 지역에서도 자료 확보가 가능하다는 장점이 있다(Ahmad and Kim, 2019). 그러나 낮은 해상도와 한반도 지역에서는 복잡한 지표면 특성(예: 고도, 식생 밀도)으로 인해 낮은 정확도가 지속적으로 보고 되어 왔다(Kim and Kim, 2011; Gruber et al., 2016).
위성 기반 토양수분 추정 연구로는10 m 해상도의Sentinel 자료 활용 토양수분 추정연구가 활발히 진행되어왔으며, 또한 SAR자료 및 지점 선행 강우 정보를 바탕으로 토양수분을 추정한 선행 연구도 진행된바 있다(Le Hégarat-Mascle et al., 2002; Gherboudj et al., 2011; Jeong et al., 2023; Jung et al., 2017). 그러나 이러한 연구들은 지점 관측 강우자료에 의존하여 수행되었기 때문에, 제한된 공간 범위에서만 토양수분을 추정할 수 있다는 한계가 존재한다. 이에 본 연구에서는 이러한 공간적 제약을 극복하기 위해 원격탐사 기반 강우 추정 자료(Radar HSR, GEO-KOMPSAT-2A)와 Sentinel-1 SAR 자료를 결합하여 광역 토양수분 공간자료를 산출하였다. 특히 관측망이 부족한 지역에서도 적용 가능한 모형 구축을 목표로, 원격탐사 기반 강우자료와 SAR 관측 특성을 다중회귀분석(Multiple Linear Regression, MLR)으로 통합하여 고해상도 토양수분을 추정하는 방법론을 개발하였다. 연구 대상 지역은 대한민국 충청도 일대로 선정하였으며, 이 지역은 최근 수년간 단기간 집중호우로 인한 하천 범람 및 제방 붕괴 사례가 반복적으로 발생한 바 있어, 제안된 모형의 적용성·일반화 가능성을 검증하기에 적합한 특성이 있다.
본 연구는 이러한 배경과 필요성에 기반하여, 제방 등 주요 시설물의 붕괴에 중요한 변수로 작용하는 토양수분 자료를 해당 시설물의 실시간 취약성 추정 및 안정성 평가에 효과적으로 활용할 수 있도록 고해상도 토양수분 자료를 생산하는 기법을 유도하는 것을 최종 목표로 한다
2. 분석 자료 및 방법
본 연구에서는 고해상도 원격 관측 자료의 다중 소스 융합을 통해 신뢰도 높은 토양수분 자료 추정을 목표로 수행되었다. 사용된 자료는 Table 1에 요약 제시되어 있다. 지표 물리 특성 및 수문학적 변화 감지를 위해 유럽우주국(European Space Agency, ESA)에서 2015년에 Sentinel-1A 를 발사하였으며, 탑재한C band의 VV 편파 후방 산란 계수(VV Backscatter coefficient) 자료는 10 m의 고해상도 자료로 지표 거칠기, 수분 변화 탐지(홍수 범람 지역, 토양수분)를 효과적으로 반영하는 특성을 가지고 있다(Cho et al. 2021; Torres et al., 2012; Joseph et al., 2008). 자료 분석 및 모형 개발은 2020년 1월부터 2025년 6월까지 총 6년 6개월 기간동안 수행하였으며 동절기(11월~2월) 기간은 토양의 동결로 인하여 정확한 수분함량 측정이 불가함으로 동절기는 제외되었다. 토양수분 변동에 가장 주요한 영향을 미치는 강우 인자를 정확도를 확보하기 위하여 두 가지 독립적인 원격 관측 자료를 수집, 상호 비교 및 검증을 수행하였다. 이외에도 지표 특성 및 토지 피복 정보를 고려하기위해 NASA MODIS 자료 (500 m)를 사용하여 자료 별 토지 유형을 분류 활용 하였다. 기준 토양수분 자료는 농촌 진흥청 국립농업과학원 (National Institute of Agricultural Sciences) 기상 자료 포털 (https://weather.rda.go.kr/weather/obsrDataDwnld.do)에서 지중 10 cm 깊이에 설치된 TDR 기반 관측 토양수분 지점 자료를 활용하였다. 이를 바탕으로 다중 선형 회귀 모델을 구축하여 토양수분을 추정하였으며, 실측 자료를 통해 모델의 정확도를 평가하였다.
Table 1.
The data used in this study
2.1 대상 지역
극한 호우는 홍수나 침수 피해 외에도, 토사 지반의 함수율 급증과 지지력 저하를 초래하여 제방 붕괴, 하천 범람, 산사태 발생 가능성을 동시에 높이는 중요한 인자이다(Bang and Lee, 2022). 본 연구의 목표는 제방 등의 붕괴에 중요한 변수로 작용하는 토양수분 자료를 제방 등의 실시간 취약성 추정에 활용할 수 있도록 시공간적으로 고해상도의 토양수분 자료를 생산하는 기법을 유도하는 것이다. 따라서 본 연구에서는 이러한 기법을 유도하고 그 적용성을 검증하고자 2025년 폭우로 인해 피해가 컷 던 충정남도 서북부 지역을 선정하였다 (Fig. 1). 더불어 피해 이력 외에도 원격탐사 자료 기반의 토양수분 추정 기법의 적합성 검증을 위해서는 지상 관측 강우자료와 관측 토양수분 자료도 반드시 필요하다. 이에 본 연구에서는 위성 및 원격 관측 강우 자료와 지상 관측 자료가 모두 확보가 가능한 N35°35'-36°00' 그리고 E127°20'-127°45')의 범위를 분석 대상 지역으로 선정하였다.
2.2 강우자료(KMA HSR Radar data / GEO-KOMPSAT -2A)
본 연구는 관측 자료가 없는 다양한 지역의 고해상도 토양수분 추정 기법의 개발을 목표로 하고 있다. 다양한 연구 결과에서 토양수분과 강수량과의 관계는 매우 밀접한 상관을 보인다(Sunwoo et al., 2014; Kim et al., 2024). 그러나 AWS 와 같은 지상 관측 정보는 지점 관측을 하기 때문에 고해상도의 토양수분 추정에 활용하는데 한계가 있다. 따라서 본 연구에서는 시공간 강수 관측이 가능한 기상청의 정지 궤도(GEO- KOMPSAT-2A) 자료와 합성 레이더(HSR)의 강우강도(Rainfall Intensity) 자료 사용하였고, 지상 강수 자료는 AWS 자동 기상관측망 자료를 기반으로 정확도 평가가 이루어졌다.
10분 단위 기상청 합성레이더(HSR) 강수 자료와 2분단위 정지궤도 위성(GEO-KOMPSAT-2A) 기반 강우강도 자료를 10분 간격으로 수집하여 이를 1시간 누적 강우로 환산, 2025년 7월 14일부터 7월 20일까지의 기록적 폭우가 내린 기간을 대상으로 정량적 정확도를 평가하였다(Fig. 2). 검증은 위성 및 레이더 자료의 충청지역 42개 지점의 AWS 지상 관측 지점과 최근접 지점 픽셀 뽑아 비교를 수행하였다. 시계열 및 상관도 분석에서는 임의로 선정한 5개 지점을 예시로 제시하였고(Fig. 3), 나머지 지점의 분석 결과는 부록에 제공하였다. 위성(GEO-KOMPSAT-2A) 기반 강수 추정 결과는 지점 관측값에 비해 전반적으로 강우량이 과소추정되는 경향을 보였다. 또한 위성 기반 강수 추정은 실제 강우가 시작되는 시점과 완전히 일치하지 않고, 다소 시차를 두고 탐지하거나 강우가 발생하지 않았음에도 강우로 오탐지, 강우가 발생하였음에도 탐지하지 못하는 경향이 다수 나타남을 확인할 수 있었다(Fig.3 Time-series). 이는 위성 강수가 밝기온도와 구름 특성에 근거한 강우강도 조견표를 이용해 산정되기 때문으로 낮은 정확도가 발생하는 것으로 추정된다. 천리안 위성의 강우강도의 경우 구름의 밝기온도, 상부 고도 및 구름 유형을 분류하고, 각 유형별로 사전에 계산된 강우 확률 분포를 적용하여 강우강도를 추정하는 방식이다(KMA, 2021; Cheon et al., 2019; Choi et al., 2018). 이러한 경험적 산출 방식으로 인해 추정 가능한 최대 강우강도가 46.5 mm h-1을 초과하지 못하므로, 실제 강우가 집중되는 구간에서는 강우량이 감소 추정되는 것으로 판단된다.

Fig. 3.
Validation results for the Chungcheong region (July 14–20, 2025): Scatter plots and time-series comparison and of rainfall amounts from HSR Radar (a) and GEO-KOMPSAT-2A (GK2A) (b) against AWS observations for (i) Hongseong (610), (ii) Dangjin (616), (iii)Yesan (628), (iv) Seobu (645), (v) Wonhyobong (694)
한편, 레이더 강우 자료 역시 일부 지점에서 관측값에 비해 다소 과소추정되는 경향을 보였으나, 강우의 발생 시점과 강도가 전반적으로 양호하게 재현하였다. 이는 레이더 강수가 실제 강우의 시공간적 변동성을 반영하는 데 상대적으로 안정적인 성능을 가진다는 점을 시사한다.
통계적 평가 지표로 평균절대오차(MAE), 평균제곱근오차(RMSE), 결정계수(R2)를 선정하여 평가하였을때(Table 2), 대표 지점의 결과를 살펴보면, 당진(616) 지점에서 레이더 자료의 MAE와 RMSE는 각각 0.77 mm, 1.69 mm로 위성자료(1.21 mm, 3.19 mm)에 비해 낮고, R2 값도 0.93으로 위성자료의 0.01보다 현저히 높았다. 예산(628) 지점 역시 레이더 R2가 0.87로 위성의 0.005보다 우수하였다. 서부(645) 및 원효봉(694) 지점에서도 레이더 자료가 각각 R2=0.92, 0.93으로 높은 상관성을 보였다. 전체 42개 지점의 평균값 기준으로도 레이더 강수의 MAE=1.52 mm, RMSE=3.68 mm, R2=0.70으로, 위성 강수의 MAE=1.86 mm, RMSE=4.54 mm, R2=0.14에 비해 전반적으로 정확도가 높았다. 이는 레이더 기반 강수 추정이 위성 강수 추정보다 지상 관측과의 일치도가 높고, 단기 강수 변화에 대한 재현성이 우수함을 의미한다. 따라서 본 연구에서 고해상도 토양수분 추정에 레이더 강수량 자료를 활용하고자 한다.
Table 2.
Comparative validation results for 42 points in Chungcheong regions using HSR radar (Left) and GEO-KOMPSAT-2A (Right)
2.3 Sentinel-1A SAR 후방산란계수 처리
본 연구에서는 Sentinel-1A 위성의 C-밴드 합성개구레이더(Synthetic Aperture Radar, SAR) 자료를 활용하여 연구 대상 지역의 지표면 후방산란계수(σ0)를 산출하였다. 사용된 자료는 유럽우주국(European Space Agency, ESA)의 Copernicus Open Access Hub에서 제공하는 Level-1 Ground Range Detected (GRD) 제품이며, 전처리 과정은 ESA의 Sentinel Application Platform (SNAP)을 이용하여 수행하였다(Fig. 4). 궤도 보정(Apply Orbit File)을 통해 영상의 위치 정확도를 향상시켰고, 열 잡음을 제거하여 후방산란계수 산출의 신뢰성을 확보하였다. 이후 DN (Digital Number) 값을 방사 보정 계수를 이용해 후방산란계수(σ0, dB)로 변환하고, 서로 다른 관측 시점 간 방사 특성을 표준화하였다. 이어서 SAR 영상의 잡음을 최소화하여 수치 분석에 적합한 형태로 변환하였다. 또한 지형 왜곡 보정을 위해 SRTM 30 m 수치고도모델(DEM)을 적용하였으며, WGS84 좌표계로 재투영하였다. 최종적으로 전처리가 완료된 SAR 영상은 연구 대상 지역에 자른 후 저장되어, 다중선형회귀(MLR) 모형 구축 및 토양수분 추정에 활용되었다. 본 절차를 통해 Sentinel-1A 원시 자료에서 발생할 수 있는 오차를 보정하여, 보다 신뢰도 높은 후방산란계수(σ0, dB)를 확보할 수 있었다.
3. 원격탐사 자료를 활용한 다중선형회귀 모형 기반 시공간 토양수분 추정
앞서 언급하였듯이 토양수분과 강수량과의 관계는 매우 밀접한 상관을 가지고 있다. 그러나 토양수분은 토지의 피복 상태 등 다양한 환경 요인의 영향을 받기 때문에 단순히 강수량만으로 다양한 지역의 정밀한 토양수분 추정은 불가능하다. SAR의 위성 편파 정보는 토지의 피복 상태나 습윤 정도를 파악하는데 매우 유용한 변수로 활용된다. Fig. 5는 연구 기간 2020년 1월부터 2025년 6월까지 Sentinel 자료 관측 시점 기준 이전 1시간 누적 강우량과 Sentinel 자료의 상관관계를 나타낸다. 이를 통해 동일한 강수량이 내린 인근 지역간 토지 유형의 차이로 지표 특성이 달라지며, 이는 증발, 유출, 침투 등 지표수에 영향을 미쳐 토양수분에 직접적인 차이를 발생시킴을 확인할 수 있다.
이러한 결과는 정밀한 토양수분 추정을 위해서는 SAR 위성의 VV 편파 자료와 강수량 데이터 통합 활용 외에도, 토지피복 및 지형 특성의 변화를 반영하는 것이 필수적임을 시사한다. 이는 다양한 토지 환경에서 토양수분 모니터링의 정확도를 향상시키는 중요한 근거가 된다.
따라서, 본 연구에서는 레이더 강수량과 SAR VV 반사도를 주요 설명변수로 활용하여 토양수분 추정을 위한 다중선형회귀 모형을 구축하였다. 또한, MODIS 위성 토지 피복도 자료를 통해 토지 유형별 분류를 수행하고, 분류된 각 유형에 서로 다른 토양수분 추정식을 적용하여 정밀도를 높였다.
토양수분 추정식을 마련하기 위해, 강수의 누적 효과를 반영하여 1일, 2일, 3일 누적 강수량(Rain1d, Rain2d, Rain3d)을 각각 독립변수로 설정하여 시간 지연에 따른 영향을 세분화하였다. 강수량은 토양 내 수분 함량의 직접적인 공급원으로, 강수 직후부터 일정 기간 동안 토양수분에 영향을 미친다. 또한 강수 이후 건조 일수(DryDay) 변수를 추가하여, 강수 이후 증발·침투로 인한 수분 감소 효과를 함께 고려하였다. 또한 위성 VV후방산란 계수는 지표면의 거칠기와 수분 함량 변화에 민감하게 반응하는 변수로, 관측 시점의 토양 및 식생의 수분 상태를 실시간으로 반영한다. 따라서 VV는 관측 시점의 값을 그대로 사용하여 현 시점 토양 상태를 설명하도록 구성하였다. 이러한 관계를 반영하여 설정한 기본 다중선형회귀식은 다음 Eq. (1)과 같다.
여기서, Soil_M 는 토양수분(%), VV 는 Sentinel-1 SAR 후방산란계수(dB), Rain_1d와 Rain_2d, Rain_3d 는 1일, 2일, 3일 누적 강수량(mm) 그리고 DryDay 는 무강우일수 (day) 를 나타낸다.
Table 3은 본 연구에서 구축한 다중선형회귀(MLR) 모형의 계수를 토지 피복 유형별로 정리한 것이다. 모형은 토양수분 관측 지점 반경 500m 내의 Sentinel-1A 위성 기반 VV 후방산란계수(VV [dB])와 기상청 레이더 합성자료의 격자 평균으로 1일, 2일, 3일 누적 강우량, 그리고 연속 무강우일을 계산하여 독립 변수로 사용하였으며, 토양수분을 추정하도록 설계되었다. 각 독립 변수는 토양수분에 영향을 미치는 주요 요인을 대표하며, 특히 VV 후방산란계수는 표면 수분 상태를 직접 반영하고, 누적 강우량은 토양 내 수분 공급과 관련된 정보를 제공한다. 연속 무강우일은 수분 증발과 건조화 정도를 나타내는 지표로서, 토양수분 감소에 직접적인 영향을 미치는 것으로 나타났다.
Table 3.
Multiple Linear Regression (MLR) model coefficients for soil moisture estimation by land use type
| Land Cover Type | Const | VV [dB] | Rain1d | Rain2d | Rain3d | DryDay |
| Cropland | 61.04 | 4.171 | -0.093 | 0.005 | 0.065 | -0.37 |
| Grassland | 24.93 | 0.335 | -0.026 | 0.002 | 0.077 | -0.73 |
| Savannas | 64.92 | 4.280 | -0.092 | -0.006 | 0.067 | -0.62 |
토지피복 유형별 결과를 살펴보면, 농경지(Cropland)에서는 VV 후방산란계수와 3일 누적 강우량이 토양수분과 양(+)의 상관을 가지며, 연속 무강우일은 음(-)의 영향을 미치는 것으로 나타났다. 이는 농경지에서 표면 수분이 강우와 직접적인 관계를 가지며, 장기간 무강우 시 수분 손실이 발생함을 시사한다. 초지(Grassland)에서는 VV 계수 영향력이 상대적으로 낮고, 누적 강우량과 무강우 일수의 영향이 뚜렷하게 나타나 토양수분 변화가 강우 패턴과 무강우 지속일수에 의해 좌우됨을 보여준다. 이러한 분석을 통해 본 연구의 다중선형회귀 모형은 각 토지피복 유형별 특성을 고려하고, 특히 위성 기반 후방산란계수와 강우 자료, 무강우일수라는 간단한 변수만으로도 다양한 토지 환경에서 토양수분 변동을 추정할 수 있었다.
4. 토지 유형을 고려한 토양수분 모형 검증 및 논의
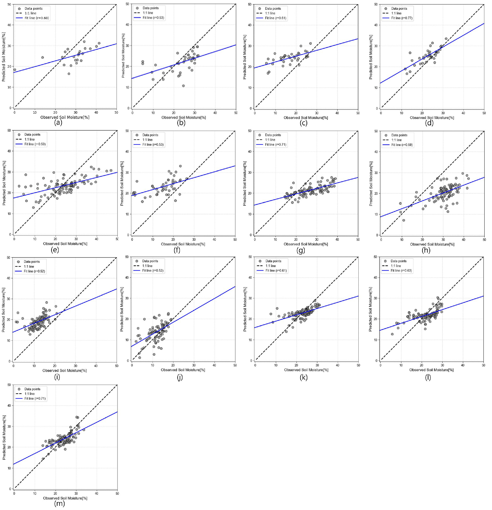
본 연구에서는 개발된 다중선형회귀(MLR) 모형을 활용하여 경작지, 초지, 사바나 등 세 가지 토지 피복 유형에 따른 토양수분을 추정했다. 모형의 성능 검증은 농촌진흥청 지상 관측 지점의 토양수분 자료를 활용하여 이루어졌으며, 총 13개 지점의 데이터를 분석에 사용했다. Fig. 6은 관측된 토양수분과 MLR 모형 추정값 간의 산점도를 나타내며, 모형의 선형 적합성을 시각적으로 보여준다. 산점도 분석 결과, 추세선이 1:1 선에 근접하여 모형의 기본적인 적합성을 확인할 수 있었다. 또한 피어슨 상관계수(R)는 13개 지점에서 최소 0.52에서 최대 0.78 범위, 평균 0.615로 나타났으며(Table 4) 지점별 실측 및 추정 토양수분의 시계열 비교 결과를 보았을때, 급격한 토양수분 증가 구간이나 건조 기간의 점진적 감소 등 주요 수문 변동 패턴을 안정적으로 모의하여 모형이 토양수분의 시간적 변동성을 전반적으로 잘 재현함을 보여준다(Fig. 7). 하지만, 일부 지점에서는 과대 또는 과소 추정 경향이 나타났으며, 이는 지상 관측의 깊이(10 cm)와 Sentinel-1 SAR(C-band)의 전자파 투과 깊이(약 3~6 cm) 사이의 물리적 관측 심도 차이로 인해 10 cm 토양층 전체의 체적수분 함량을 완전히 대표하는 데에는 한계가 존재함을 의미한다. 또한, 농진청 토양수분 관측망이 대부분 농지 및 초지 인근에 위치하여 제방 지역의 토양 특성 및 수문 조건을 충분히 반영하지 못하는 구조적 제약으로 판단된다. 따라서 이러한 한계를 보완하기 위해서는 수문 재해 발생 환경을 고려한 검증 자료의 추가 확보와 이를 기반으로 한 후속 연구가 필요하다고 판단된다.
Table 4.
Summary of Overall Validation Results for Soil Moisture Estimation across Different Land Cover Types
본 연구 결과는 원격탐사 기반 자료(SAR·레이더)를 통합 활용할 경우, 지상 관측망이 부족한 지역에서도 토양수분의 시·공간 변동성을 높은 신뢰도로 추정할 수 있음을 보여준다. 향후 연구에서는 제방 지역에 특화된 검증 자료 확보와 더불어, 인공지능 기반 기법 및 다양한 주파수대의 SAR 센서(L-, S-, X-band)의 융합 활용을 통해 모형의 정확도와 적용성을 더욱 확장할 필요가 있다.
5. 결 론
본 연구에서는 강수 자료의 신뢰성을 검증하기 위해 기상청 천리안위성(GEO-KOMPSAT-2A)자료와 합성 레이더(HSR) 강수자료의 비교 분석을 수행하였다. 그 결과, 레이더 강수 자료는 천리안위성 관측 자료와 전반적으로 높은 일치도를 보였으며, 강수 이벤트 발생 시 시·공간적 패턴을 적절히 반영함을 확인하였다. 이를 바탕으로 Sentinel-1A SAR 후방산란계수, 레이더 누적 강우량 및 연속 무강우일수를 활용하여 다중선형회귀(MLR) 모형을 통해 고해상도 토양수분 자료를 생산하고자 하였다. 분석결과, 레이더 강수량과 Sentinel 위성의 VV 후방산란계수가 토양수분 추정에 주요한 설명 변수임을 확인하였으며, VV 편파 자료는 지표 특성 및 지표 수분 함량에 민감하게 반응하는 것으로 나타났다. 또한 토지 유형에 따라 두 변수와 토양 수분 간의 상관관계가 상이하게 나타나, 본 연구에서는 토지 이용 별로 구분하여 회귀 모형을 개별 산출함으로써 추정 정확도를 향상시켰으며 이를 통해 지상관측이 제한된 지역에서도 토양수분의 시·공간적 변동을 반영할 수 있도록 하였다. 결과적으로 우리나라 전국 관측은 물론 고해상도의 토양수분 자료를 일년 전기간에 대해 연속 생산이 가능하여 이는 향후 농업용수 관리, 수문재해 대응, 산사태 전조 증상 탐지 등 다양한 응용 연구에 기초 자료로 활용될 수 있어 매우 활용성이 높다고 판단된다. 더불어 강수량과 토지이용을 고려하기 때문에 향후 미래 강수량 변화과 토지이용 변화를 고려한다면 미래 우리나라 전지역의 세밀한 토양수분 변화도 예측 가능하기 때문에 향후 기후변화 영향 분석에도 아주 중요한 정보로 활용이 가능함을 시사한다.









