1. 서 론
2. 실험 및 연구 방법론
2.1 BMP Test
2.2 이미지 분석
3. 결과 및 분석
3.1 BMP test 및 종단 속도
3.2 기포별 속도분포
3.3 속도분포계수 h50
3.4 기포 지름별 속도분포
4. 결 론
부 록
1. 서 론
수체에서 발생하는 메탄의 용출은 환경에 다양한 영향을 미친다. 메탄은 온실 가스 중 하나로, 메탄 배출량의 증가는 기후변화에 큰 영향을 미치며, 이러한 기포들이 수면으로 용출될 때 발생하는 소음이나 악취는 주변 지역 주민들의 삶의 질을 저하시킨다. 최근 기후위기로 인해 전세계적으로 메탄 발생의 원인이 되는 녹조의 발생빈도와 강도가 증가하고 있으며 국내의 경우 낙동강에서 녹조의 관측 사례가 빈번해지고 있다 (Wang et al., 2018; Ho et al., 2019; Lee and Kim, 2021). 이렇듯 증가하는 메탄 발생량을 줄이기 위하여 퇴적토의 구성성분 분석 등을 통한 연구가 주를 이루고 있으나 이는 주로 사전에 대비 및 평상시 관리를 하기 위한 연구 범위에 속하며 메탄 발생 직후 혹은 직전의 대응방안 마련을 위해서는 유체 내에서의 메탄 거동의 특성을 파악하는 것이 필수적이다. 일반적으로 유체 내에서의 기포 거동을 파악하기 위해, 과거부터 광범위하게 실험 기반 분석이 주를 이루고 있다. Hu and Kinter (1955)와 Aybers and Tapucu (1969)은 유체 내에서의 종단 속도와 수리학적 상관관계와 기포의 다양한 거동 형태에 대해 분석하였다. Wu and Gharib (2002)는 직경 0.1~0.2 cm 범위의 기포 상승에 관한 경로와 기포의 모양에 대한 실험을 진행하였으며 원형과 타원형 기포모양에 관한 특징을 제시하였다. Takagi and Matsumoto (2011)은 계면활성제의 흡탈착으로 인해 발생하는 기포의 거동에 대한 다양한 실험적 연구들을 종합 및 분석하였다. Kosior et al. (2023)은 1~2 mm 직경의 기포의 경우 30~40 mm 정도 용출 시 기포의 속도가 일정하다는 관측하였지만 단순히 일정해지는 위치만 대략적으로 제시하였을 뿐 구체적인 기포 용출 거동에 대한 분석은 진행하지 않았다. Liu et al. (2016)은 고속촬영장비를 통해 글리세린 수용액 내에서의 기포의 거동을 관측한 후 조건별 적합한 종단속도 예측모델을 제시하였다. 이와 같이 과거부터 광범위한 실험적 연구들이 진행되었지만 기포의 속도 분포의 데이터를 확보하거나 종단속도 예측에 관한 실험이 주를 이루고 있으며, 상승 속도 분포에 대한 관계 제시는 미비하다. 따라서 기포 거동에 관한 수치적 분포 분석을 위해 전산유체역학(Computational Fluid Dynamics, CFD) 기반의 거동 분석이 최근 활발히 사용되어지고 있다. Crha et al. (2021)은 정수압 상태에서의 유체 내 단일 상승 기포에 관한 거동과 모양 변형을 두가지의 상업모델을 활용하여 상업모델별 비교분석을 수행하였다. Eiswirth et al. (2011)은 실험적 결과와 CFD 내에서의 결과 비교를 진행하였으며 CFD 성능 향상을 위한 최적의 매개변수를 도출하였다. Islam et al. (2013)은 CFD를 통해 사다리꼴 영역에서의 기포의 속도가 기둥의 모양에 영향을 받는다는 사실을 발견하였다. 위의 선행연구에서 사용하고 있는 CFD를 활용한 기포의 거동은 대부분 Navier-Stokes 방정식을 기반으로 수행되고 있다. Navier-Stokes는 유체의 운동을 기술하는 주요 방정식 중 하나지만 비선형 편미분 방정식의 복잡한 형태의 한계로 인해 CFD를 활용하여 근사치를 구하는 방식을 취하고 있다. 이는 높은 계산 시간과 비용을 요구함과 동시에 높은 CFD의 진입 장벽을 극복해야만 기포 거동에 관한 결과를 도출할 수 있어 비효율성이 야기된다. 또한 CFD는 실험적 데이터와의 비교 검증 과정이 필수적이며, 모델링 과정에서 발생할 수 있는 오차가 결과의 신뢰성에 영향을 미칠 수 있다. 이에 반해, 본 논문은 실제 BMP (Biochemical Methane Potential) 실험을 통해 자연 발생된 기포 데이터를 활용하여 기포 속도 분포를 분석한다는 점에서 CFD 기반 연구와 차별성을 가진다. 본 연구는 실험적 데이터를 기반으로 물리적 지표만을 사용해 간소화된 모델을 제시함으로써, 기존의 CFD 기반 모델에서 발생할 수 있는 시간적·경제적 부담을 효과적으로 줄이면서도 실제 환경에 더욱 근접한 결과를 제공할 수 있다는 장점을 가진다. 따라서 본 연구의 간소화 모델은 CFD와 달리, 실험 데이터의 현실성을 바탕으로 실무에서 보다 손쉽게 적용 가능하며, 계산 시간과 비용 절감 측면에서도 효율적이라는 중요한 차별성을 강조한다. 이에 본 연구는 효율적인 의사결정과 다양한 조건에서의 데이터를 확보하기 위해 기포 거동에 관한 간소화 모델을 제시하고자 한다.
기포 발생을 위해 BMP test에 활용되는 시료를 사용하였으며 시료 내에서 자연적으로 발생하는 기포 용출을 촬영하였다. 이후 촬영된 기포의 거동을 Python 3.8을 기반으로 영상분석을 진행하였으며 속도 분포 데이터를 확보하였다. 비선형회귀분석과 차원해석을 통해 기포 거동의 높이별 속도분포를 제시하였다.
2. 실험 및 연구 방법론
기포의 용출시험의 경우 대부분 노즐을 통해 인공적으로 기포를 발생시켜 촬영을 진행한다. 하지만 인공적인 기포의 발생으로는 자연발생현상을 충분히 반영하기 어렵다. 따라서 자연상태에서의 기포의 발생을 재현하기 위하는 동시에 메탄거동에 대한 분석을 위한 BMP test를 수행하였다. 이후 BMP test의 메탄 형성 과정을 CCTV를 통해 실시간으로 관측한 후 메탄이 발생되는 순간을 카메라 장비를 통해 녹화하였으며 녹화된 영상을 Python 3.8 기반의 In-house Post Image Analysis Tool을 개발하여 이미지 분석을 진행하였다. 끝으로 이미지 분석을 통해 추출된 속도분포 데이터를 비선형회귀분석과 차원해석을 통해 기포별 속도분포모델을 도출하였으며 이를 기반으로 지름별 속도분포의 간소화 모델을 제시하였다(Fig. 1).
2.1 BMP Test
Owen et al. (1979)에 의해 처음으로 고안된 BMP test (Biochemical Methane Potential test) 는 최적의 메탄발생환경을 조성하여 메탄의 발생량을 측정하는 방법이다. BMP test를 위해서는 실험 환경에 따라 다양한 용량의 시험 용기를 사용하지만 본 실험에서는 오토클레이브를 통해 120°C 환경에서 살균 처리한 100 ml의 세럼 바이알을 사용하였다. 이후 산소가 없는 환경을 조성하기 위하여 N2 기체를 통한 퍼징(purging)을 수행하였다. 마지막으로 알루미늄 캡으로 밀봉한 시험용기를 35°C의 항온기에 보관하여 메탄을 생성하였다.
BMP test를 수행하기 위한 재료로는 크게 미생물을 위한 기질, 미생물 공급을 위한 식종액, 메탄을 생산하는 데 필요한 필수 영양소를 제공하는 영양배지로 이루어져 있다. 또한 온도, 농도 등의 조건은 실험재료와 환경에 따라 다양하게 설계되게 된다.
2.1.1 실험재료
본 연구에서는 자연상에서 가장 일반적이고 풍부한 유기화합물인 글루코스를(Glucose, C6H12O16) 기질로 사용하였다. 또한 호소에서의 대표적인 수질 오염 지표인 글루코스의 COD를 추정하기 위하여 HS-3700 수질측정기를 통해 글루코스 농도 ppm 당 COD ppm을 측정하였다. 이후 Eq. (1)과 같은 관계식을 산출하였으며 글루코스 300 ppm의 이론적 산소요구량인 ThOD=320 ppm과 일치함을 확인하였다.
여기서, Cp=COP ppm, Gp=글루코스 농도 ppm을 의미한다.
BMP test에서의 식종액의 종류는 실험의 목적 및 성격에 따라 다양하나 일반적으로 하수처리장의 소화 슬러지를 사용한다(Kim, 2007). 이에 본 연구에서는 BMP test를 위한 시료를 국내 하수처리장의 식종액을 통해 사용했으며 식종액의 조건은 유기체의 양을 나타내는 Volatile Solids (VS)를 이용하였다. 본 실험에서 사용된 하수처리조의 식종액의 경우 19,000±250 ppm 정도의 농도로 측정되었다.
식종액의 메탄 생성균의 성장과 활동을 촉진하기 위해 필요한 영양배지의 경우 선행연구에서 사용된 하천에서 발생가능한 물질로 이루어져 있는 영양배지를 사용하였으며 이를 Table 1을 통해 제시하였다(Kazumi et al., 1997).
Table 1.
Composition of nutrient
| Nutrient |
Stock solution x 10 (mg/L) |
Test culture (mg/L) |
| KH2PO4 | 5,000 | 500 |
| NH4Cl | 5,300 | 530 |
| CaCl·2H2O | 750 | 75 |
| MgCl2·6H2O | 1,000 | 100 |
| FeCl2·4H2O | 200 | 20 |
| NaHCO3(Buffer) | 40,000 | 4,000 |
2.1.2 실험조건
식종액에 따른 기질의 오염 조건 파악을 위해서 S/X 비율을 사용하였다. S/X 비율이란 초기질 농도(S)와 혐기성 미생물 농도(X)와의 비를 의미하는 비율로, 생장수율과 관련이 있는 지표이다. 일반적으로 S/X 비율이 높아질수록 생장수율이 낮아지는 경향이 있으며 0.25~0.5 사이의 S/X 값이 산성화를 억제할 수 있는 적정 비율로 알려져 있다(Liu, 1996; Filer et al., 2019). 본 연구에서는 식종액 농도별 글루코스 기질의 COD 농도를 파악하기 위하여 COD/VS (S/X) 비율을 0.5로 설정하여 실험을 진행하였다.
2.2 이미지 분석
이미지 분석을 위해 슬로우모션 모드의 카메라를 사용하였으며(HD, 240fps; iPhone 15), 기포관측 영상데이터를 Python 3.8의 OpenCV (Open Source Computer Vision Library) 라이브러리를 활용하여 분석하였다. OpenCV는 컴퓨터 비전 및 기계 학습 소프트웨어 오픈소스 라이브러리로, 실시간 이미지 처리를 지원하도록 설계되었다. 이미지 분석은 아래 Fig. 2의 방법론으로 진행되었다.
2.2.1 전경 마스크 이진화 및 윤곽선 추출
일반적으로 이미지 분석을 처리하기 앞서 흑백으로 이미지를 변환한다. 이는 명확한 특징적인 정보를 통해 이미지를 분석하고자 하는 목적이 있으며 동시에 계산 효율성을 향상시키는 효과가 있다(Wang et al., 2023). 비디오 프레임에서 배경을 제거하여 기포와 같은 동적 객체만을 분리하기 위해 OpenCV의 cv2.createBackground SubtractorMOG2() 함수를 사용하여 배경 차감 객체를 생성하였다. 이 객체는 각 프레임에 대해 배경 모델을 동적으로 업데이트하면서 전경 객체만을 강조하는 마스크를 생성한다. 이 때, MOG2 방식은 각 픽셀의 분포를 가우시안 혼합 모델로 모델링하여 배경의 변화를 감지하고, 그 결과로 얻은 마스크에서 동적 객체의 형태를 유지하면서 배경을 제거한다.
2.2.2 마스크 이진화 및 윤곽선 추출
기포의 동적 거동을 분석하기 위해서는 전경과 배경을 명확히 구분하고, 기포의 윤곽을 추출하는 과정이 필수적이다. 본 연구에서는 배경 차감, 이진화, 그리고 윤곽선 추출의 순서로 이미지 처리 과정을 수행하였으며 이 때 기포의 형태는 원형으로 가정하였다(Fig. 3). 전경 마스크를 생성하기 위해 가우시안 혼합 모델(Gaussian Mixture Model, GMM) 기반의 cv2.createBackgroundSubtractor MOG2() 함수를 사용하였다. 이 함수는 프레임 간 배경을 동적으로 학습하고, 배경의 변화를 감지하여 전경 객체(기포)를 분리하는 데 사용되었다. MOG2 방식은 각 픽셀의 분포를 가우시안 모델로 표현함으로써 전경 마스크에서 동적 객체의 형태를 유지하면서 배경을 제거하는 방식이다(Zivkovic, 2004).
전경 마스크는 cv2.threshold() 함수를 사용하여 이진화하였다. 또한 이진화된 마스크에서 발생하는 작은 잡음과 오류를 줄이기 위해 중앙값 필터링(median filtering)이 적용되었으며, 필터링 과정에서 커널 크기는 7로 설정되었다(Yildirim, 2021). 이 필터는 주변 픽셀 값의 중앙값을 사용하여 잡음을 억제하고 윤곽선의 정확도를 높이는 역할을 수행하며 아래 Eq. (2)와 Eq. (3)으로 표현된다.
이진화 후, cv2.findContours() 함수를 이용하여 기포의 윤곽선을 추출하였다. 윤곽선은 이미지 상의 기포를 둘러싸는 최소 외접원을 기준으로 하여 cv2.minEnclosingCircle() 함수를 통해 계산되었다. 기포의 최소 면적 조건으로는 50 픽셀 이상의 면적을 갖는 윤곽만이 유효한 기포로 처리되었으며, 이 조건을 만족하지 않는 작은 윤곽선은 노이즈로 간주되어 제외되었다.
여기서, src: 입력 그레이스케일 이미지, thresh: 임계값, maxval: thresh보다 큰 픽셀에 할당된 최대값, pi,j: 원본이미지의 좌표, m{:}는 집합의 중심을 의미한다.
2.2.3 기포 추적 및 속도 계산
윤곽선에서 추출된 중심 위치와 반지름 정보는 본 연구에서 지정한 메소드에 의해 처리하였다. 기포 추적 과정은 프레임 간 기포의 위치 변화를 감지하고, 각 기포의 중심 좌표와 반지름을 지속적으로 추적하는 방식으로 이루어진다(Fig. 4). 이를 위해 각 기포에 고유 ID를 부여하여 여러 프레임에 걸쳐 기포의 이동 경로를 추적하였다. 이 과정에서 기포 간 유클리드 거리 계산을 통해 프레임 간 가장 가까운 기포를 매칭하며, 새로운 기포가 등장할 경우 자동으로 새로운 ID를 부여하여 기록하였다. 이러한 방식을 통해 다수의 기포를 효율적으로 관리하며, 기포가 사라지거나 다른 기포와 병합되는 상황도 처리할 수 있도록 설계된 함수로 구성 하였다. 기포의 속도는 위치 데이터의 시간 변화를 기반으로 계산되어진다. 이를 위해 연속된 프레임 사이에서 기포의 위치 변화를 계산하였으며, 이를 통해 이동 거리를 산출하였다. 해당 거리는 프레임 사이의 시간 간격과 비디오의 프레임 속도를 고려하여 실제 속도(미터/초)로 변환된다. 속도의 계산은 각 기포가 얼마나 빠르게 움직이는지를 정량화하며, 이는 유체 내에서 기포의 동적 거동을 이해하는 데 중요한 지표로 활용하였다(부록 Fig. 7).
이미지 분석을 통해 추출된 기포별 속도 데이터는 Stokes velocity을 기준으로 적절성을 판단하였다(Eq. (4)). Stokes velocity란 정지된 유체 내에서 구형 입자의 부력과 마찰력의 합이 중력과 같아질 때의 종단속도를 의미하며 정지된 유체와 같이 작은 레이놀즈수의 영역에서 성립되는 법칙이다 (Zheng and Yapa, 2000). Stokes 법칙에서는 기포가 상승하는 과정에서 중력은 아래쪽으로 작용하며, 부력은 중력의 반대방향으로 작용하여 기포를 위로 상승시키는 역할을 한다. 기포가 상승할 때는 유체와의 마찰로 인해 마찰력이 발생하며, 이 마찰력은 기포의 상승 속도를 제어하는 중요한 요인 중 하나이다. 이는 정지된 유체 내에서의 기포 속도분포를 분석하는 본 연구와 범위가 일치하며 이후 추출된 데이터를 기반으로 비선형 회귀분석을 시행하여 기포의 높이별 속도분포를 분석하였다.
여기서, g: 중력가속도(m/s2), R: 반지름(mm), μf: 유체의 점성계수(kg/m·s), ρf: 유체의 밀도(kg/m3), ρg: 기체의 밀도(kg/m3)를 의미한다.
3. 결과 및 분석
본 연구에서는 기포의 속도분포 추정을 위해서 비선형회귀분석을 통해 기본적인 속도분포의 모형을 제안하였다. 비선형회귀분석이란 선형회귀와는 달리 차수 및 항수가 제한되지 않은 열려진 구조의 회귀분석을 의미한다(Kim and Seo, 2015). 또한 비선형 회귀분석은 선형 회귀분석에 비해 해석에 있어 관련된 매개변수 수가 적으며 쉽게 해석할 수 있다는 장점이 있다(Archontoulis and Miguez, 2015). 이처럼 간소화 모델에 활용하기 적합한 특징을 가진 비선형회귀분석 이후 제안된 식의 특성을 결정하는 상수를 차원해석법을 통하여 평가하는 식을 제시하였으며 최종적으로 정량화된 기포의 속도 분포식의 간소화 모델을 개발하였다.
3.1 BMP test 및 종단 속도
시료 내에서의 기포 관측을 위해서 일주일간 메탄을 생성하였으며 기포 용출을 촬영한 이후 Gas Chromatography (Agilent 6890, USA)를 사용하여 메탄의 구성비를 측정하였다. 그 결과 BMP test로 인해 발생한 기체 중 메탄은 최저 54%~최고 66%로, 평균 약 61%의 비율로 구성되어 있음을 확인하였다. 이는 BMP test의 시료에 발생한 일주일간의 기포 대부분이 메탄으로 이루어졌음을 의미하며 이를 근거로 Stokes velocity를 계산할 때 기체를 메탄으로(항온기에서 꺼낸 후 약 30°C) 가정 후 계산을 진행하였다.
이미지분석을 통해 관측된 속도 데이터의 경우 유체의 점성, 유체 및 가스의 밀도 등으로 인한 불확실성을 초래할 수 있다. 특히, 유체의 온도 변화나 기포의 형상이 이상적인 구형이 아닐 경우, 이론적으로 계산된 Stokes velocity와 실험에서 관측된 종단 속도 간의 차이가 발생할 수 있다. Stokes velocity와 종단속도의 차이가 10% 이내인 속도 데이터를 선정하였다. 해당 값은 실험 오차 범위 내에서 발생할 수 있는 불확실성을 반영한 값이며 이를 통해 Stokes 법칙이 적용 가능한 범위 내에서 기포의 상승 속도를 분석하고자 하였다. 또한 정확한 속도분포 데이터의 확보를 위하여 초기 속도 데이터가 다수 존재하는 기포를 선정하였으며 최종 선정된 기포의 지름별 종단속도와의 차이를 아래 Table 2에 나타내었다.
Table 2.
Comparison with Stokes velocity
3.2 기포별 속도분포
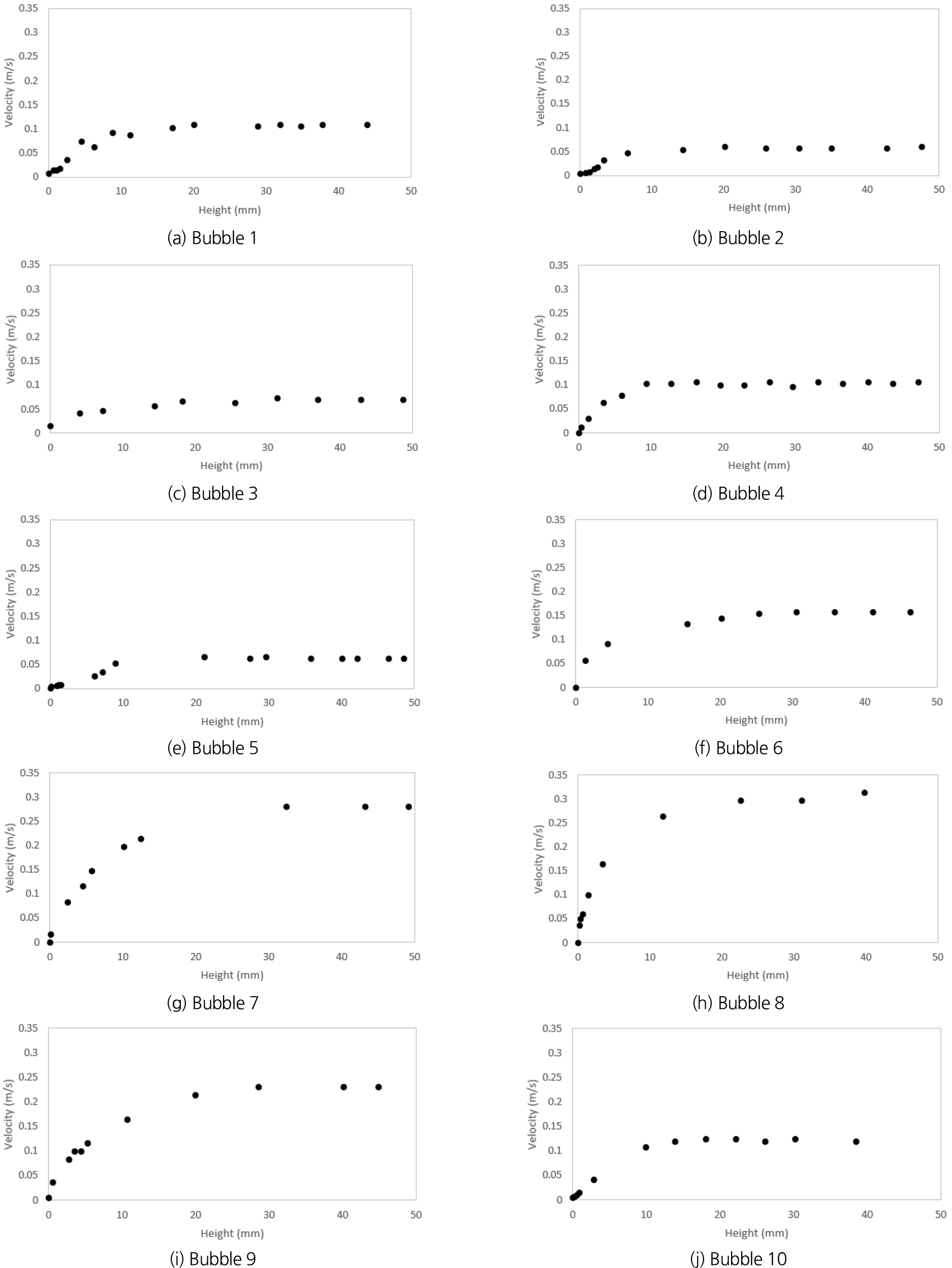
기포의 속도 분포는 종단 속도에 가까워질수록 속도 변화가 완만해지며, 전체적인 분포는 특정 한계점에 도달하는 Hyperbola 형태를 보였다. 이러한 속도 분포의 특성은 기포가 상승하는 동안 처음에는 급격히 속도가 증가하지만, 일정한 높이에 도달하면 종단 속도에 수렴하면서 속도 변화가 거의 없어진다는 것을 의미한다. 전체 기포 분포 데이터는 부록의 Fig. 7에 나타내었다.
확보된 속도분포를 정량화하기 위하여 비선형회귀분석을 진행하였다. 이 때, 비선형 모형 중 데이터가 특정 한계점에 도달하는 분포를 보이는 경우 일반적으로 사용되는 Rectangular Hyperbola 모형을 통해 비선형회귀분석을 수행하였다. Rectangular Hyperbola는 초기에는 급격한 속도 증가와 이후 기포의 속도가 종단 속도에 수렴하는 과정을 설명할 수 있다. 선형 회귀모델은 기포의 속도가 일정하게 증가할 것이라는 가정 하에 데이터를 분석하기 때문에, 기포의 속도가 종단 속도에 도달하면서 더 이상 증가하지 않고 수렴하는 비선형적 거동을 설명할 수 없다. 아래 Eq. (5)는 Rectangular Hyperbola의 형태를 나타낸 식이다.
여기서, Vid: Bubble id별 기포 속도(m/s), Vmax: 최대 속도(m/s), h: 높이(m), h50: Vmax가 절반 값일 때의 높이(m)를 의미하며 Vmax의 경우 이론적 최대속도를 의미하는 Stokes velocity의 값을 사용하였다(Table 2).
기포별 회귀분석의 결과는 아래 Fig. 5와 부록의 Table 4에 나타냈다. Stokes velocity에 의하면 지름이 클수록 이론적 종단속도가 높아지며 이는 본 실험결과와 일치하는 것을 확인할 수 있다. 회귀모델의 적합성을 나타내는 결정계수(R2)의 경우 대부분 0.96 이상이나, Bubble 3, Bubble 5의 경우 각각 0.90과 0.92로 다른 기포에 비해 상대적으로 낮은 수치를 보인다. 이는 다른 기포들에 비해 초기 데이터가 상대적으로 부족하여 비선형회귀분석에서 과소적합이 발생한 것으로, 이에 따라 신뢰도가 다소 떨어진 것으로 분석되었다.
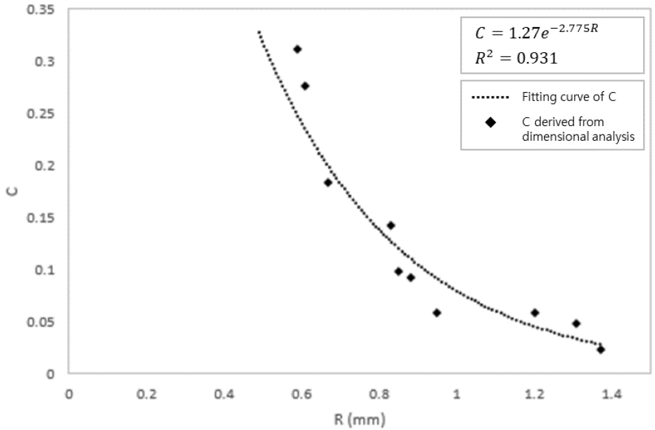
3.3 속도분포계수 h50
Eq. (5)의 모형에서 h50은 일반적으로 특정 기질에 대한 특징적인 값으로 속도분포 모형에서는 기포 지름별 속도분포특성을 대변하는 계수로 가정할 수 있다. 따라서 h50의 관계식 추정을 위해 h는 유체의 점성계수 (μf), 유체의 밀도 (ρf), 중력 (g), 기포의 반지름 (R)으로 이루어졌다고 가정하였으며 이를 각 차원으로 나타낸 후 관계식으로 나타내면 아래와 같다.
여기서, [L]: 길이의 차원, [M]: 질량의 차원. [T]: 시간의 차원을 의미한다.
Buckingham Pi method를 활용하여 무차원 Π을 조합하게 될 경우 아래와 같이 두가지 Π를 조합할수 있으며 이를 아래 Eq. (11)와 Eq. (12)을 통해 나타내었다. Π2를 차원해석할 경우 a=1, b=0.5, c=1.5 값이 도출되었으며 무차원 상수 C를 h50의 차원해석식과 구성하였다(Eq. (13)).
여기서, C는 무차원 상수이다.
무차원 상수 C를 구하기 위해서 3.2절에서 도출된 회귀분석 결과의 h50값과(부록의 Table 4) 차원해석식으로 제시된 Eq. (13)을 회귀분석하게 될 경우 반지름별로 무차원 상수 C의 값이 Fig. 6와 같이 결정되며 이를 Eq. (14)에 제시하였다.
3.4 기포 지름별 속도분포
앞서 유도한 관계식들을 기반으로 기포 지름별 속도 분포식을 아래 Eq. (15)과 같이 나타낼 수 있다. 도출된 일반화식은 Stokes velocity와 h50을 추정하는 지름 R로 구성되어 있으며 이를 통해 높이별 기포의 속도를 추정할 수 있다. 해당 식을 통해 기포와 유체의 물리적 특성을 기반으로 기포의 속도 분포를 추정할 수 있다. 또한 속도 분포의 변화를 통해 종단속도에 도달하는 높이를 파악할 수 있으며 주로 30 mm~40 mm 이후 종단속도에 도달하는 것을 확인 가능하다. 지름이 커질수록 종단속도에 도달하는 높이가 상대적으로 증가하며 종단속도에 도달하는 높이 또한 높아지는 관계식을 확인할 수 있다.
도출된 속도분포 모형의 예측 오차를 R2, RMSE (Root Mean Square Error), MAE (Mean Absolute Error)를 통해 분석하였다(Table 3). 모델의 R² 값은 모든 기포 조건에서 0.93이상, 평균 0.97로 나타났으며, 이는 모델이 전반적으로 높은 설명력을 가지고 있음을 보여준다. 또한 표준편차는 0.018로 기포 조건 간의 설명력 차이가 비교적 적은 것으로 확인하였다. RMSE와 MAE 또한 R2와 같이 동일한 설명이 가능하며(평균: 0.016, 표준편차: 0.011 ; 평균: 0.009, 표준편차: 0.005) 이는 모델이 일관된 성능을 도출하고 있음을 의미한다.
Table 3.
The R2, RMSE, and MAE values of Eq. (15)
4. 결 론
본 연구는 메탄 기포의 거동을 분석하여, 효율적인 간소화 모델을 제시하고자 하였다. 이를 위해 BMP test를 활용하여 실험을 진행하였으며, Python 기반의 In-House Post Image Analysis Tool을 통해 메탄 기포의 속도분포를 정량적으로 분석하였다. 본 연구의 주요 결론은 아래와 같다.
BMP test는 자연 상태에서의 메탄 기포 발생을 재현하기 위해 사용되었다. 이후 기포 용출 순간을 촬영하였으며, Python 3.8을 활용한 이미지 분석을 통해 기포 거동데이터를 확보하였다. 메탄 기포의 속도분포 분석 결과, 기포의 상승 속도는 기포의 지름과 밀접한 관계가 있으며, 기포의 속도분포는 특정 높이에서 수렴하였다. 비선형 회귀분석을 통해 기포의 속도분포는 Rectangular Hyperbola 모형이 기포의 거동을 효과적으로 설명하는 것으로 나타났다. 비선형 회귀분석에서 도출된 식의 특성을 결정하는 속도분포계수 h50은 유체의 점성계수(μ), 유체의 밀도(ρ), 중력(g), 기포의 반지름(R)과의 관계를 바탕으로 도출하였다. 도출된 속도분포 모델의 검증을 위해 모델의 설명력 및 예측 오차를 분석하였다. 모델의 결정계수 R2 값은 모든 기포 조건에서 0.93 이상, 평균 0.97로 나타나 높은 설명력을 보였다. RMSE와 MAE 값도 각각 평균 0.019와 0.010로 나타나 모델이 일관된 성능을 도출하고 있음을 확인하였다. 본 연구에서 제시한 기포의 지름과 높이에 따른 속도 분포를 예측할 수 있는 간소화 모델은 다양한 환경 조건에서 메탄 기포의 거동을 효과적으로 파악할 수 있을 것으로 기대된다. 또한 해당 모델을 통해 메탄 배출 관리 및 환경 정책 수립에 중요한 기초자료를 수집할 수 있으며, 특히, 간소화된 기포 거동 모델은 시간과 비용을 절감하면서도 상대적으로 높은 정확도로 메탄 기포의 거동을 예측할 수 있는 도구로 활용될 수 있을 것이다. 향후 연구에서는 다양한 환경 조건에서의 메탄 기포 거동을 추가로 분석하고, 본 연구에서 제시한 모델의 적용 범위를 확장하는 것이 필요하다. 또한, 다른 유형의 온실가스에 대해서도 유사한 분석을 진행하여 종합적인 기체 거동 모델을 구축하게 될 경우 기후변화 대응 전략을 보다 효과적으로 수립할 수 있을 것으로 기대된다.









