1. 서 론
2. 자료 및 방법
2.1 관측 사례 선정
2.2 레이더를 이용한 하이브리드 고도면 강수 추정(Hybrid Surface Rainfall, HSR) 과정
2.3 경험적 관계식 도출
3. 결과 및 토의
4. 결론 및 제언
1. 서 론
산업혁명 이후부터 인류에 의한 온실가스 배출은 기후변화를 초래했다. IPCC (2021)는 이로 인해 2040년까지 최소 1.5℃의 전 지구 평균 기온 상승이 불가피하며, 기온상승 뿐만 아니라 다양한 기상 현상의 변화를 동반할 것으로 예측하고 있다. 이러한 기후변화로 인해 발생하는 여러 현상들 중에서 돌발홍수 역시 그 빈도가 늘어날 것으로 보인다(Kundzewicz et al., 2014; Zhang et al., 2019, 2021). MOIS (2021)에 따르면 2020년 자연재난으로 인한 경제적 피해는 약 1조 3천억원 규모이며, 이중 호우에 의한 피해는 1조 1천억원, 태풍에 의한 피해는 2천억원 정도로 분석됐다. 따라서 기상현상에 의한 돌발홍수의 발생 빈도 증가는 인명 및 경제적 피해를 증가시킬 것으로 판단된다.
돌발홍수는 짧은 시간내로 좁은 면적에 발달하므로 기존의 S-밴드 대형 레이더로 탐지 및 대응이 어렵다. Lim et al. (2012)은 이에 대한 대응 방안으로 소형 X-밴드 이중편파 레이더를 이용해 저고도에서의 시공간적 고해상도 관측을 수행하는 것을 주장한 바 있다. 이에 한국건설기술연구원에서는 소형 X-밴드 이중편파 레이더를 이용한 돌발홍수 예보와 경보를 위해 관련된 연구를 진행해온 바 있다(Lee and Jang, 2017).
이와 같이 돌발홍수에 대비하기 위해서 설치된 X-밴드 이중편파 레이더의 활용성을 극대화하기 위해서는 여러 기술적 기반이 전제된다. 먼저, 레이더 자료 품질관리(Quality Control, QC) 기술로, 관측된 레이더 원시 자료에서 지형 에코와 감쇠등의 효과를 보정하여 신뢰할 수 있는 자료를 생산하는 것이다. 다음으로, 다양한 고도각의 관측 자료를 합성하는 하이브리드 고도면 강수 추정 기법(Hybrid Surface Rainfall technique, HSR)을 이용해 빔 차폐의 영향을 줄이고 정확도를 높이는 기술이다. 마지막으로, 이와 같이 산출된 레이더 자료를 바탕으로 정확한 정량적 강수 추정(Quantitative Precipitation Estimation, QPE) 관계식을 적용해 정확한 강수량을 추정하는 기술이다. 한반도의 강수에 대한 이중편파 X-밴드 레이더 QPE 관계식은 Lim et al. (2014)이 제시한 바 있으며 Chen et al. (2017)과 Yoon et al. (2018)에 의해 Wang and Chandrasekar (2010)의 방법보다 더 높은 정확도를 보인다고 검증된 바 있다.
본 연구에서는 태백산맥에 의해 차폐된 동해안 지역의 관측 공백을 해소하기 위해 한강홍수통제소에서 삼척과 울진에 설치한 두 기의 레이더 자료를 이용해 QPE 관계식을 개발한다. 이를 위한 레이더 자료의 QC 기술과 감쇠 보정, 비차등위상차(KDP) 산출을 수행했고 본문에 간략히 소개했다. QPE 관계식의 산출은 비차등위상차와 기상청 강우량계에서 관측된 한시간 누적 강우량의 관계를 이용해 경험적으로 도출했다. 또한, 개발된 QPE 기법을 개발에 쓰이지 않은 강우량계 자료를 이용해서 관측된 값과 비교해 정확도를 검증했다. 마지막으로 Lim et al. (2014)가 추정한 QPE 기법과 비교해 개선점을 확인했다.
2. 자료 및 방법
2.1 관측 사례 선정
이 연구에 사용된 자료는 2021년 4월부터 2021년 11월 사이에 관측된 2기의 X-밴드 레이더 자료와 각 레이더의 관측반경 내에 있는 기상청 강우량계 자료이다. 레이더는 환경부에서 울진(위, 경도)과 삼척(위, 경도)의 전파강수관측소에 설치한 X-밴드 이중편파 레이더로 Table 1과 같은 제원을 가진다 (Fig. 1). 강우량계 자료의 경우 Table 2에 나타난 위치의 강우량계의 자료를 사용했다. 이중 울진은 10개 삼척은 13개의 강우량계 자료를 이용했으며 원덕(529)과 태백(216) 강우량계의 경우 두 지역 모두에 사용되었다. 관측 기간동안 발생한 강수 사례 중 강우량계에서 관측된 일 누적 강수량이 30 mm 이상일 때만 사용했다. 이에 해당하는 사례일은 Table 3과 같다.

Fig. 1.
The locations of the two radars installed by the Ministry of Environment and AWS sites are projected on the map of the east coast area of the Korean peninsula. Triangles indicate radar sites, and dots indicate AWS sites. The thin red lines show the observation area of each radar. The thick red line displays the range of AWS sites used for the retrieval
Table 1.
Specification of the radar used in this study
Table 2.
AWS sites used in this study
Table 3.
Cases used in this study
해당 사례들은 크게 두 가지 경우로 나눌 수 있었다. 첫 번째는 5월 16일, 7월 3일, 8월 31일 사례로, 1시간 누적강수량이 20 mm를 넘지 않으며, 각 레이더의 모든 관측 영역에서 고르게 강수가 일어나는 층운형 강수의 특징을 보였다. 두 번째는 8월 8일, 8월 17일 사례로, 앞서 설명한 사례들과는 다르게 1시간 누적강수량이 20 mm를 넘는 때가 있었고, 강한 강우가 국지적으로 발생했다. 이 두 사례의 경우 레이더에서 최대 강우강도가 약 80 mm/hr까지 관측되었다. 국지적인 강한 강수라는 특징에 따라 앞선 네 사례와 다르게 이 두 사례는 적운형 강수로 볼 수 있다. 이 연구에서는 강수사상에 무관하게 적용할 수 있도록 층운형 강수와 적운형 강수의 자료 모두를 이용했다.
2.2 레이더를 이용한 하이브리드 고도면 강수 추정(Hybrid Surface Rainfall, HSR) 과정
레이더 자료를 이용한 QPE 과정은 Fig. 2와 같은 과정으로 이루어진다. 먼저 두 고도각 EL1과 EL2에서 관측된 자료 각각에 대해 Shrot과 Long 펄스의 경계면에서의 연속성을 진단한다(Continuity Check). 자료의 연속성의 문제가 없으면, 레이더 반사도와 차등위상차, 상관계수를 바탕으로 지형 클러터 및 노이즈 제거, 자료 평활화를 통해 자료의 품질관리를 수행한다. 다음으로, QC된 자료를 Fig. 2에 표기된 고도각에 따른 방위각 별로 데이터를 합성한다. 합성된 레이더 자료에 Z-PHI 방법(Testud et al., 2000)을 적용해 감쇠를 보정하고 Lee et al. (2015)에서와 같이 Lim et al. (2013)이 제시한 방법을 통해 분포형 비차등위상차를 구한다. 마지막으로 계산된 비차등위상차와 강우추정식으로 강우강도를 계산해 레이더 관측반경 내의 강수 분포를 추정한다.
2.3 경험적 관계식 도출
산출된 비차등위상차와 관측된 1시간 누적 강우량을 이용해 선형 회귀분석법으로 강우강도(R)과 비차등위상차(KDP)의 관계식을 구축했다. 일반적으로 강우강도와 비차등위상차는 다음과 같은 관계를 가진다(Ryzhkov et al., 2022).
이 식의 양변에 로그를 취하면 다음과 같다.
이 식에 따르면 비차등위상차와 강우강도의 로그 값은 b의 기울기와 a의 y절편을 갖는 선형 관계를 갖게 되므로, 선형 회귀분석을 통해 a와 b의 경험적 값을 추정할 수 있다.
선형 회귀분석을 위한 자료는 지형 클러터와 노이즈 등을 고려해 삼척 레이더 자료와 동해(106), 묵호(310), 신기(696) 강우량계 자료를 이용했다. 이 때, 강우강도의 관측 정확도가 떨어지기 때문에 강우강도의 1시간 이동평균과 같은 1시간 누적 강우량과 비차등위상차의 1시간 이동평균 자료를 이용했다. 강한 강우보다는 약한 강우의 빈도가 높으므로 비차등위상차와 강우강도는 구간에 따라 자료의 양이 크게 차이난다. 이를 보정해주기 위해 Fig. 3과 같이 비차등위상차 0.02 deg/km 구간으로 나누어 각 구간에 해당하는 1시간 누적 강우량의 사분위수 범위 내의 값의 평균을 구해 선형 회귀분석을 진행했다.
3. 결과 및 토의
Fig. 4는 관측된 1시간 누적 강우량과 1시간 평균 비차등위상차의 관계를 나타낸다. 이 그림에서 검정색 선은 Lim et al. (2014)에서 도출한 기존의 R-KDP 관계를 나타내고, 빨간색 선은 두 변수간 선형 회귀선을 나타낸다. 각 방법에서의 a와 b 값은 Table 4에 나타나있다. a값은 이전의 추정식보다 증가했고 b값은 감소하는 차이가 있다. Fig. 4를 통해 새로운 추정식이 더 높게 강수를 추정하는 경향을 보이게 됨을 알 수 있다. 새롭게 개발된 계수를 적용한 결과, 상관계수는 0.01로 근소하게 상승했고 제곱평균 제곱근오차(RMSE)는 3.88 mm/hr에서 3.68 mm/hr로 약 5%정도 감소했다. 그러나 편차는 -1.72 mm/hr에서 -0.92 mm/hr로 절반 가량으로 크게 감소했다.

Fig. 4.
2-dimensional histogram of KDP (x-axis) and rain rate (y-axis). The black and red lines show the R-KDP relationship suggested by Lim et al. (2014) and this study, respectively
Table 4.
a, b, r, bias, and root mean square error (RMSE) for the QPE method developed by Lim et al. (2014) and this study
| Previous Parameter | New Parameter | |
| a | 23.7 | 27.4 |
| b | 0.87 | 0.81 |
| r | 0.7 | 0.71 |
| bias | - 1.72 | - 0.92 |
| RMSE | 3.88 | 3.68 |
Figs. 5 and 6은 각각 삼척과 울진의 관측 사례를 나타내며 각 그림은 AWS 강우량계에서 측정된 1시간 누적 강우량과 레이더에서 추정된 1시간 누적 강우, 즉 1시간 평균 강우강도의 비교이다. Figs. 5(a) and 6(a)의 검은색 점은 Lim et al. (2014)에서 제시된 계수로부터 추정된 1시간 누적 강우량과 강우량계에서 관측된 1시간 누적 강우량의 비교이며, 빨간색 점은 이 논문에서 제시한 값과 관측 값의 비교이다. 검은색 실선과 빨간색 실선은 각각 검은색 점과 빨간색 점의 추세를 보여주며, 파란색 실선은 1대1 선을 의미한다. 따라서, 1대1 선인 파란 선에 가까울수록 관측 값과 유사함을 의미한다. Figs. 5(b) and 6(b)는 각 사례에 대한 시계열 자료를 나타내며 파란색 점은 강우량계에서 관측된 한시간 누적 강우량, 검은색 점은 Lim et al. (2014)의 계수로 추정한 강우량, 빨간색 점은 이 연구에서 개발된 계수로 추정한 강우량을 나타낸다.
Fig. 5에 나타난 2021년 5월 16일 옥계(580) AWS와 삼척 레이더의 관측 사례를 살펴보면 전반적으로 Lim et al. (2014)의 계수를 이용한 강우 추정에서는 과소추정하는 경향이 보인다. 그러나 새로운 계수를 적용해 추정된 강우량은 강우량계의 관측 값과 유사함을 확인할 수 있다. 시계열 분석을 통해 더 자세히 들여다보면, 강우량이 작을 때는 Lim et al. (2014)의 추정과 이 연구의 추정이 크게 차이가 나지 않는다. 그러나, 08시나 19시에 보이는 것과 같은 1 시간 누적 강우량이 10 mm 정도가 되는 강우에서는 큰 차이를 보인다. 이와 같은 향상은 수치적으로도 잘 나타나는데, 상관계수는 0.95에서 0.96으로 소폭 상승했지만 RMSE가 1.34 mm/hr에서 0.84 mm/hr 로 약 37% 감소해 정량적인 정확도 증가를 확인했다. 또한, 편차는 -1.00 mm/hr에서 -0.32 mm/hr로 크게 개선돼 과소추정이 큰 폭으로 개선되었음을 보였다.
2021년 7월 3일 울진 레이더와 수비 AWS 강우량계에서 측정된 관측 결과인 Fig. 6을 살펴보면, Fig. 5에서 보여준 것과 유사한 결과를 보인다. Fig. 6(a)를 보면 본 연구에서 제시한 계수로 추정된 강우가 Lim et al. (2014)이 제시한 계수로 추정한 강우보다 더 높게 추정된다. 시계열 분석 또한 비슷한 결과를 보인다. 15시에서 16시 사이에 보이는 약한 강수에서 두 방식의 결과는 큰 차이가 없이 모두 관측과 유사한 추정을 하지만, 22시와 23시 사이에 관측된 약 10 mm/hr의 강우에서는 조금 더 큰 차이를 보인다. 그러나 23시와 24시 사이에는 두 변수가 모두 비슷한 오차경향을 보였는데, 이는 레이더 신호 감쇠 등으로 인해 발생한 것으로 보인다. 이러한 오차의 경우 품질관리 기법의 개선 등을 통해 줄일 수 있을 것으로 보인다. 이 사례에서 상관계수는 0.86에서 0.87으로 소폭 상승했고 RMSE가 1.33 mm/hr에서 0.96 mm/hr 로 약 28% 감소하는 뚜렷한 개선이 있었다. 또한, 편차는 -0.92 mm/hr에서 -0.14 mm/hr로 과소추정이 크게 해소됨을 보였다.

Fig. 5.
Comparison between the new QPE method, previous method, and observed precipitation at AWS site #580 and Samcheok radar on May 16th, 2021. The scatterplot (a) shows 1-hour rainfall accumulation observed from the rain gauge (x-axis) versus that retrieved from radar data (y-axis) methods suggested by Lim et al. (2014) (black dots) and this study (red dots) and their regression lines. (b) shows the time series of 1-hour rainfall accumulation observed by the rain gauge (blue), and retrieved using methods of Lim et al. (2014) and this study)
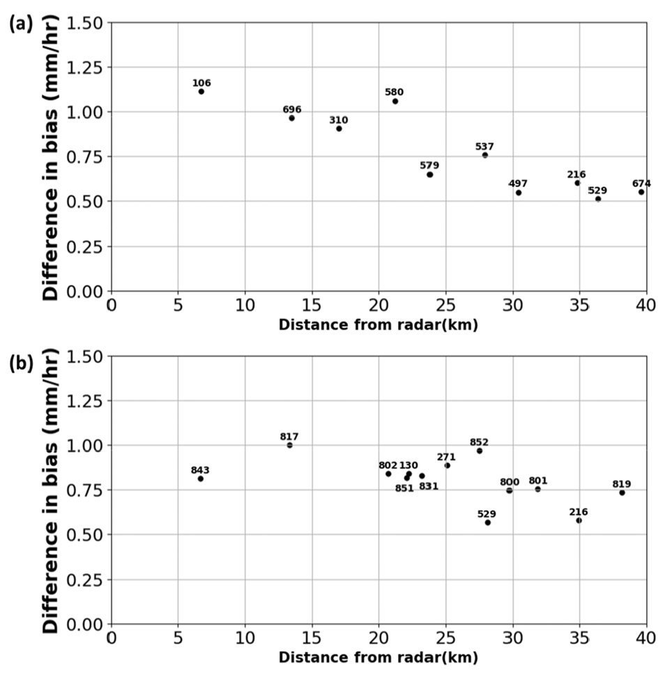
Fig. 7은 모든 사례와 AWS 지점에서 레이더 관측자료로부터 두 가지 방법으로 추정된 강우량의 1시간 적분 값의 관측된 1시간 누적 강우량에 대한 RMSE의 차이를 보여준다. 이 그림에 표시된 검은색 점은 각 지점에서 Lim et al. (2014)의 RMSE에서 이 연구에서 제시한 계수로 추정한 강우량의 RMSE의 차이이다. 따라서 이 차이가 큰 양의 값을 가질수록 큰 폭으로 개선되었음을 의미한다. 삼척과 울진 모두 대부분의 AWS에서 상관계수가 상승한 것으로 나타나지만, 일부에서는 그렇지 않음을 보인다. 이는 전체 상관계수와 RMSE가 0.2 mm/hr로 소폭 상승한 것과 일맥상통하는 결과이다. 또한, 본 논문에는 포함하지 않았으나 관측소의 높이에 대해 뚜렷한 경향성을 찾을 수 없었다.
Fig. 8은 모든 AWS에 대한 Lim et al. (2014)의 계수를 이용해 추정한 강우량의 편차를 보인다. 이 그림을 통해 삼척과 울진의 자료 모두 죽변(852) AWS를 제외한 모든 AWS에서 Lim et al. (2014)의 방법이 과소추정 했음을 확인할 수 있다. Fig. 9는 강우량계 관측 강우와 두 방법을 이용한 레이더 추정 강우 사이의 편차의 차이를 보여준다. 검은색 점들은 각 AWS의 관측 값에 대한 Lim et al. (2014) 방법으로 추정된 강우량의 편차를 이 연구에서 소개된 방법으로 추정된 편차에서 뺀 값이다. 따라서, 이 값이 클수록 새로운 방법의 추정치가 기존 방법보다 과소추정이 개선됨을 의미한다, 따라서, Fig. 9에 나타난 편차의 이러한 결과는 새로운 계수를 적용했을 때 과소추정을 유의미하게 개선함을 의미하며, 이는 Table 4에서 편차가 절반 가량으로 줄어든 결과를 설명한다.
상기한 바와 같이 본 연구를 통해 편차를 크게 감소시켰지만, 상관계수와 RMSE의 경우 소폭 개선에 그쳤다. 이는, 레이더 신호 감쇠와 오차, 강우량계의 오차 등에 의한 것으로 생각된다. 뿐만 아니라 레이더가 일정 면적의 강우량을 추정하는 반면 강우량계는 특정 지점의 강우량만 측정한다는 차이도 고려해야 한다. Ciach and Krajewski (1999)는 이와 같은 이유로 인해 S 밴드 레이더 추정 강우와 강우량계 에서 관측된 1시간 누적 강우의 경우 약 3 mm/hr정도의 RMSE가 있음을 진단했으며, 이러한 오차는 4일 누적 강우까지 영향을 미침을 주장했다. 또한 Seed et al. (1996)은 15 mm/hr이하의 강우의 경우 추정식의 계수에 따라 10-20%의 오차가 발생할 수 있음을 주장한 바 있다. 상기한 두 선행연구는 S밴드 레이더에 대한 연구라는 점을 고려해야 하지만, 레이더 추정 강우와 강우량계 측정 강우량 사이에는 내재적인 오차의 가능성이 있다. 따라서, 상관계수와 RMSE의 개선 폭이 작음은 내재적 오차의 영향으로 이해할 수 있다.

Fig. 7.
The differences in RMSEs between retrieved rainfall by the method of Lim et al. (2014) and this study at (a) Samcheok and (b) Uljin. Gray dashed line indicates zero

Fig. 8.
The biases of retrieved rainfall by the method of Lim et al. (2014) to the 1 hour accumulated rainfall observed from AWSs. Gray dashed line indicates zero

Fig. 9.
The differences in biases between retrieved rainfall by the method of Lim et al. (2014) and this study at (a) Samcheok and (b) Uljin
4. 결론 및 제언
본 연구에서는 삼척과 울진의 X밴드 레이더 자료와 관측반경 내의 3개 지점의 강우량계 자료를 이용해 R-KDP 관계식의 계수를 경험적으로 추정했다. 사용된 자료는 일 누적 강우량이 30 mm 이상이었던 층운형 강수 3사례, 적운형 강수 2사례로, 두 종류의 사상이 거의 비슷하게 사용됐다. 따라서, 한반도의 평균적인 강수에 대한 경험적 관계식이라고 볼 수 있다.
추정된 R-KDP 관계식의 계수는 레이더 관측 반경 내의 23개 지점 강우량계 자료로 한반도 강우 사상에 대해 Lim et al. (2014)가 제시한 계수와 비교 및 검증하였다. 검증 결과 선행연구에서 제시된 계수에 비하여 상관계수와 RMSE의 소폭 개선이 있었으며, 편차의 경우 절반 가량으로 감소했다. 상관계수와 RMSE의 비교적 작은 개선폭은 레이더와 강우량계 데이터가 갖는 내재적 오차로 인한 한계로 보인다. 본 연구는 경험적방법을 통해 X밴드 레이더에 대해 새로운 정량적 강우추정 관계식을 개발하는 성과를 이루었다. 이는 곧 우적계를 이용한 강우입자 크기분포 관측에 기반하지 않고도 현업에 사용가능한 정량적 강우추정 관계식 개발을 실증했다는 의의를 보였다. 그러나 이는 두가지 보완점을 지닌다. 첫째로, 제한적인 사례 수와 관측장비를 이용하여 다른 연도의 자료나 다른 기종의 레이더에 대한 적용 가능성에 대한 검증이 필요하다. 둘째로, 강우입자의 크기분포와 무관하게 개발되었기 때문에 대기물리적 사용된 강우 사상들의 대기물리적 특성을 정확하게 고려하지 못했다.
이러한 한계점을 극복하기 위해 추후에 필요한 연구는 다음과 같다. 먼저, 더 많은 사례와 다른 기종의 X밴드 레이더 기종에 관계식을 적용해보고 분석해야 한다. 이를 통해 본 연구에서 개발된 관계식의 보편성을 확인하고 개선할 수 있다. 다음으로, 강수 사상에 따른 관계식의 변화를 확인해야 한다. 본 연구에서는 한반도 대부분의 강수에 적용할 수 있는 하나의 관계식을 만드는 것이 목표였기 때문에 사상을 분리하지 않았지만, 강수사상별 관계식의 변화 등에 대해 연구하면 한반도의 강수에 대한 더 깊은 이해를 할 수 있을 것이다. 이를 위해 우리는 더 많은 자료를 수집하여 추가적인 연구를 수행할 예정이다.





