1. 서 론
2. 이 론
2.1 지배방정식
2.2 수치해법
2.3 SGM과 바닥 경사 생성항
2.4 DFB 기법
3. DFB 기법의 재검토
3.1 엄밀한 유도
3.2 바닥 경사 생성항에 대한 기법들의 비교
3.3 mDFB 기법과 흐름률의 수정
3.4 DFB 기법에 대한 평가
4. PSC에 대한 VFR와 DFB
4.1 VFR
4.2 VFR의 재검토와 수정
4.3 수정된 VFR의 검증
4.4 PSC에 대한 DFB
5. 결 론
1. 서 론
이동상이 아닌 고정상에 대한 천수 방정식의 수치해석에서 바닥 경사는 계산 격자의 구성과 함께 미리 결정되며, 계산 도중에 변하지 않는 상수이다(Valiani and Begnudelli, 2009). 즉, 바닥의 표고가 반영된 계산 격자의 기하(geometry)로부터 바닥 경사가 정확(exact)하게 계산될 수 있으며, 특히 1차원 또는 2차원의 삼각형 격자에 대해서는 어렵지 않게 결정된다. 다만, 2차원에서 사각형 이상의 다각형에서는 그 경사가 정의되지 않을 수 있으므로 바닥 경사에 의한 생성항의 계산에 어려움이 있을 수 있다. 이에 대한 대처로 계산 격자를 삼각형으로 구분하여 각각 구한 생성항을 그 체적(즉, 면적)에 대한 가중평균을 통해 결정하거나(Valiani et al., 2002), 아예 삼각형 격자로 분할하기도 한다(Aquaveo LLC, 2016).
바닥 경사가 결정되더라도, 흐름률(flux)에 적용되는 수치기법에 따라 그것의 경사항과 바닥 경사 생성항 사이에 선평형성(well-balancedness)이 충족되지 않을 수 있다. Bermúdez and Vázquez (1994)는 수치기법의 C-특성(conservation property)을 제안하였으며, 이는 정수(still water) 상태에서 그 기법에 의한 선평형성을 의미한다. 그들은, B. van Leer의 흐름률 벡터 분리(flux-vector splitting) 기법의 경우, 흐름률과 마찬가지로 생성항에 대해서도 상류 차분 기법이 적용되어야 C-특성이 충족됨을 보였다. 또한, Bermúdez et al. (1998)은 Bermúdez and Vázquez (1994)의 결과를 2차원으로 확장하였으며, Vázquez-Cendón (1999)은 1차원 비균일(nonuniform) 격자에 대해 바닥 경사 생성항뿐만 아니라, 하폭의 변화와 마찰에 의한 생성항까지 포함하였다.
Zhou et al. (2001)은 천수 방정식의 흐름률 계산에 A. Harten, P. Lax, 그리고 B. van Leer의 근사 Riemann 해법인 HLL 기법을 적용하고 공간에 대한 2차 정확도 확보를 위한 자료의 재구축(data reconstruction)에서 수심이 아닌 수위를 이용하는 SGM (Surface Gradient Method)을 제안하였다. 그들은 이 기법에 의한 C-특성의 충족을 위해서는 바닥 경사 생성항의 처리에 중앙 차분 기법이 적용되어야 함을 1차원 문제에 대해 입증하였고, 이를 Z-특성으로 정의하였다. Bradford and Katopodes (2001)도 수심의 경사에 비해 수위의 그것이 훨씬 작음에 착안하여 SGM과 동일한 방법으로 자료의 재구축을 시도한 바 있다. 또한, 그들은 바닥 경사 생성항의 계산을 위해 Gauss 구적법(quadrature)을 적용하였다.
유한체적법에 의해 천수방정식의 흐름률 항을 적분할 때, 2차원 문제에서는 수심의 제곱으로 표현되는 정수압 항 때문에 근사에 따른 오차가 발생될 수 있다. Bradford and Katopodes (2001) 또는 Bradford and Sanders (2002)는 그 오차의 보정을 위해 흐름률에 대한 수정항을 도입하였다. Komaei and Bechteler (2004)는 수정항의 도입 없이 오차가 보정되도록 변에서 ‘등가 수심(equivalent depth)’ (Kuiry et al., 2008)을 적용하였다. Begnudelli and Sanders (2006)는 흐름률의 수정과 함께 선평형성의 충족을 위해 바닥 경사 생성항에 대해 Gauss 구적법이나, 곧이어 소개할, Valiani and Begnudelli (2006)가 제안한 기법의 적용이 필요하다고 주장하였다.
Valiani and Begnudelli (2006)는 수위가 일정한 조건에서 바닥 경사 생성항이 정수압의 경사로 변형될 수 있음을 보였으며, 이것을 DFB (Divergence Form for Bed slope source term)로 불렀다. 즉, 바닥 경사 생성항을 정수압에 대한 발산(divergence)으로 간주하여 유한체적법을 통해 정수압에 대한 회선적분(contour integral)으로 표현한 것이다. 그들은 정수압에 대한 적분의 계산에 변에서 평균 수심인, ‘수치 수심(numerical depth)’을 이용한 근사를 제시하였으나, 그 오차에 대한 의문이 이어졌다(Liu and García, 2008; Kuiry et al., 2008; Kuiry and Sen, 2009). 그럼에도 불구하고, 그들은 그 기법이 2차 정확도에 해당된다고 주장하였으며(Valiani and Begnudelli, 2008; 2009), 이에 대한 면밀한 검토가 필요하다.
Begnudelli and Sanders (2006)는 SGM에 따른 자료의 재구축에서 계산 격자가 완전히 잠기기 않은 PSC (Partially Submerged Cell) 내부의 수위를 고려하기 위해 PSC에서 물의 부피와 수위 사이의 관계인 VFR (Volume/Free-surface relationship)를 삼각형 격자에 대해 유도하였다. 그런데 하나의 꼭짓점만 잠기는 LPSC (Lower PSC)에서 VFR는 주어진 수심에 대해 수위는 3차 방정식으로 표현된다. 그에 비해 두 개의 꼭짓점이 잠겨 더 복잡할 것 같은 UPSC (Upper PSC)에 대해서는 더 단순한 2차 방정식으로 이루어져 제시된 식에 의심이 든다.
이 연구에서는 Valiani and Begnudelli (2006)가 제안한 DFB 기법에 대해 그 정의에 따라 엄밀하게 유도하여 논란이 된 근사 오차에 대해 검토한다. 또한, 천수 방정식의 수치해석에서 그 기법의 유용성에 대해 따져보기 위해 계산 격자의 잠김 여부에 따른 적용을 살펴보고, PSC에 대해 Begnudelli and Sanders (2006)가 제시한 VFR의 오류를 수정한다.
2. 이 론
2.1 지배방정식
지배방정식은 다음과 같이 2차원 평면,
에서 정의되는 천수방정식이다(Weiyan, 1992).
(1a)
여기에서 아래 첨자
그리고
와
는 각각 시간과 공간에 대한 편미분,
는 생성항 벡터이고 보존변수의 벡터,
,
방향의 흐름률 벡터,
,
방향의 흐름률 벡터,
는 각각 다음과 같다.
(1b)
(1c)
(1d)
여기에서
는 수심,
는
방향 유속,
는
방향 유속, 그리고
는 중력가속도이다. Eq. (1a)의 생성항은 바닥에서 경사와 마찰, 수면에서 대기압과 바람 응력, 체력(body force)으로서 Coriolis의 힘과 조석력 등 다양한 요소로 구성될 수 있다(Weiyan, 1992). 이 연구에서는 그 중에서 다음과 같이 바닥 경사에 의한 생성항,
을 고려한다.
(1e)
여기에서 위 첨자
와
는 각각 그 방향의 성분을 의미하고
는 바닥 표고이다.
2.2 수치해법
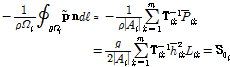
Eq. (1)을 유한체적법으로 해석하기 위해 그것을 임의의 유한 체적(즉, 면적),
에 대해 적분하고 흐름률 항의 적분에 Gauss의 발산 정리(divergence theorem)를 적용하여 다음과 같이 나타낼 수 있다.
(2)
여기에서
,
은
의 경계,
에서 외부로 향하는 단위 법선 벡터로서
이고,
은
의 선요소(line element)이다. Eq. (2)의 왼쪽 변에서 두 번째 항에 대해 천수방정식의 회전 불변성(rotational invariance)을 적용하면, Eq. (2)는 다음과 같이 변환된다(Zhao et al., 1994; LeVeque, 2002; Messerschmidt, 2012).
(3a)
여기에서 회전 행렬,
와 그 역행렬은 다음과 같다.
,
(3b, 3c)
의
번째 분할,
에 대한 근사로서 고정된 다각형 계산 격자,
와 보존변수에 대해 격자에서 조각적 상수(piecewise constant)인,
를 생각할 수 있다. 따라서 Eq. (3a)에서 왼쪽 변의 첫 번째 항은 다음과 같이 근사된다.
(4a)
여기에서
이고
는
의 면적이다. 그리고 Eq. (3a)에서 왼쪽 변의 두 번째 항은 그 격자를 이루는
개의 변에 대해 다음과 같이 근사될 수 있다.
(4b)
여기에서 계산 격자,
의 한 변,
에 대해
는 그 길이이고
이다. 마지막으로 Eq. (3a)에서 오른쪽 변의 생성항 또한 다음과 같이 근사할 수 있다.
(4c)
여기에서
,
, 그리고 적절하게 마련된 격자에서
와
는 상수이다.
Eq. (4)를 Eq. (3)에 대입하면,
개의 변으로 이루어진 계산 격자,
에 대해 다음과 같이 이산화 된 방정식을 얻을 수 있다(Zhao et al., 1994).
(5)
Eq. (5)의 동차(homogeneous) 형태(
)에 대해 격자의 변에서 법선 방향으로 1차원 쌍곡선 미분방정식의 초기치 문제인 Riemann 문제를 설정할 수 있다. 만약 흐름률의 계산에 어떤 Riemann 해법,
이 적용된다면, 
이다. 여기에서
는 변,
를 공유하는 인접 격자의 보존변수이다. 적용된 수치 해법에 대한 C-특성의 충족 여부는 정수 상태(
이고
)에서 Eq. (5)의 흐름률 항과 바닥 경사 생성항 사이의 선평형에 달려있다(Bermúdez and Vázquez, 1994).
2.3 SGM과 바닥 경사 생성항
van Leer (1979)는 압축성 이상 유체의 흐름률 계산에서 공간에 대해 2차의 정확도를 확보하기 위해 계산 격자에서 조각적 상수인 보존변수를 인접 격자들의 보존변수를 고려한 경사를 도입하여 선형으로 바꾸었다. 또한, 그 경사에 적절한 제한자(limiter)를 적용하여 각 변에서 설정되는 Riemann 문제의 초기치를 다시 부여하였다. 즉, 재구축 된
와
로부터
이다.
이러한 자료의 재구축에서 Zhou et al. (2001)은 바닥 표고가 고려되는 천수 방정식에 대해서는 수심보다 수위를 적용하는 것이 선평형에 유리하다고 보고 SGM을 제안하였다. 예를 들어, 1차원 구간,
에 위치한 계산 격자의 수위,
와 인접 격자들의 수위를 고려하여 그 격자 내에서 수위의 경사,
를 생각할 수 있다. SGM에서는 그 경사에 적절한 제한자를 적용한
가 이용되며, 결국 격자의 양쪽 경계에서 수위는 다음과 같이 재구축 된다(Zhou et al., 2001).
(6)
그런데
이므로 격자의 양쪽 경계에서 재구축 된 수심은 Eq. (6)으로부터 다음과 같다.
(7)
정수 상태에서는 물리적으로
이므로 Eq. (7)로부터 Eq. (5)의 생성항에서 바닥 경사를 다음과 같이 중앙 차분 기법으로 근사하여야 SGM에 의한 C-특성의 충족이 가능하다(즉, Z-특성이 충족된다; Zhou et al., 2001).
(8)
이때, 격자 내 바닥 표고가 선형이라면, Eq. (8)은 근삿값이 아니라 1차원 계산 격자의 정확한(exact) 바닥 경사이다. 또한, 2차원 직각 격자(Cartesian grid)의 중점에서 재구축이 이루어질 때에도 중앙 차분 기법에 의한 바닥 경사는 정확하다. 단, 격자의 꼭짓점들이 모두 같은 평면 위에 있어야 한다.
2.4 DFB 기법
Valiani and Begnudelli (2006)는 계산 격자 내 수위가 일정한 조건에서 바닥 경사 생성항을 정수압의 경사로 변환하였다. 격자 내 평균 수위,
에 대한 수심,
로 두어
방향의 바닥 경사 생성항에 적용하면 다음과 같다(Valiani and Begnudelli, 2006).
(9)
여기에서
는 물의 밀도,
일 때 정수압,
이고
이다. Valiani and Begnudelli (2006)는 정수압 벡터,
를 정의하여 바닥 경사 생성항을 그것에 대한 발산으로 보고 다음과 같은 DFB,
를 제안하였다.
(10)
Eq. (10)을
에 대해 적분하고 Gauss의 발산 정리를 적용하면 다음과 같다.
(11)
즉, 바닥 경사 생성항을 유한 체적의 경계에서 정수압의 효과로 나타낸 것이다.
Valiani and Begnudelli (2006)에 따르면, 먼저 변,
의 중점에서 바닥 표고(즉, 두 꼭짓점 표고의 평균),
로부터 그 변에 대한 ‘수치 수심’,
이다(Fig. 1 참조). 결국, 한 변에서 바닥 표고가 선형이라면,
는 그 변에서 평균 수심이다. 이 연구에서는 평균(mean) 수심을 이용하는 DFB를 mDFB로 표기한다.
에 의한 정수압,
(
)를 이용하여 그 변 전체에 작용되는 정수압,
를 나타내면 다음과 같다.
(12)
Eq. (12)에서 주목할 점은, 계산 격자에서 수위의 재구축이 각 변의 중점에서 이루어진다면, 정수 상태(
이고
)에서 흐름률의 계산에 이용되는 수심은 mDFB 기법에 의한 ‘수치 수심’과 일치하므로 두 기법에 의해 C-특성이 정확하게 충족된다는 사실이다. 이때, 계산 격자가 반드시 직각 격자일 필요는 없다.
Valiani and Begnudelli (2006)에 따라 Fig. 1과 같은 사변형 격자(
),
에 대해 Eq. (12)를 이용한 mDFB,
를 나타내면 다음과 같다.
(13)
3. DFB 기법의 재검토
3.1 엄밀한 유도
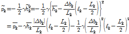
Roe (1987)는 비직각 격자(non-Cartesian grid)에 대한 Euler 방정식의 흐름률의 적분 근사에서 사다리꼴 공식(trapezoidal rule)에 따른 오차를 입증하였다. 그것이 평면 형상의 일그러짐에 의한 것이라면 여기에서 검토할 mDFB의 오차는 바닥 표고가 연직 방향으로 일정하지 않아 발생되는 것이며, 직각 격자에서도 나타날 수 있다. 변에서 표고가 선형이라면, Roe (1987)가 보인 것처럼, 그 오차는 명확하게 정의될 것이므로 굳이 그것을 무릅쓸 이유가 없다. 따라서 DFB를 Eqs. (10) and (11)의 정의대로 엄밀하게 계산하여 mDFB와 차이를 살펴볼 필요가 있다.
Fig. 2와 같이 격자 내 한 변,
에서 그 길이(
)에 따라 바닥 표고,
의 변화가 선형일 때, 그 변에서 수심은 다음과 같다.
(14)
여기에서
이다.
Eq. (14)로부터 그 변에서 정수압은 다음과 같다.
(15)
즉, 한 변에서 수심이 Eq. (14)와 같이 주어질 때, mDFB의
는 변의 중점 근방에서 DFB의
에 대한 Taylor 급수의 첫 번째 항에 불과함을 Eq. (15)로부터 확인할 수 있다. 이제
를 이용하여 그 변 전체에 작용되는 정수압,
를 다음과 같이 구할 수 있다.
(16)
Eqs. (12) and (16)의 비교에서 DFB에 비해 mDFB에는 각 변에서
가 누락되어 있음을 알 수 있다. 이는 사다리꼴 공식에 따른 오차이다. DFB 기법의 정확도 문제에 대해 Liu and García (2008), Kuiry et al. (2008) 그리고 Kuiry and Sen (2009)은 SGM과 같은 자료의 재구축이 DFB에 적용되지 않기 때문인 것으로 보았다. 그러나 Eqs. (14)~(16)에서 알 수 있듯이, DFB 기법은 Eq. (4c)와 동등하게 정확(exact)하다. 오히려, DFB에 수위의 경사를 도입하면, 그 이론의 기초가 되는 Eq. (9)가 성립되지 않는다. 다만, mDFB 기법의 오차는 명백하다.
Valiani and Begnudelli (2008)는 Eq. (11)이 아닌 Eq. (9)에 대한 적분의 비교를 통해 mDFB 기법의 정확도에 대해 제기된 의문을 해소하려고 시도한 바 있다. 그런데, DFB 기법의 주요한 근거 중 하나는, Eq. (11)에 보인 바와 같이, Gauss의 발산 정리에 의해 격자에 대한 면적 적분이 그 변을 따르는 회선 적분으로 바뀔 수 있다는 것이다. 따라서 그들의 시도는 그 전제에서 벗어나 있다.
mDFB 기법의 오차를 계산 격자의 한 변에 작용되는 정수압의 분포를 나타낸 Fig. 3에서 직관적으로 확인할 수 있다. 즉, mDFB 기법에 의한 생성항은 그림과 같은 격자의 한 변에 대해 오른쪽의 삼각기둥과 삼각뿔로 이루어진 정수압 대신 왼쪽의 사각뿔의 그것이 포함된 것이다. 두 체적의 차이를 계산해보면, Eq. (16)의
와 정확하게 일치함을 확인할 수 있다.
결국, Fig. 1의 사변형 격자(
)에 대해 Eq. (11)에 따라 회선적분을 엄밀하게 적용하여 구한 DFB 는 Eq. (16)을 이용하여 다음과 같다.
(17)
만약 길이가 같은 계산 격자의 대변에서 바닥 표고의 차이가 동일하다면, 즉 직각 또는 평행사변형 격자가 단일한 평면을 이룬다면,
는 상쇄되므로 mDFB와 DFB 기법에 의한 결과 사이에 차이는 없다. 그러나 그 경우를 제외한 사변형 또는 삼각형 계산 격자에 mDFB 기법을 적용한다면,
만큼의 오차를 감수해야 한다.
3.2 바닥 경사 생성항에 대한 기법들의 비교
격자의 기하로부터 구한 바닥 경사 그리고 DFB 및 mDFB 기법에 의한 생성항들을 사각형 계산 격자의 몇 가지 사례에 대해 검토한다. 먼저, 가장 단순한 경우로서 Fig. 4와 같이
인 정사각형 계산 격자에 대해 격자의 기하, DFB 기법, mDFB 기법, 그리고 Eq. (8)과 같은 중앙 차분 기법에 의해 계산된 생성항을 각각
,
,
, 그리고
로 무차원화 하여 Table 1에 정리하였다. 또한, 생성항의 계산에 적용된 수위를 표의 마지막 열에 보였으며, 중앙 차분 기법에서 수심과 표고는 모두 변의 중점에서 계산된 것이다. 표에서 보이듯이, 각 기법에 의한 값은 모두 일치한다. 생성항에 대한 계산 값의 일치는 직사각형 격자에 대해서도 동일하게 나타남을 확인하였다. DFB와 mDFB 사이에
만큼의 오차가 있음에도 두 기법에 의한 결과가 동일한 이유는, 전절에서 언급한 바와 같이, 격자의 대변에서 그 오차가 상쇄되기 때문이다.
두 번째는 첫 번째 예와 같은 정사각형 격자이나 동일한 평면을 이루지 않은 경우이며(Fig. 5 참조), 계산한 생성항의 값을 Table 2에 정리하였다. 단일한 경사가 결정되지 않으므로 표에서
는 Valiani et al. (2002)에 따라 계산 격자의 중심을 기준으로 네 개의 삼각형으로 나누어 생성항을 계산하고 각각의 면적에 대한 가중평균을 통해 계산된 것이다. 이 값과 DFB 기법에 의한 생성항의 값은 서로 정확하게 일치하여 계산 격자가 동일한 평면을 이루지 않더라도 DFB 기법에 의해 바닥 경사 생성항을 정확하게 결정할 수 있음을 알 수 있다. 그런데 그 값은 mDFB와 중앙 차분 기법에 의한 생성항의 값과 다르다. 전절에서 검토한 바와 같이, mDFB 기법에 의한 오차는 분명하므로 중앙 차분 기법에 의한 결과에서도 같은 평면을 이루지 못하는 정사각형 격자에 대해 동일한 오차가 있음을 알 수 있다. 또한, 직사각형 격자에 대해서도 마찬가지임을 확인하였다.
세 번째로 살펴 볼 계산 격자는 Fig. 6과 같은 사변형 격자이며, 격자의 경사는 정사각형의 경우와 동일하다. 이에 대한 생성항의 값을 계산하여 Table 3에 보였으며, mDFB 기법에 의한 오차를 재확인할 수 있다. 한편, 중앙 차분 기법에 의한 생성항의 값이 그것의 정확한 값과 다를 뿐만 아니라 mDFB 기법에 의한 값과도 차이가 있다.
마지막으로 세 번째 예와 같은 사변형 격자이나 동일한 평면을 이루지 않은 경우로서 Fig. 7에 보였으며, 생성항의 값을 Table 4에 정리하였다. 앞서 살펴본 세 가지 예와 같이, 가중평균과 DFB 기법에 의한 생성항의 값은 서로 정확하게 일치한다. 그러나 mDFB와 중앙 차분 기법에 의한 결과는 그 값과 차이가 있으며, 서로 다르다.
예를 든 경우들을 정리를 해보면, 모든 경우에서 DFB 기법에 의한 결과는 계산 격자의 기하로부터 구한 바닥 경사 생성항과 일치한다. 반면, mDFB와 중앙 차분 기법의 경우, 정확한 값과 일치가 바닥 경사가 정의되는 직각 격자에 국한된다. 다만, mDFB 기법의 경우, 동일 평면을 이루는 평행사변형 격자에 대해서도 정확하다. 사변형 격자에 대해 mDFB와 중앙 차분 기법에 의한 결과는 서로 다르며, 평면의 성립과 무관하게 정확한 값과 일치하지 않는다. 직각 격자가 아니더라도 SGM과 mDFB 기법에 의해 C-특성이 정확하게 충족될 수 있음을 2.4절에 밝힌 바 있다. 결국, 2차원 문제에서 SGM에 의한 Z-특성의 충족은 직각 격자에 국한된다. 이에 대해 Valiani and Begnudelli (2006), Aureli et al. (2008), 그리고 Hwang (2013)의 연구를 참조할 수 있다.
3.3 mDFB 기법과 흐름률의 수정
Eq. (17)과 전절에서 몇 가지 사례의 검토에서 보였듯이, 계산 격자의 특수한 경우를 제외하면, mDFB 기법으로는 바닥 경사 생성항에서 오차를 피할 수 없다. 그럼에도 불구하고, Valiani and Begnudelli (2006) 그리고 Hwang (2013)은 Maurel (1997)이 제안한 2차원 불규칙 하도(Fig. 8 참조)에 대해 SGM과 mDFB 기법에 의한 C-특성이 완벽하게 충족된다고 보고하였다.
이 의문에 대한 답을 Bradford and Katopodes (2001) 또는 Bradford and Sanders (2002) 그리고 Komaei and Bechteler (2004)가 제안한 흐름률의 수정에서 찾을 수 있다. Bradford and Katopodes (2001)가 흐름률의 적분에서 오차를 발견할 수 있었던 이유는 그들이 SGM처럼 자료의 재구축에서 수심이 아닌 수위를 적용하였기 때문이다. 변에서 선형인 수위로부터
이고 
이므로 Eq. (14)에
대신
를 대입하여 오차,
를 얻을 수 있다. 이는 흐름률에 대한 회선적분의 근사에서 사다리꼴 공식에 의한 오차로서 정수 상태(
)에서는
와 일치한다.
전절에서 검토한 바와 같이, 바닥 경사 생성항의 정확한 결정은 계산 격자가 동일한 평면을 이룰 때 그 격자의 기하로부터, 그렇지 않은 경우에는 가중평균이나 DFB 기법에 의해 가능하다. 따라서 이 기법들에 흐름률의 수정이 더해진다면, C-특성의 충족을 기대할 수 있다. 그러나 정수 상태에 적용될 경우, Eq. (5)의 양 변에 동일한
를 부가하는 꼴이 되어 애당초 흐름률의 수정 없이 mDFB 기법을 적용한 것만 못한 일이 되고 만다. 결국, 이것이 Valiani and Begnudelli (2006)와 Hwang (2013)의 결과에서 C-특성이 ‘완벽’하게 충족되는 이유이다.
그런데 정수 상태(
)는 DFB의 평균 수위가 SGM에서 재구축 된 수위와 일치하는 특수한 경우일 뿐이다. 그 외의 상황에서 두 오차,
와
는 상쇄되지 않는다. 따라서 흐름률의 수정과 생성항의 정확한 산정을 포기할 이유는 없다. 더욱이 DFB 기법이 필요 없는 삼각형 격자의 경우, 흐름률의 수정이 있어야 C-특성이 충족된다.
흐름률의 수정 여부에 따른 각 기법의 C-특성을 살펴보기 위해 불규칙 하도(Fig. 8 참조)에 대해 Hwang (2013)에 따라 세분된(refined) 삼각형 계산 격자를 구성하고 HLL-형 근사 Riemann 해법을 적용하여 모든 격자가 완전히 잠긴 정수 상태에 대해 1,000 s 동안 모의하였다. Table 5는 생성항에 mDFB 기법(Eq. (13)), DFB 기법(Eq. (17)), 그리고 정확한 바닥 경사(표에서 ‘GRD’)를 각각 적용하여 수위와
방향 운동량의 RMS (RootMeanSquare) 오차를 정리한 것이며, 마지막 열에 초기 수위도 보였다. 표를 살펴보면, mDFB 기법의 경우, C-특성의 충족을 위해 흐름률의 수정이 적용되지 않아야 되나, 그 외의 기법에서는 흐름률의 수정이 적용되어야 정수 상태가 유지됨을 확인할 수 있다. 즉, 계산 격자의 바닥 경사(‘GRD’) 또는 그 생성항(‘DFB’)을 아무리 정확하게 계산하여도 흐름률의 수정 없이는 C-특성이 충족되지 않는다.
3.4 DFB 기법에 대한 평가
흐름률의 수정이 적용된다면, 비단 C-특성의 충족만이 아니더라도, 바닥 경사 생성항의 정확한 산정이 필요하다. 또한, DFB 기법으로도 동일한 결과를 얻을 수 있음을 사례를 통해 살펴보았다. 그 기법의 진정한 의의는 평면을 이루지 못하는 계산 격자의 바닥 경사 생성항을 정확하게 계산할 수 있다는 점일 것이다. 따라서 삼각형 또는 바닥 경사가 정의되는 직각 격자에 이 기법이 적용되어야 할 필요는 없다.
Valiani and Begnudelli (2006)는 mDFB 기법의 장점에 대해 단순함과 비교적 저렴한 계산 비용을 들었다. 그러나 오차항,
를 부가하더라도 그 이론이 크게 복잡해지거나 연산의 크기 정도(order of magnitude)가 달라지지 않는다. 왜냐하면 그것이 전처리 단계(preprocessing state)에서 계산 격자의 기하로부터 미리 결정될 수 있기 때문이다. 다만, 계산 격자가 완전히 잠기기 않을 때에는 그렇지 않을 수 있다. 이에 대해서는 PSC에 대한 VFR와 함께 다음 장에서 검토한다.
4. PSC에 대한 VFR와 DFB
4.1 VFR
물이 잠기고 드러나는 전선이 계산 격자의 내부에 위치할 때 PSC를 고려할 수 있으며, 이때 격자 내 수심은 완전히 잠긴 격자의 그것에 비해 매우 작을 수 있다. PSC가 아니더라도, Eq. (1)과 같은 보존형 방정식의 수치해석에서 매우 작은 수심에 의한 수치해의 불안정성에 대해서는 잘 알려져 있다(Toro, 2001; Begnudelli and Sanders, 2006). 또한, 완전히 잠긴 격자와 달리, PSC에서는 수심과 수위의 관계가 더 이상 선형으로 나타나지 않는다. 따라서 PSC에서 그 관계를 정확하게 파악하는 것은 초기 수위로부터 격자 내 수심의 정확한 결정은 물론, 계산 과정에서 격자 내 수심으로부터 변에서 수위의 설정이 요구되는 SGM이나 DFB 기법의 적용에 매우 중요한 사항이다.
Begnudelli and Sanders (2006)는 삼각형 PSC에 대해 물의 부피(즉, 수심)와 수위 사이의 관계인 VFR를 유도하였다. 또한, 사각형 PSC에 대해서도 그것을 두 개의 삼각형으로 나누어 VFR를 적용한 뒤 계산된 물의 부피를 각각의 면적에 대한 가중평균을 통해 물의 부피와 수위의 관계가 결정될 수 있다(Begnudelli and Sanders,2007). 따라서 삼각형 PSC에 대한 VFR를 기본으로 다각형 계산 격자에 대해 수위-수심 관계를 결정할 수 있는 것이다.
Komaei and Beckteler (2004)도 삼각형 격자에 대한 VFR를 제시한 바 있으나, 관련 식이 확인되지 않는다. Simões (2011)는 선형 및 최소자승(least-squares) 보간을 통해 각각 격자 내 잠긴 면적을 추정하고 ‘유효 수심(effective depth)’을 도입하였으나 엄밀함과는 거리가 있다. Song et al. (2011)은 Begnudelli and Sanders (2006)의 VFR와 Komaei and Beckteler (2004)의 ‘등가 수심’의 절충을 시도한 바 있으나, 의미 있는 진전을 찾기 어렵다.
세 점,
,
, 그리고
으로 이루어진 삼각형 격자에서 꼭짓점 표고의 관계를
으로 두면, Begnudelli and Sanders (2006)의 VFR는 다음과 같다.
for LPSC
(18a)
for UPSC
(18b)
Eq. (18)을 살펴보면, 수면의 형상이 삼각형인 LPSC (Fig. 9 참조)에서 주어진 수심에 대해 수위가 3차식(Eq. (18a))으로 표현되는 반면, 그것이 사각형인 UPSC (Fig. 10 참조)에 대해서는 그 관계가 오히려 2차식(Eq. (18b))으로 더 단순함을 알 수 있다. VFR가 수위에 따른 수면의 적분으로 계산되는 물의 부피로부터 수심이 결정되는 사실을 생각한다면, Eq. (18)에 의문이 들 수밖에 없다.
4.2 VFR의 재검토와 수정
먼저, Fig. 9와 같은 LPSC에서 물의 양은 그 가장자리로 이루어지는 삼각뿔의 부피와 같다. 수면이 변,
와 만나는 점을
로 두면,
, 
, 그리고
이다. 여기에서 정수,
와
에 대해
와
이고
이다. 또한, 변,
와 만나는 점,
는 다음과 같다.
(19)
마지막으로 수면 아래의 꼭짓점,
로부터
이다. 삼각뿔의 밑면인 삼각형
의 면적,
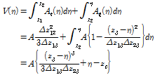
는 다음과 같이 구할 수 있다.
(20)
여기에서
는 계산 격자의 면적이다.
에 대해 Eq. (20)을 적분하면, 수위에 따른 물의 부피를 구할 수 있다. 그런데 삼각뿔의 부피,
는 다음과 같이 밑면의 넓이와 높이로부터 쉽게 얻을 수 있다.
(21)
따라서 LPSC에서 수위에 따른 수심은 다음과 같다.
for LPSC (22)
Eq. (22)는 Eq. (18a)와 동일하며, LPSC에서 주어진 수심에 대한 수위는 다음과 같다.
for LPSC (23)
한편, Fig. 10과 같은 UPSC의 경우, Fig. 9의 LPSC와 달리 수면은 사변형이 된다. 수면 아래의 꼭짓점,
로부터
이고 수면이 변,
와 만나는 점,
은 다음과 같다.
(24)
일 때, 수면의 면적은 사변형
의 면적(
)이므로 다음과 같이 구할 수 있다.
(25)
이제, Eq. (25)를
에 대해 적분하고 그 아래의 부피를 더하면, 다음과 같이 UPSC에서 임의의 수위에 대한 물의 부피를 구할 수 있다.
(26)
여기에서
이다. 따라서 UPSC에서 수위에 따른 수심은 다음과 같다
for UPSC (27)
Eq. (27)을 이용하여 UPSC에 주어진 수위를 이용하여 수심을 구할 수 있으며, 이 식은 Begnudelli and Sanders (2006)가 제안한 Eq. (18b)와 전혀 다르다.
Eq. (27)에 대한 해의 특성을 살펴보기 위해
로 두어 그에 대한 함수,
로 나타내면 다음과 같다.
(28)
Eq. (28)로부터
을 이용하면, 극값, 
이다. 따라서 실수의 해가 존재하려면,
이어야 한다. 그런데,
이고
이므로
이다. 그러므로
이고
이면,
인 해가 존재한다.
먼저,
(즉,
일 때)이 성립하기 위한 수심의 조건은 다음과 같다.
(29)
또한,
(즉,
일 때)에 걸맞은 수심의 조건은 다음과 같다.
(30)
Eqs. (29) and (30)를 종합하면,
에 대해 실수의 해(
)가 항상 존재함을 알 수 있다. 따라서 그 구간 내에서 물리적으로 타당한 수심만 주어진다면, Eq. (28)을 해석적 또는 근사적 방법(예를 들어, Newton 방법 등)을 이용하여
에 대해 푼 뒤
를 이용하여 UPSC의 수위를 구할 수 있다. 다만, 그에 따라 부가되는 계산 비용은 피할 수 없을 것이다.
4.3 수정된 VFR의 검증
Hwang (2013)은 불규칙 하도(Fig. 8 참조)를 삼각형 계산 격자로 분할하고 수위를 재설정하여 지형이 완전히 잠기지 않은 상태에서 Begnudelli and Sanders (2006)가 제안한 VFR (Eq. (18) 참조)를 적용한 바 있다. 그러나 그들의 VFR는 전절에서 엄밀하게 유도한 그것과 비교할 때 오류가 있는 것으로 여겨진다. 그럼에도 불구하고, Hwang (2013)은 PSC에 대해 VFR와 함께 mDFB 기법을 적용했을 때만 C-특성이 충족된다고 보고하였다. 그 이유는 초기에 잘못된 함수(Eq. (18b))에 의해 격자 내 엉뚱한 수심이 설정되어도 정수 상태에서는 그 역함수에 의해 초기 수위와 동일한 값을 돌려받기 때문이다.
수정된 VFR를 명백하게 검증하기 위해 부피가 이미 알려져 있는, 간단한 도형으로 구성되는 UPSC (Fig. 11 참조)에 대해 그 관계를 검토하는 것도 한 방법일 것이다. 그림에서 계산 격자는
인 이등변 삼각형이다. 격자의 꼭짓점 좌표는
,
, 그리고
이고 수면과 만나는 두 점은 Fig. 10과 표기를 일치시켜
그리고
이다. 그림에서 보이듯이, 물의 부피는 중앙에서 하나의 삼각기둥(
)과 왼쪽과 오른쪽에서 동일한 사각뿔(
) 두 개로 구성된다. 수위가 무차원량으로
일 때, 각각의 부피는
,
이므로 격자 내 물의 부피,
이다. 또한, 격자의 면적,
이므로 격자 내 수심,
이다.
Table 6은 Fig. 11의 PSC에 대해 Eq. (18b)의 VFR와 이 연구에서 수정된 그것에 의한 물의 부피와 수심을 계산한 것이다. 표에서 부피는 수심을 격자의 면적과 곱한 값이다. 또한, 수심의 비교를 위해 통분하였으며, 설정된 수위도 함께 보였다. 표에서 알 수 듯이, Begnudelli and Sanders (2006)의 VFR에 의한 값은 알려진 도형으로 구분하여 구한 값(표에서 ‘Exact’)보다 더 크나 이 연구에서 수정된 그것에 의한 값은 정확하게 일치한다. 이때, 상대오차는 약 11%로 작다고도 볼 수 있다.
그러나 이등변 삼각형 PSC 내 수위-수심 곡선을 비교한 Fig. 12를 살펴보면, 수위에 따라 무시하기 어려운 차이가 있음을 알 수 있다. 예를 들어, 수위가 격자의 중심에 있을 때(
0.555), 정확한 수심은 0.164이다. Begnudelli and Sanders (2006)의 VFR에 의한 수심은 더 크며, 절대 오차가 0.082이고 상대오차는 50%이다. 이때, 무차원량으로 계산되었으므로 격자의 규모가 달라지더라도 그 조건이 동일하면 상대오차는 여전하다. 그림에서 알 수 있듯이, 그들의 VFR는 수정된 그것에 대한 근사로 볼 수도 있겠으나, 주어진 수위에 대해 그들의 VFR에 의한 수심은 정확한 값보다 항상 더 크다. 또한, Table 5와 동일한 조건에서 PSC가 드러나도록 수위를 6 m로 낮추었을 때, 그들의 VFR에 의한 PSC 내 물의 양은 정확한 값보다 더 많았으며, 그때의 상대오차는 9%로 확인되었다.
4.4 PSC에 대한 DFB
3.3절에서 살펴본 바와 같이, 계산 격자의 바닥 경사를 정확하게 결정하거나 여의치 않을 경우에는 가중 평균이나 DFB 기법을 적용하여 바닥 경사 생성항을 정확하게 산정하고 흐름률의 계산에서 표고의 차이에 의한 오차를 보정할 수 있다. 따라서 PSC에 대해서는 VFR를 이용하여 격자 내 수심 또는 수위를 정확하게 계산할 수 있다면, 질량 보존의 측면에서 물리적으로 보다 타당한 결과를 얻을 수 있을 것으로 기대할 수 있다.
Table 7은 Table 5와 동일한 조건에서 PSC가 나타나도록 수위를 낮추어 모의한 결과를 정리한 것이다. 앞서 기대한 바와 달리, 흐름률의 수정이 없는 mDFB 기법에 의해서만 C-특성이 충족되었다. 오히려 그것이 적용될 때, 모의에 실패하였다(표에서 ‘-’).
그 이유는 PSC에서 일부만 잠기는 변, PSE (Partially Submerged Edge)에 대해 흐름률과 바닥 경사 생성항에서 정수압의 계산에 오류가 있기 때문이다. mDFB 기법의 경우, Greco et al. (2008)은 수위가 변의 중점에서 표고보다 낮아 수심이 음인 경우에 대해 영으로 처리하면 어쨌든 선평형성이 충족됨을 보인 바 있다. 그러나 이러한 방식은 제대로 된 대처라고 볼 수 없다. 왜냐하면 수위가 모든 변의 중점 표고보다 낮은 PSC에 대해서는 격자 내 물이 있음에도 계산에서 누락되므로, 선평형성의 충족을 내버려두고 문제 삼지 않더라도, 질량과 운동량의 보존이 훼손되는 결과를 낳을 수 있기 때문이다. 또한, PSC에 대해 VFR를 적용하여 격자에 대한 보존법칙을 정확하게 해석하려는 의도와도 맞지 않는다.
DFB 기법에 의해 바닥 경사 생성항이 각 변에서 정수압의 효과로 간주되므로 그 변이 완전히 잠긴 경우에는 Eq. (17)이 그대로 적용되는 것이 타당하나, PSE에 대해서는 그 효과가 미치는 변의 일부만 적용되어야 그 원리에 부합될 것이다. 즉, DFB 기법을 Fig. 11에서 삼각형,
이 아니라 사변형,
에 대해 적용하여야 한다(물론, 변,
에서 수심이 영이므로 계산량은 동일하다). 이를 위해 필요한
와
의 좌표는 각각 Eqs. (19) and (24)로부터 구할 수 있으며, 그로부터
와
가 계산되므로 Eq. (17)을 PSE에도 적용할 수 있다. 물론, 흐름률의 수정에 대해서도 마찬가지이다. Table 8은 Table 7과 동일한 조건에서 그에 따른 결과이다. 표에서 알 수 있듯이, mDFB 기법은 PSE의 고려와 무관하고 ‘GRD’ 그리고 DFB 기법의 경우, PSE를 고려하지 않는 경우(Table 7 참조)와 반대로, 흐름률의 수정이 있을 때 C-특성이 충족되고 그렇지 않은 경우에는 모의에 실패한다. 따라서 ‘GRD’ 그리고 DFB 기법의 경우, C-특성이 충족되기 위해서는 흐름률의 수정이 있어야 하고 PSC에 대해서는 PSE가 반드시 고려되어야 한다.
5. 결 론
DFB에 대해 재검토하고 PSC에 대한 VFR를 수정하였으며, 도출된 결론은 다음과 같다.
1)DFB를 엄밀하게 유도하였으며, 변에서 평균 수심을 이용하는 mDFB의 오차를 명확하게 입증하였다. 그 오차 때문에 삼각형과 사변형 계산 격자에 대해 mDFB와 중앙 차분 기법에 의한 결과는 평면의 성립과 무관하게 바닥 경사 생성항의 정확한 값과 일치하지 않는다.
2)DFB 기법은 바닥 경사 생성항을 정확하게 결정할 수 있는 방법임을 입증하였으며, mDFB에 비해 추가되는 계산 비용 또한 미미하다. 그러나 바닥 경사가 정의되는 계산 격자에 이 기법이 적용될 필요는 없다.
3)계산 격자의 기하 또는 DFB 기법에 의해 바닥 경사 생성항이 정확하게 결정되더라도, 흐름률의 수정이 없으면 SGM에 의한 C-특성은 충족되지 않는다.
4)PSC에 대한 기존의 VFR에서 오류를 수정하고 수정된 식에 대해 물리적으로 타당한 해가 존재함을 증명하였다. 기존의 식에 의하면, 주어진 수위에 대해 PSC 내 수심이 항상 더 크고 그 상대오차가 50%까지 커질 수 있다.
5)PSC에 SGM과 DFB 기법을 도입하여 흐름률과 생성항의 계산에서 엄밀함과 정확성을 제고하려면, PSE가 반드시 고려되어야 한다.
유한체적법을 통해 근사 Riemann 해법을 천수방정식에 적용할 때, 이 연구에 의해 보다 정확한 수단이 제공될 수 있다. 특히, PSC에 대해 PSE를 고려한 엄밀한 계산은 홍수터나 조간대의 잠김과 드러남(wetting and drying)에서 그 전선을 명확하게 결정하는데 도움이 될 것으로 기대된다. 향후 연구로서 여기에서 제시된 정확도의 개선이 천수 흐름 전반에 미치는 영향을 정량적으로 검토할 필요가 있다.




-th face in cell

-th face













)
)





