1. 서 론
2. 연구수행 방법
2.1 기후변화 시나리오
2.2 통계적 후처리과정
2.2.1 선형보정기법(Linear scaling method, LSM)
2.2.2 분산보정기법(Variance scaling method, VSM)
2.2.3 분위사상법(Quantile mapping method, QMM)
2.2.4 변화율법(Change factor method, CFM)
2.2.5 단계적 스케일링 기법(Step-wise scaling method, SWS)
2.3 수문모형
2.3.1 SWAT
2.3.2 VIC
2.4 불확실성 평가기법
2.4.1 불확실성
2.4.2 분산분석기법과 불확실성 평가
2.4.3 이중샘플링기법
3. 대상유역 및 자료구축
3.1 대상유역
3.2 관측 수문기상 및 지형자료 수집
3.3 수문모형 구축
3.3 수문모형 구축
3.4 기후변화 시나리오 수집
4. 적용 및 분석
4.1 기후시나리오 구축 및 미래 기후 전망
4.1.1 RCM의 과거 기후모의 능력 분석
4.1.2 통계적 후처리기법의 적용성 분석
4.1.3 미래 기후전망
4.2 수문시나리오 생산 및 수문전망
4.3 미래 수자원 전망의 불확실성 평가
5. 결론 및 향후계획
1. 서 론
최근 전지구적으로 발생하는 기후시스템의 변화는 수문순환의 변화를 초래하여 수자원의 시공간적 변화를 야기할 것으로 전망된다(Lee and Bae, 2015). IPCC AR5 (The fifth Assessment Report of Intergovernmental Panel on Climate Change)는 현재 추세로 저감없이 온실가스를 배출한다면 금세기 말(2081~2100년)의 지구평균기온은 현재(1986~2005년) 대비 3.7°C 상승하고 해수면은 약 63 mm 상승할 것으로 전망하였다. 또한 온실가스 배출 증가는 수자원 관련 위험성 증가를 야기하며, 아시아 지역은 많은 인구와 수자원의 시공간적 변동성으로 인해 물부족에 따른 피해가 더욱 심화될 것으로 전망하였다(IPCC, 2013). 따라서 기후변화에 따른 수자원의 영향평가를 수행하고 그에 적응할 수 있는 수자원 관리방안이 요구되고 있다.
기후변화에 따른 수자원 영향평가 결과를 실제 물관리 정책에서 활용하기 위해서는 기후변화에 따른 수자원 전망 결과에 신뢰성이 내재되어 있어야 한다. 하지만 기후변화를 고려한 수자원 영향을 평가하는 방법은 온실가스 배출시나리오, 전지구기후모의, 지역기후모의, 수문모델링 등 여러 단계를 거치는데, 평가 시 각 단계마다 불확실성이 발생하여 최종 결과에는 많은 불확실성이 존재한다(Bae et al., 2011). 또한 전세계적으로 각 단계 별 평가방법 및 모형이 다양하여 어떠한 모형이나 방법을 사용하는지에 따라 평가 결과의 차이가 발생하는 한계점이 있다. 불확실성을 최소화하고 신뢰성 있는 미래 수자원 전망 결과를 도출하기 위해서는 평가 시 발생하는 불확실성을 정량적으로 평가할 수 있는 기술 개발이 요구된다.
최근 기후변화에 따른 수자원 영향평가에 대한 불확실성 연구들이 수행되고 있다. Kay et al. (2009)은 영국의 2개 소유역에 대해 미래기간의 홍수빈도 변화를 평가하였으며, 각 단계별 불확실성을 단순히 변화율의 범위를 비교하여 GCM에 의한 불확실성이 가장 크다고 제시했다. Prudhomme and Davies (2009)도 영국의 3개 소유역에 미래 월평균 유량 변화에 대한 GCM, 상세화기법, 수문모형의 종류와 매개변수에 대하여 단계별로 불확실성을 정량화하였으며, GCM 시나리오에 의한 불확실성이 가장 크다고 제시하였다. Chen et al. (2011)은 2개 배출시나리오, 6개 GCMs, 4개 상세화기법, 3개 수문모형을 이용하였으며, GCM에 의한 불확실성이 가장 크다고 제시하였다. Xu et al. (2011)은 하천 유량, 특히 홍수량과 갈수량의 기후변화 영향 평가 시 온실가스 배출시나리오와 GCM 선정에 따른 불확실성을 평가하였다. Wilby and Harris (2006)은 기후변화에 따른 영국 템즈강 유역의 저유량 평가 시 발생하는 불확실성을 평가할 수 있는 기법을 Monte Carlo 모의를 통해 개발하였다. 현재까지의 불확실성 연구는 대부분 앙상블 모형 및 기법의 결과를 이용한 불확실성의 범위를 추정하는 연구와 각 평가단계별 불확실성의 단순 비교를 통한 불확실성을 분석하는 연구가 진행되고 있다.
기후변화를 고려한 수자원 영향평가 시 발생하는 불확실성을 정량적으로 분석할 수 있는 기술개발이 필요하며, 발생된 불확실성의 각 단계의 기여도를 분석하여 각 평가목적에 적합한 평가 체계를 구성할 수 있는 가이드라인이 요구된다. 특히 상세화기법과 수문모형은 기후변화에 따른 수자원 평가 시 매우 중요한 역할을 한다. 하지만 전세계적으로 다양한 방법 및 모형이 존재하여 각각의 연구자가 사용할 수 있는 주관적인 방법들이 주로 사용되고 있으나, 평가목적 및 특성에 따라 적합한 방법론을 구성하여 평가하는 것이 중요하다. 따라서, 본 연구의 목적은 기후변화에 따른 수자원 영향평가 시 발생할 수 있는 불확실성의 요인을 정량적으로 평가하기 위한 단계별 불확실성 평가기법을 개발하고, 이를 통해 상세화기법 및 수문모형이 불확실성에 미치는 요인을 분석하고자 한다.
2. 연구수행 방법
기후변화에 따른 수자원 영향평가는 온실가스 배출시나리오와 전구기후모형을 통해 생산된 전구 기후변화 시나리오를 이용한다. 해상도가 낮은 전구 기후변화 시나리오를 적용유역에 적합한 해상도로 상세화하는 과정을 상세화기법이라 하고, 크게 역학적 상세화기법과 통계적 상세화기법으로 구분된다. 본 연구에서는 온실가스 배출시나리오와 GCM은 고정하고, 지역기후모형, 통계적 후처리기법, 수문모형에 대한 불확실성을 비교하고자 한다. 따라서 생산된 미래 전망결과의 불확실성을 정의하고 분산분석기반의 불확실성 평가기법을 통해 3단계의 불확실성의 기여도를 평가하고자 한다(Fig. 1).
2.1 기후변화 시나리오
기후시스템에 대한 인위적인 요인으로 인한 변화는 지구시스템의 모든 주요 진행과정에서 수학적 공식으로부터 도출될 수 있는데, 이것은 매우 복잡하기 때문에 전구기후모델(GCM)을 이용하고 있다(IPCC, 2001). 따라서 기후변화 시나리오는 미래의 가상 온실가스 배출시나리오에 근거하여 GCM을 통해 생산한다. GCM은 물리적 과정에 기초한 대기/해양/지면의 3차원 자료를 객관적으로 제공할 수 있어 인위적 요인에 의한 복사강제력의 변화에 따른 지구 기후시스템의 변화를 모의하거나 전망하는데 유용한 도구이다. 기후모델은 전지구상의 대륙과 해양을 격자로 분할하여 기온, 수증기, 바람 등의 시간변화를 물리법칙에 기초하여 산출한다. 기후모의를 위해서 기후시스템의 주요 성분들은 간단한 모델들(대기, 해양, 지표면, 빙권과 생물권)과 이들 성분들 사이의 과정도 표현된다. 하지만 GCM을 통해 생산된 기후정보의 경우 해상도가 낮기 때문에 이를 RCM을 이용하여 역학적으로 상세화한다.
역학적 상세화기법은 전지구 기후모델에서 생산된 자료를 경계자료로 사용하여 지역기후모델을 적분하여 고해상도 기후정보를 생산하는 방법이다. 이 기법은 저해상도 보다 상세한 공간 해상도의 대기의 물리 및 역학적 과정들을 모의함으로써 미래 기후자료들을 고해상도로 생산할 수 있다. 시간에 따라 변하는 대규모 대기 순환과 해수면온도(SST), 해빙 등이 저해상도의 경계 조건으로 주어지며, 모의영역의 경계 조건이 강제력으로 작용하는 상세한 지역기후를 모의하게 된다. 특히, 하부 격자규모의 물리 과정에 중요한 영향을 미치는 지형, 대기-해양 차이, 토지이용 등과 같은 상세한 지표 강제력 등이 역학적 상세화기법의 지역기후모델에서 고려되어 기후모의가 수행된다. 고해상도 지형자료를 사용하는 지역기후모델에서는 고해상도 격자 규모 대기의 역학적인 변동을 모사하기 때문에 보다 상세한 자료를 생산할 수 있게 된다.
본 연구에서는 CORDEX (COordinated Regional climate Downscaling EXperiment) -East Asia 프로젝트에서 생산된 기후시나리오를 활용하였다. CORDEX는 지역기후모형을 통해 생산된 지역기후 시나리오의 비교·검증하기 위한 실험으로 현재 전세계적으로 생산되는 지역기후시나리오를 구축 및 검증을 수행하고 있다. 북아메리카, 중앙아메리카, 남아메리카, 유럽, 아프리카, 동아시아, 호주 등 총 13개 영역에 실험하고 있으며, 본 연구에서는 동아시아영역의 기후시나리오 자료를 수집하였다. CORDEX East Asia는 우리나라가 주도적으로 실험을 진행하고 있으며, 현재까지 구축된 자료는 RCP8.5, RCP4.5의 HadGEM2-AO 자료를 RCM을 이용하여 상세화하였다. 사용된 RCM의 종류는 HadGEM3-RA (기상청), RegCM4 (공주대), MM5, WRF (서울대), YSU-RSM (연세대)로 총 4개 기관의 5개 기후모형 결과가 제공되고 있다. 각 모형의 특성 및 주요 내용은 KMA (2010)와 Lee (2016)을 참고하기 바란다.
2.2 통계적 후처리과정
GCM이나 RCM 등에서 생산되는 기후모의 결과는 기후모형의 구조적, 모수화 과정 등의 한계로 인하여 편의가 발생한다(Bae et al., 2008). 따라서 통계적 후처리기법이란 편의가 있는 기후모의 결과를 관측자료의 특성을 고려하여 현재 관측되고 있는 기후조건으로 보정시켜주는 방법이다. 통계적 후처리기법은 다양한 방법들이 존재하지만 크게 2가지 방법으로 구분된다. 첫 번째는 관측치와 모의자료를 비교하여 편의를 산정한 후 편의를 시나리오에 적용하는 방법이다. 두 번째는 미래 시나리오 자료와 과거 모의자료의 기후변화율을 산정하여 이를 관측자료에 적용하는 방법이다. 첫 번째 방법은 시나리오에서 발생하는 패턴을 유지시킬 수 있다는 장점이 있으나, 발생하는 모든 종류의 편의를 반영할 수 없기 때문에 일부 부정확한 값들이 발견될 수 있다. 두 번째 방법은 관측자료 기반의 시나리오 자료가 생산되며 기후 발생패턴이 관측자료와 동일하기 때문에 영향평가 모형에 적합한 결과를 산출할 수 있으나, 관측자료의 동일한 패턴을 반복하기 때문에 기후의 비정상적 변화를 고려하지 못하는 한계가 있다.
2.2.1 선형보정기법(Linear scaling method, LSM)
선형보정기법은 기후변화 시나리오에서 가장 많이 쓰이는 보편적인 방법이다. 이 기법은 기준기간의 관측치와 모의치의 월별 편차를 산정하여 미래기간에도 같은 편차가 발생한다고 가정하여 미래기간의 모의치에 적용하는 방법이다. 모의된 기후시나리오 모의치와 관측치의 차이를 월별로 산정하여 모의된 미래 기간의 자료에 적용하는데 기온은 그 차이를 강수량은 비율을 적용한다.
(1)
(2)
여기서,
는 각 월,
는 기상자료의 시계열,
은 과거 및 미래기간의 년수,
와
는 기온과 강수량의 관측치이며,
와
는 모의된 과거기간 및 미래기간의 기온이고,
과
는 기후모형을 통해 모의된 과거기간과 미래기간의 강수량을 의미한다. 최종 보정된 기온과 강수량은
,
이다.
2.2.2 분산보정기법(Variance scaling method, VSM)
월별 평균 및 표준편차를 이용하여 보정하는 방법이다. 이 기법은 Eq. (3)과 같이 두 가지 변수(
,
)로 구성된다.
는 관측치와 모의치의 변동계수를 보정하는 매개변수로 모의치에 대입하여 변동계수를 산정하였을 때 관측치의 변동계수와 가장 동일한
를 찾는다(Eq. (4)). 결정된 매개변수
를 적용하여 산정된 월별 평균강수량의 차이를 보정하기 위해
를 이용하여 월별 평균강수량의 차이를 보정한다(Eq. (5)).
(3)
(4)
(5)
여기서,
는 각 월,
는 기상자료의 시계열,
는 보정된 미래 기후시나리오,
는 미래 기후시나리오 원자료,
는 관측 강수량,
기준기간의 기후시나리오를 의미한다.
2.2.3 분위사상법(Quantile mapping method, QMM)
비초과확률을 기반으로 한 기후모형의 일단위 기상정보의 편의보정기법이다. 모의된 일단위 기후자료와 관측자료의 일단위 기후자료를 이용하여 확률분포의 누가밀도함수(CDF)를 추정한다. Fig. 2와 같이 추정된 CDF에서 일반적으로 GCM은 강수량을 모의하는 모형이 아니라, 발생량을 추정하기 때문에 현실에 비해 매우 작은 강수량이 과다하게 발생하는 경향이 있다. 관측자료에서 강수가 발생하는 비초과확률 지점을 교정임계치(calibrated threshold)라고 하여 그 확률 아래에서는 무강수로 가정한다. Fig. 2과 같이 GCM의 임의 강수량(
)는 Eq. (6)을 거쳐
로 보정시킨다.
(6)
2.2.4 변화율법(Change factor method, CFM)
기준기간과 미래기간의 월별 변화율 및 변화량(Change factor)을 산정하여 과거기간 관측자료에 그 변화율 만큼을 적용해서 시나리오를 생산하는 방법이다. 모의된 기후시나리오 기준기간과 미래기간의 차이를 월별로 산정하여 과거 관측 자료에 적용한다.
(7)
(8)
여기서,
는 각 월,
는 기상자료의 시계열,
은 과거 및 미래기간의 년수,
와
는 기온과 강수량의 관측치이며,
와
는 기후모형을 통해 모의된 과거기간 및 미래기간의 기온이고,
과
는 기후모형을 통해 모의된 과거기간과 미래기간의 강수량을 의미한다. 최종 보정된 기온과 강수량은
,
이다.
2.2.5 단계적 스케일링 기법(Step-wise scaling method, SWS)
단계적 스케일링 기법은 기후모형으로 모의된 강수량을 총 3구간(극치호우사상, 무강수일수, 강수량의 평균과 표준편차)으로 나누어 각 구간에 따라 각기 다른 방법을 적용하여 보정하는 기법이다. 극치호우사상은 회귀식을 이용한 보정기법, 무강수일수는 분위사상법의 비초과확률을 이용한 보정기법, 나머지 부분에 대해서는 평균 및 분산보정 기법을 적용하는 방법으로 자세한 내용은 Lee and Bae (2013)을 참조하기 바란다.
2.3 수문모형
본 연구에서 수자원 영향평가를 위해 준분포형모형인 SWAT 모형과 분포형 수문모형인 VIC 모형을 선정하였다. SWAT은 미국 농무성 농업연구소(USDA Agricultural Research Service, ARS)의 Jeff Arnold에 의해 개발된 유역모델로서 Soil and Water Assessment Tool의 약자이다. SWAT 모형은 물리적 이론에 근거하여 유역내의 기상, 토양특성, 지형, 식생 등에 대한 구체적인 정보를 이용하여 물의 거동을 모의한다. 이 모형은 국내뿐 아니라 전 세계적으로 높은 활용성으로 인해 많은 연구에 활용되고 있다. 또한, VIC 모형은 1994년 미국 University of Washington의 Dennis Lettenmaier 박사 연구팀에 의해 개발되었으며, 대기와 식생 그리고 토양의 상호작용 등의 수문과정을 기반으로 water 및 energy flux를 모의하는 분포형 모델이다(Liang et al., 1994). 모델은 크게 water balance, channel routing, energy balance 등으로 구성되어 있으며, 각 모듈은 독립적으로 수행된다. 모델에서 적용 가능한 격자의 범위는 1/8°~2° 정도로 다양한 공간분해능이 가능하다.
2.3.1 SWAT
SWAT 모의를 위해 전체유역을 소유역으로 구분하고, 각 소유역에 대해 동일한 토양형과 토지피복을 갖는 면적별로 구분하여 동일한 유출현상을 갖는 단위로 구분하는데, 이 단위를 수문학적 반응단위(Hydrologic Response Unit; 이하 HRU)라 한다. 따라서 SWAT 모형은 모든 수문성분에 대해서 각 HRU별로 모의를 하며 모의 결과 값은 해당 소유역의 주하도 유입량이 된다. 이렇게 각 소유역에 대해서 계산단위시간(
)동안 해당 HRU들로부터 들어온 유입량은 소유역 주하도의 하도추적을 통해 각 소유역 유출량이 된다.
하나의 HRU에서 강수로 인한 지표수, 토양수 또는 측방흐름, 침루량, 지하수 함양량, 지하수, 증발산량 등의 수문성분 거동형태는 다음과 같이 산정된다. 우선, 수정 SCS 방법을 이용하여 지표수를 산정하고 강수량에서 지표수를 뺀 나머지 양은 토양표면 아래로 침투된다(Sloan and Moore, 1984). 이 양은 기존 토양수분량에 추가되고 포장용수량(field capacity)을 초과하는 토양수분량은 중력수로 정의되어 측방흐름과 침루량으로 이동하게 된다. 나머지 토양수분량은 식생과 기상조건에 따라 영구위조점(permanent wilting point)에 도달할 때까지 모관수로 정의되어 증발산으로 토양층내에서 제거된다. 마지막 토양층에서의 침루량은 지하수함양량으로 얕은 대수층(shallow aquifer)에 저장되어 있는 지하수에 추가된다. 이 양 중 일정부분은 하천으로 회귀하는 지하수로, 또는 깊은 대수층(deep aquifer) 및 토양층으로 이동한다. 여기서, 지표수와 측방흐름, 지하수가 본 연구에서 제시하고자 하는 유출량에 해당한다.
2.3.2 VIC
VIC 모형은 크게 차단층(canopy)과 3개의 토양층(soil layer)으로 구분되며, 한 격자내에서도 다양한 지형조건과 토양의 물리적 특성을 고려함으로써 대규모 스케일(large scale)에 적합한 장주기 수문해석을 수행한다. 차단층에서는 동일 피복종류별 면적비를 고려하여 각 피복특성이 반영된 차단 및 증발을 모의하며, 보통 식생지대 및 나대지로 구분된다. 토양층의 경우 깊이에 따라 최상부토층(top thin layer), 상부토층(upper layer), 하부토층(lower layer)으로 구분된다. 최상부토층은 침투에 직접적인 영향을 받는 지역이며, 토양수분의 변화에 가장 민감하다. 또한 중력식 배수를 통해 상부토층으로 침루량을 모의하며, 식생 및 나대지 지역의 여부에 따라 증산 및 증발모의가 결정된다. 상부토층에서는 최상부 토층과 더불어 강우시작 후 토양층의 포화여부에 따라 지표유출이 모의되며, 증산 및 하부토층에 대한 침루량이 계산된다. 하부토층에서는 상부토층에서 유입된 침루량으로부터 증산과 기저유출이 모의된다(Liang et al., 1996).
2.4 불확실성 평가기법
2.4.1 불확실성
불확실성의 사전적인 의미는 확실하지 아니한 성질 또는 그런 상태를 의미한다. 따라서 본 연구에서 수행하는 기후변화에 따른 수자원 영향평가의 불확실성이라는 것은 수자원 평가 활용할 수 있는 여러 기법들에 의해 과거 모의결과 및 미래 전망결과에 발생할 수 있는 가능성의 범위를 의미한다. 또한 이를 정량화한다는 것은 전체 발생할 수 있는 가능성의 범위를 총 불확실성이라 정의하고 각 단계별 불확실성을 구분하여 평가한 방법을 의미한다(Lee, 2016).
기후변화 전망 결과의 불확실성을 평가할 수 있는 방법은 Bayesian Model Average (BMA)기법(Steinschnide et al., 2012), GLUE기법(Beven and Freer, 2001), Paired t-test를 이용한 방법(Chen et al., 2011), Monte-Carlo simulation (Wilby and Harris, 2006)을 이용하는 방법 등이 이용되고 있다. BMA 기법의 경우 각 모형의 GCM 등의 불확실성을 평가하는 연구로 주로 활용되고 있다. GLUE 기법의 경우 수문모형의 매개변수 불확실성에 관련된 연구에 적용되고 있으며, 매개변수의 불확실성을 평가하여 적정 매개변수를 도출하는 연구에 도입되고 있다. 이 기법들은 특정 하나의 단계 내에서 불확실성 발생요인에 대해 분석하고 적정조합 방법을 도출하는 기법으로 활용되고 있다. Monte-Carlo 기법의 경우 단계별로 무작위로 조합을 변경함에 따라 발생할 수 있는 불확실성을 분석하는 기법이다. Paired t-test의 경우 2개의 평가 단계에 따른 불확실성 크기의 차이를 상대적으로 분석하여 어느 단계의 불확실성이 더 크게 발생하는지 판단하는 기법이다. 이 기법은 본 연구의 목적과 유사하지만 정량적으로 분석할 수 있지는 못하고 단순히 대소 유무만 판단할 수 있는 단점이 있다. 따라서 정량적으로 불확실성을 단계별로 구분할 수 있는 분산분석(variance analysis)을 활용하고자 한다.
2.4.2 분산분석기법과 불확실성 평가
분산분석은 R.A Fisher에 의해 개발된 3개 이상의 모평균에 대한 분석방법이다(Fisher, 1925). 측정치의 변동을 총 제곱 합(total sum of squares)으로 나타내고 이 총 제곱 합을 실험과 관련된 요인(인자의 작용)에 대한 각자의 제곱 합으로 분해한 후, 나머지를 오차변동으로 해석하는 검정법을 말한다. 각 요인마다 분해한 분산을 오차분산과 비교하여 특히 큰 영향을 주는 인자(요인)가 무엇인가를 검정하는 기법이다. 따라서 분산분석은 측정치의 변동을 요인별로 분해하여 어느 요인이 특성치에 어느 정도 영향을 주는지를 파악하는 것이라 말할 수 있다.
일원분산분석은 인자가 하나인 분석으로 다른 인자는 측정치에 경미한 영향으로 무시할 수 있거나 또는 영향이 일정할 때, 인자(요인)의 집단(수준) 수가 3개 이상일 때 그에 대한 평균 사이의 차를 검증하는 기법이다. 이원분산분석은 측정치에 영향을 미치는 인자가 둘일 때의 분석으로 두 인자(요인)의 집단(수준)수 조합이 반복이 없는 경우와 있는 경우로 분류하여 검증한다. 이 분석은 두 인자 모두가 모수인자인 경우 하나는 모수 다른 하나는 변량, 둘 다 변량인 경우가 존재하며 변동의 계수는 모두 같지만 분산의 기대치가 다르다. 그 외에 인자가 셋 이상인 경우를 다원분산분석이라고 한다. 따라서 본 연구에서는 역학적 상세화기법과 통계적 상세화기법에 따른 불확실성을 비교 및 정량적으로 분석하기 위해 아래와 같이 공간적 상세화, 통계적후처리기법, 수문해석에 대한 삼원 분산분석 기법을 활용하고자 한다.
삼원분산기법의 경우 효과를 주는 독립변수가 3개이며, 종속변수가 하나인 경우를 의미하며, 아래 Eq. (9)로 정리할 수 있다. 따라서 A, B, C에 대한 주효과와 상호작용효과로 구분할 수 있다. 주효과는 3개 독립인자가 각각 종속변수에 미치는 효과를 의미한다. 상호작용효과는 독립인자의 결합 AB, BC, AC, ABC와의 상호작용의 효과를 의미한다. 상호작용효과란 하나의 종속변수에 대한 두 독립인자의 결합효과라고 할 수 있다.
(9)
여기서,
,
,
는 A, B, C의 주효과에 대한 평균 제곱합을 나타낸 것이며,
,
,
,
는 A와 B, B와 C, A와 C, A, B, C의 상호작용효과에 대한 평균제곱합을 의미한다.
기후변화에 따른 수자원 영향평가 시 발생하는 불확실성을 통계적 상세화기법과 역학적 상세화기법의 차이를 비교·분석하기 위해 기후변화 시나리오와 GCM을 이용한 전지구 기후시나리오는 생산을 고정하고 역학적 상세화기법과 통계적 상세화기법을 분리하여 평가한다. 역학적 상세화기법은 크게 지역기후모의(RCM), 통계적 후처리과정(SPP), 수문모형(HYM)으로 구성하고, 통계적 상세화기법에 따른 기법은 공간적 상세화, 통계적 후처리과정, 수문모형으로 구성하였다. 본 논문에서는 수자원 영향 평가 시 발생하는 총 불확실성(total uncertainty)을
의 분산으로 정의하였으며, 미래기간의 전망 결과(
)는 미래기간의 모의유출량(
)에서 과거기간의 모의 유출량의 차이(Eq. (10))로 정의하였다.
(10)
2.4.3 이중샘플링기법
앞서 제시한 바와 같이 평가체계를 지역기후모의, 통계적 후처리과정, 수문모형으로 구성하였다. 공간상세화기법은 선형보간법, 이중선형보간법, 역거리가중법, 최근린법, 면적평균가중법을 이용하였으며, 지역기후모형은 HadGEM3-RA, RegCM4, SNU-MM5, SNU-WRF, YSU-RSM, 수문모형은 SWAT 모형과 VIC 모형을 활용하였다. 5개의 지역기후모형, 통계적 후처리과정을 활용하지만 수문모형의 경우 2가지 모형을 사용하기 때문에 표본 수에 의한 오차(샘플링 오차)가 발생할 수 있으므로 각 단계별로 이단추출법을 이용하여 평가하고자 한다. 총 5가지의 종류의 RCM, 보간기법, 편의보정기법을 Fig. 3과 같이 총 10개로 이단추출하여 분산분석에 적용하고자 한다. 따라서 2개의 RCM, 2개의 통계적 후처리과정, 2개의 수문모형에 대한 1개 실험을 총 10×10회(100회)의 반복실험을 수행하게 된다.
이중추출법을 고려하면 Eqs. (11)~(14)와 같이 각 효과의 제곱합을 산정할 수 있다. 여기서, 전체 분산은 Eq. (11)과 같이 표현할 수 있다. 또한 주효과는 RCM, SPP, HYM 인자의 개별 요소들의 평균값의 분산은 각 집단의 효과를 나타내며 대표적으로 RCM에 대한 제곱합을 Eq. (12)와 같이 산정되며, 동일한 방법으로 SPP와 HYM의 제곱합을 산정할 수 있다. 상호작용 효과는 RCM와 SPP의 상호작용 효과는 ir, is의 영향을 받고 있는 변수 (
)에 RCM에서 ir 번째 모형의 효과(
), SPP의 ib번째 기법의 효과(
)를 제거한 후 전체 평균의 효과를 더하는 형태로 산정된다. 전체 평균을 반영하는 것으로 B집단과 C집단도 동일하게 산정할 수 있다.
(11)
(12)
(13)
(14)
여기서,
는 이중샘플링을 통한 반복회수를 의미하며, I는 총 반복회수인 100회를 의미한다.
이때, 각 영향(
)들은 Eqs. (15)~(17)과 같이 산정할 수 있다. 분산의 기여도(
)는 0~1의 값을 가지며, 전체 앙상블 분산(uncertainty)의 기여도에 해당하며 0~100%로 표현할 수 있다. 분산의 형태로 표현되기 때문에 항상 양의 값을 가진다.
(15)
(16)
(17)
3. 대상유역 및 자료구축
3.1 대상유역
본 연구에서는 기후변화에 따른 수자원 영향을 평가하고 불확실성을 정량적으로 분석하기 위해 한강유역 내 최상류의 다목적댐 유역인 충주댐 유역을 대상유역으로 선정하였다(Fig. 4). 충주댐은 남한강 수계에 위치하고 있는 다목적댐으로 유역면적은 6,648 km2, 고도는 70~1,569 m이다. 유역연평균유입량은 154.6 m3/s, 유효저수용량은 1,789백만m3, 연간용수공급계획량은 3,380백만m3이다. 충주댐은 한강지역의 용수공급에 매우 중요한 역할을 하기 때문에 수자원의 변화가 매우 중요한 지역이며, 장기간 관측자료가 존재한다.
3.2 관측 수문기상 및 지형자료 수집
강수량 자료는 신뢰성 있는 유출모의를 수행하는데 필수자료이며, 기후변화와 수자원 영향평가를 위해서는 장기간의 고품질자료가 요구된다. 충주댐유역에는 다양한 기상 및 강우관측소가 존재하지만, 본 연구에서는 기상청 관할 기상관측소 및 국토교통부 산하 한강홍수통제소의 강우관측소 자료를 이용하였다. SWAT 모형과 VIC 모형의 모의를 위해서는 일단위 최고기온, 최저기온, 상대습도, 일조시간 및 평균풍속 자료가 요구된다. 현재 우리나라에서는 기상청에서 일 기상자료를 제공하고 있으며, 본 연구에서는 1981년 전부터 관측이 되고 있는 기상관측소를 선정하였다. 충주댐유역에 사용된 기상관측소는 제천, 충주, 원주, 대관령 관측소이다.
수문모형을 구축하기 위해서는 유역의 지형특성을 산정할 수 있는 지형자료 수집이 필요하고, GIS 분석을 통해 입력자료 형태로 변환이 필요하다. SWAT 모형과 VIC 모형 적용을 위해서는 유역의 DEM, 토지피복도, 토양도 자료가 기초정보로 필요하다. DEM은 가장 기초적인 지형자료로 GIS를 이용한 DEM 분석을 통해 유역면적, 주하도/지류 연장, 소유역과 하천의 경사 등을 추출할 수 있다. 본 연구에서는 국립지리정보원의 수치지형도를 이용하여 구축된 해상도의 100×100 m DEM을 가공하여 활용하였다. 토지피복도는 국가수자원관리종합정보시스템(WAMIS)에서 제공하는 자료를 이용하였으며, 피복분류는 도심지, 나대지, 초지, 논, 습지, 밭, 산림, 수역의 8가지 형태로 구성되어 있다. 또한 토양도는 농업과학기술원에서 제공하는 1:25,000 정밀토양도를 활용하였다. 정밀토양도는 현재 우리나라 전역에 구축되어 있는 가장 상세한 토양지도로 약 1,300개의 세부 토양통으로 분류된다. 본 연구에서는 이를 모델의 입력 자료로 변환하였다.
3.3 수문모형 구축
사용한 수문모형은 기존에 구축된 SWAT (Bae et al., 2011), VIC (Son, 2015)의 결과를 이용하였다. 구축된 자료를 이용하여 충주댐의 기존 매개변수 평가를 수행하였으며, 이에 활용한 자료기간은 1986~2005년까지이다. 두 방법에 대한 통계분석 결과는 Table 1과 같다. 분석 결과 상관계수는 0.89, 0.83, RMSE는 3.05, 3.90, 모형효율성계수는 0.80, 0.69, 유출용적오차는 -0.07~3.31%의 범위로 나타나 활용성이 높은 것으로 확인되었다.
구축된 기상자료와 수문모형을 토대로 충주댐유역의 1981~2005년(총 25년) 동안의 계절평균 및 연평균 기온, 강수량, 유출량, 증발산량을 나타내면 Table 2와 같다. 충주댐 유역의 연평균기온은 9.6°C로 우리나라에서 기온이 낮은 산지지역이다. 연평균 강수량은 1,268.7 mm이며 그 중 716.7 mm (56.4%)가 여름철(6~8월)에 집중되며, 겨울철 84.5 mm, 봄철 210.4 mm, 가을철 257.1 mm로 계절별 차이가 나타난다. 연평균 유출량과 증발산량은 867.4 mm, 395.3 mm (SWAT), 872.2 mm, 389.2 mm (VIC)으로 나타났으며, 유출율은 68~69% 정도로 나타났다. 특징적으로는 VIC 모형은 겨울철 유출량이 크게 나타났으나, SWAT은 봄철 증발산량이 크게 산정되었다. 이는 SWAT이 융설을 반영하여 겨울철에는 유출량이 발생하지 않다가 봄철에 발생하면서 증발산량으로 전환되기 때문으로 판단된다.
3.4 기후변화 시나리오 수집
CORDEX East Asia에서 현재까지 구축된 자료를 살펴보면, RCP8.5, RCP4.5의 HadGEM2-AO자료를 RCM을 이용하여 상세화된 기후시나리오 생산하고 있다. 사용된 RCM의 종류는 기상청(HadGEM3-RA), 공주대(RegCM4), 서울대(MM5, WRF), 연세대(YSU-RSM)로 총 4개 기관, 5개 모형 결과이다. 각 모형 별 자료기간 및 주요 특성은 Table 3과 같다. 각 모형 별로 강수량과 최고기온, 최저기온을 공통적으로 제공되며, 자료기간은 1981~2005년, 미래기간은 2011~2035년을 공통적으로 활용할 수 있다. 평가를 위해 RCP8.5에 대한 5가지 RCMs 결과를 최종적으로 활용하였다.
4. 적용 및 분석
4.1 기후시나리오 구축 및 미래 기후 전망
4.1.1 RCM의 과거 기후모의 능력 분석
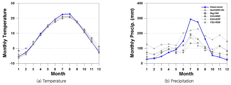
월별 평균기온의 모의 능력을 평가한 결과 HadGEM3-RA, RegCM4, YSU-RSM 모형은 모든 월에서 관측자료에 비해 높게 산정되었으나 동일한 패턴을 보이는 것으로 나타났으며, SNU-MM5와 SNU-WRF는 모든 월에서 기온이 높게 모의되는 것으로 나타났다(Fig. 5(a)). 월평균 강수량으로 분석한 결과 HadGEM2-AO의 경우 11월, 12월, 3월, 4월 달에 과대 산정되는 것으로 나타났으며, 6~10월에 과소 산정되는 것으로 나타났다(Fig. 5(b)). 이러한 평가결과가 모든 RCM에서도 동일하게 나타났으며, 그 중 RegCM4는 과거 관측 강수량에서 나타나는 월별 변동성이 거의 나타나지 않았으며, YSU-RSM은 매우 값이 크게 산정되는 것으로 나타났다. 모든 RCM의 경우 봄철 및 겨울철 강수량을 과대추정하지만 여름철에는 과소 산정되는 결과가 나타나 수자원 영향평가를 위해서는 기후모형을 통해 생산된 정보에 대한 편의를 보정할 수 있는 단계가 요구된다.
4.1.2 통계적 후처리기법의 적용성 분석
수문모형의 입력자료로 활용되는 기후모의 결과가 얼마나 관측자료와 유사한지를 분석하기 위해 편의보정기법의 적용성 분석을 수행하였다. Table 4는 RCM 원자료와 통계적 후처리기법을 통해 보정된 기후시나리오의 관측자료와의 평균 편의를 나타낸 것이다. 기존 RCM의 평균 편의가 봄, 여름, 가을, 겨울, 연평균 순서로 0.4°C, 2.2°C, 0.2°C, 0.8°C, 0.4°C로 나타나는 반면, 편의보정기법에 따른 모형의 평균값이 연평균기온의 경우 0.01~0.06°C로 매우 낮아지는 것을 확인할 수 있다. 또한, 계절 및 연평균 강수량의 경우 RCM 원자료의 평균 편의가 봄, 여름, 가을, 겨울, 연평균 순서로 48.7 mm, -239.6 mm, 17.3 mm, 80.3 mm, 100.9 mm 정도로 나타나는 반면, 편의보정기법에 따른 모형의 평균값이 연평균강수량의 경우 -1.1~23.6 mm 정도로 매우 낮아지는 것을 확인할 수 있다. 다만, 분위사상법의 경우 그 중 보정효과가 다소 낮아 연평균 강수량은 23.6~44.3 mm 정도 편의가 존재하는 것으로 나타났다.
4.1.3 미래 기후전망
수자원 영향 평가를 미래 기온과 강수량의 전망 결과를 분석하였다. Table 5는 과거기간(1981~2005년) 대비 미래기간(2011~2035년)의 기온, 강수량의 변화를 나타낸 것이다. 연평균기온은 1.4°C (HadGEM3-RA), 1.3°C (RegCM4), 1.5°C (SNU-MM5), 1.6°C (SNU-WRF), 1.39°C (YSU-RSM) 상승하는 것으로 나타났다. HadGEM3-RA는 겨울철, RegCM4, SNU-MM5, SNU-WRF는 여름철, YSU-RSM은 봄철에서 기온이 가장 크게 상승하는 것으로 나타났다. 연평균 강수량은 -14.4 mm (HadGEM3-RA), 195.7 mm (RegCM4), 93.5 mm (SNU-MM5), 117.1 mm (SNU-WRF), 30.2 mm (YSU-RSM) 변화하는 것으로 나타났다. HadGEM3-RA를 제외한 모든 모형에서는 연 강수량과 여름강수량이 증가하는 것으로 나타으며, 봄철은 모든 RCM이 증가하는 것으로 나타났다. 가을철과 겨울철의 경우 HadGEM3-RA, SNU-MM5, YSU-RSM은 감소하는 것으로 나타났으며, RegCM4, SNU-WRF는 증가하는 것으로 나타났다. 이는 동일한 온실가스 농도 시나리오 및 GCM 결과를 이용함에도 불구하고, 각 RCM에 따라 미래 전망결과의 매우 많은 불확실성을 의미한다.
4.2 수문시나리오 생산 및 수문전망
Fig. 6은 관측자료와 편의보정된 기후시나리오를 이용하여 생산된 SWAT의 유출량 결과를 도시한 것이다. Fig. 6(a)는 유출량 Fig. 6(b)는 증발산량을 나타낸 것으로 점선은 과거기간의 관측자료 기반의 SWAT 모형의 결과를 나타낸 것이고, 검은색 실선은 미래 전망결과의 평균값, 검은색 음영은 각 기법에 따른 불확실성 범위를 나타낸 것이다. 유출량의 경우 10월부터 5월까지는 변화가 미비한 것으로 나타났으나, 7~9월까지 유출량이 크게 증가하는 것으로 나타났다. 여름철의 불확실성도 크게 나타나는 것을 확인할 수 있으며, 기법에 따라 과거기간보다 감소한다고 전망한 결과도 나타나고 있다. 증발산량의 경우 5~7월 까지 증가하는 것으로 나타났으나 8월달에는 감소하는 것으로 나타났다. 나머지 달은 큰 변화가 나타나지 않았다. 특징적으로는 유출량의 경우 홍수기인 6~9월에 불확실성이 크게 나타난 반면, 증발산량의 경우 11~4월까지 불확실성이 크게 나타났다.
Table 6은 각 RCM 별 계절 유출량과 증발산량의 미래 전망결과의 평균값을 나타낸 것이다. 유출량의 경우 봄, 여름, 가을, 겨울, 연 유출량은 경우 -0.3 mm, 53.6 mm, -2.7 mm, -0.7 mm, 50.0 mm 정도 변화하는 것으로 나타났다. 하지만 각 RCM의 경우 연 유출량이 최소 -2.2 mm 감소에서 최대 144.9 mm 증가하는 등 전망 결과의 차이가 크게 나타났다. 대부분 강수량의 변화에 기인하는 것으로 나타났으며, 이를 통해 RCM에 대한 영향이 큰 것으로 나타났다. 봄, 여름, 가을, 겨울, 연 증발산량은 6.0 mm, 7.3 mm, 1.4 mm, 1.6 mm, 16.4 mm 정도 변화하는 것으로 나타났다. 증발산량의 경우 RCM 별 편차가 크지 않는 것으로 나타났다. 특히 연 증발산량의 경우 최소 13.6 mm 증가, 최대 19.1 mm 증가로 강수량의 변화에 크게 민감하지 않는 것으로 판단된다. 증발산량의 변화는 강수량의 변화에 크게 영향이 나타나지 않는 것을 의미하며, 기온 상승에 따른 증발산량의 변화가 더욱 지배적인 것으로 확인되었다.
SWAT과 VIC 모형으로 산정된 계절 및 연별 유출량과 증발산량의 미래 전망결과를 Box-Whisker 그래프로 도시하였다(Fig. 7). 유출량의 경우 SWAT 모형은 봄, 여름, 가을, 겨울, 연 유출량이 각각 0.0 mm, 58.2 mm, 6.1 mm, 1.3 mm, 67.2 mm, VIC 모형은 -0.5 mm, 48.9 mm, -11.1 mm, -2.5 mm, 34.8 mm 정도로 변화할 것으로 나타났다. 증발산량의 경우 SWAT 모형은 봄, 여름, 가을, 겨울, 연 증발산량이 각각 10.9 mm, 3.0 mm, 1.6 mm, 5.2 mm, 20.6 mm, VIC 모형은 1.2 mm, 11.7 mm, 1.3 mm, -2.0 mm, 12.2 mm 정도로 변화할 것으로 나타났다. 유출량의 경우 Box-Whisker의 최대값과 최소값, 상위 25%, 75%의 값은 다소 차이가 나지만 그래도 비슷한 전망결과가 나타나는 것으로 확인되었다. 다만 VIC 모형은 가장 큰 값과 가장 작은 값의 차이가 크게 나타났는데, 이는 VIC 모형이 기후의 변화에 따라 유출량의 변화에 민감하게 작용하는 것으로 분석되었다. 증발산량의 경우도 VIC 모형이 더욱 크게 변화하는 것으로 나타났으며, 특히 SWAT 모형과 모든 계절에서 다른 변화 패턴을 보이기 때문에 수문모형에 따른 영향이 큰 것으로 확인되었다.
4.3 미래 수자원 전망의 불확실성 평가
미래 수자원 전망 시 발생하는 불확실성을 평가 단계별로 기여도를 분석하였다. Fig. 8, Table 7은 계절 및 연평균 유출량 전망의 불확실성 분석 결과를 나타낸 것이다. 겨울철을 제외한 모든 계절에서 RCM이 29.3~68.9%로 가장 큰 비중을 차지하는 것으로 나타났으나, 겨울철은 수문모형이 46.5%를 차지하고 있다. 통계적 후처리기법의 3.8~18.7%의 기여도를 보여 RCM과 수문모형에 비하면 적은 비율을 차지하지만 통계적 후처리기법에 따라서도 일정 부분의 불확실성이 발생하기 때문에 적합한 기법을 선정하여 평가에 활용되어야 한다. 증발산량의 경우 가을철을 제외하고 수문모형이 28.5~65.1%로 가장 큰 비중을 차지하였다. 그 외에 RCM은 2.4~24.3%, SPP기법은 3.5~14.5%의 기여도를 차지하는 것으로 분석되었다. 또한, 유출량의 경우 상호작용 효과가 13.8~36.2%로 나타났지만, 증발산량의 경우 24.0~57.2%로 증발산량이 유출량에 비해 상호작용 효과가 더욱 크게 나타났다. 이를 분석한 결과 상호작용 효과에서도 SPP와 HYM에 대한 상호작용효과가 봄철과 여름철에 크게 나타났으며, 가을철과 겨울철의 경우 RCM과 HYM에 대한 상호작용 효과가 가장 큰 것으로 나타났다. 홍수기의 유출량은 강수량에 직접적인 영향을 받으나 이수기에는 강수량 이외에 그 당시의 토양상태, 기후환경 등의 영향에 따른 수문순환 전반적인 영향이 유출량에 영향을 미친다. 따라서 이수기는 수문모형에 더욱 영향이 큰 것으로 나타났으며, 홍수기는 기후 모델링 부분의 영향이 큰 것으로 사료된다.
5. 결론 및 향후계획
본 연구에서는 기후변화에 따른 수자원 영향평가 시 발생하는 불확실성을 평가 단계별로 분해하여 분석할 수 있는 기법을 개발하였다. 개발된 기법을 토대로 지역기후모형(RCM), 통계적 후처리기법(SPP), 수문모형(HYM)에 따른 불확실성을 분석하였다. 분석을 위해 현재 국내에서 가용한 CORDEX East Asia에서 제공하고 있는 5개 RCM 결과를 이용하였으며, 5가지 통계적 후처리기법, 2가지 수문모형을 이용하였다. 대상지역은 충주댐 유역으로 선정하였으며, 평가는 증발산량과 유출량의 과거기간 대비 미래기간의 변화에 대해 분석하였다. 평가를 통해 도출된 주요 결과는 다음과 같다.
1)과거기간(1981~2005년) 대비 미래기간(2011~2035년)의 연평균기온과 강수량은 1.4°C, -14.4 mm (HadGEM3-RA), 1.3°C, 195.7 mm (RegCM4), 1.5°C, 93.5 mm (SNU-MM5), 1.6°C, 117.1 mm (SNU-WRF), 1.39°C, 30.2 mm (YSU-RSM) 변화는 것으로 전망되었다. HadGEM3-RA를 제외한 모든 모형에서는 연 강수량과 여름강수량이 증가, 봄철은 모든 RCM이 증가, 가을철과 겨울철의 경우 HadGEM3-RA, SNU-MM5, YSU-RSM은 감소하나 RegCM4, SNU-WRF는 증가하는 것으로 나타났다. 이는 동일한 온실가스 농도 시나리오 및 GCM 결과를 이용함에도 불구하고, 각 RCM에 따라 미래 전망결과의 불확실성이 발생하는 것을 의미한다.
2)모든 기법에 따른 연 유출량의 평균 변화는 50.0 mm 정도이지만 각 RCM의 경우 연 유출량이 최소 -2.2 mm 감소에서 최대 144.9 mm 증가하는 등 전망 결과의 차이가 크게 나타났다. 연 증발산량은 16.4 mm 정도이며, RCM 별 편차가 크지 않는 것으로 나타났다. 따라서 연유출량의 변화는 RCM 별 강수량의 변화에 민감하게 나타났다.
3)봄, 여름, 가을, 겨울, 연 유출량에 대해 SWAT 모형은 0.0 mm, 58.2 mm, 6.1 mm, 1.3 mm, 67.2 mm, VIC 모형은 -0.5 mm, 48.9 mm, -11.1 mm, -2.5 mm, 34.8 mm 정도로 변화할 것으로 나타났다. 증발산량의 경우 SWAT 모형은 봄, 여름, 가을, 겨울, 연 증발산량이 각각 10.9 mm, 3.0 mm, 1.6 mm, 5.2 mm, 20.6 mm, VIC 모형은 1.2 mm, 11.7 mm, 1.3 mm, -2.0 mm, 12.2 mm 정도로 변화할 것으로 나타났다. 유출량의 경우 SWAT과 VIC 모형이 비슷한 전망결과가 나타나는 것으로 확인되었으나, 증발산량의 경우 SWAT 모형과 VIC 모형의 전망 결과가 모든 계절에서 다른 변화 패턴을 보이기 때문에 수문모형에 따른 영향이 큰 것으로 확인되었다.
4)유출량의 경우 겨울철을 제외한 모든 계절에서 RCM의 불확실성이 29.3~68.9%로 가장 큰 비중을 차지하는 것으로 나타났으나, 겨울철은 수문모형의 불확실성이 46.5%를 차지하고 있다. 증발산량의 경우 가을철을 제외하고 수문모형의 불확실성이 28.5~65.1%로 가장 큰 비중을 차지하였다. 홍수기(6~8월)의 유출량은 강수량에 직접적인 영향을 받으나 여름철을 제외한 나머지 시기에는 강수량 이외에 그 당시의 토양상태, 기후환경 등의 영향에 따른 수문순환 전반적인 영향이 유출량에 영향을 미친다. 따라서 이수기는 수문모형에 더욱 영향이 큰 것으로 나타났으며, 홍수기는 기후 모델링 부분의 영향이 큰 것으로 판단된다.
현재까지 기후변화에 따른 불확실성 평가 관련 연구는 전망 결과의 불확실성의 정도를 제시하는 수준의 연구를 수행하였지만, 본 연구에서는 불확실성의 단계별 기여도를 분석하는 기법을 제안하였다. 이러한 기법을 통해 수자원 영향평가 시 발생하는 불확실성의 요인분석을 수행할 수 있으며, 특정 RCM이나 통계적 후처리기법, 수문모형 등의 선정에 따라 전체 불확실성이 어떻게 변화될 수 있는지를 분석할 수 있다. 이를 통해 불확실성을 저감하면서 전망결과의 신뢰성을 높일 수 있는 앙상블 체계를 제시할 수 있을 것으로 판단되며, 향후 이러한 연구가 지속적으로 이루어져야할 것이다. 이외에도 GCM, RCM, 수문모형 등 각 단계의 평가모형에서 불확실성을 저감할 수 있는 기법 개발이 필요하다. 특히 수문모형의 경우 자체 모형의 개발도 중요하지만, 현재 사용되고 있는 모형의 활용 측면의 기술 개발이 필요하며, 매개변수에 따른 불확실성을 최소화하는 연구가 필요할 것으로 판단된다.






,
,
, 
, where n is a number of data
, Where, O is observed flow and S is simulated flow.



