1. 서 론
2. 영상 분석
2.1 하천 영상에서 본류와 지류의 분리
2.2 합류부 형상 파악
2.3 전단층의 기하학적 형상 분석
3. 방법론 적용 및 수리학적 분석
3.1 대상 지역
3.2 적용 결과
4. 결 론
1. 서 론
서로 다른 두 흐름이 합쳐지는 합류부는 자연 하천이나 인공 수로 모두에서 매우 흔히 존재한다. 특히 자연하천의 합류부는 유량, 유사 입경, 수로 형상 등의 급격한 변화가 발생하는 지점으로, 수리 지형학, 유사 이송 측면에서 종합적으로 매우 중요한 지점이라고 알려져 있다(Rhoads, 1987). 합류부의 수리지형학적 다양성은 하천 생태학적으로도 많은 변화를 주고 홍수 소통을 저해한다(Seo and Park, 2013). 또한 이러한 수리지형학적 복잡성은 합류부의 위치 및 합류각과 같은 하상 형상의 급격한 변화를 야기한다(Ullah et al., 2015; Dixon et al., 2018). Best and Ashworth (1997)에 의하면 인도의 갠지스 강과 자무나 강이 만나는 곳에서는 이러한 이동 현상의 규모가 크게는 1년에 수 km에 이른다. 따라서, 하천공학적 관점에서 하천 합류부의 수리 분석은 하천 개발 계획 단계 시 반드시 고려되어야 한다.
합류부에서 발생하는 다양한 흐름 역학은 크게 Best (1987)에 의해 Fig. 1에 도시화된 바와 같이 다음 6개로 구분할 수 있다: (1) 정체 구역(stagnation zone); (2) 흐름 편향 구역(flow deflection zone); (3) 흐름 박리 구역(flow separation zone); (4) 최대 유속(maximum velocity); (5) 흐름 회복(flow recovery); (6) 전단층(shear layers).
이 중 두 흐름의 유속 구배로 인해 발생하는 전단층의 주변에서는 매우 복잡한 흐름 구조들이 발생한다. 대표적으로, 합류하는 두 흐름의 유속차가 크지 않을 때 전단층의 혼합 경계면(mixing interface, MI)에서 Kelvin-Helmholts (KH) 불안정성과 평면 준 와류 짝(vortex pairing; Winant and Browand, 1974)과 비슷하게 준 2차원 흐름이 나타나는 것으로 알려져 있다(Rhoads and Sukhodolov, 2001, 2004; Yuan et al., 2018). Constantinescu et al. (2012)은 수치해석을 통해 MI를 중심으로 양쪽에서 흐름 방향을 축으로 하여 발달하는 와류 셀들(streamwise-oriented vortical cells, SOV)이 발생하고 결과적으로 바닥에 미치는 전단응력을 증가시켜 바닥 유사의 세굴에 영향을 미칠 수 있다고 보고하였다. 전단층은 복잡한 흐름 기작으로 인해 난류강도가 증가하는 곳으로 온도, 부유사량, 용존 물질 구성이 다른 두 수체가 혼합되는 구역이고 혼합층(mixing layer)으로도 불리운다(Best, 1987; Rhoads, 1996; Rhoads and Sukhodolov, 2008; Sukhodolov et al., 2010). Son et al. (2021)은 낙동강과 남강의 합류부에서 발생하는 세굴과 물질 혼합이 전단층을 기준으로 발달한다고 밝혔다. 본 연구의 분석법은 위에서 서술한 바와 같은 합류부 전단층의 수리, 지형, 생화학적 중요성에 입각해 전단층의 분석에 초점을 맞추었다.
하천 합류부의 흐름 특성에 대한 연구들은 일반적으로 현장 관측, 인공 수로 실험, 그리고 이러한 계측 자료로 검보정을 수행한 수치실험 등의 방법을 통해 수행된다. 이 중에서도 자연하천 합류부에서의 흐름 특성을 규명하는 데에는 유속 분포를 직접 측정하거나(e.g., De Serres et al., 1999; Rhoads and Sukhodolov, 2001; Gualtieri et al., 2019), 온도나 전기전도도와 같은 대체 추적자의 혼합 정도를 측정하는(e.g., Sukhodolov and Rhoads, 2001; Jung et al., 2019) 현장 계측 방법이 주로 이용되고 있다. 이 중 전통적인 현장 계측 방법은 가장 기본이 되는 방법으로서, 자연하천에서 일어나는 복잡한 수리적 거동을 직접적으로 관찰할 수 있다는 특징이 있다. 그러나 현장 계측을 위해서는 고가의 계측 장비와 인력이 소요된다. 이러한 이유로 비교적 비용이 적게 들고 실험 변수를 통제할 수 있다는 면에서 실험실 수로 실험이 이점을 가진다. 그러나 실험실 수로 실험 결과는 도시 및 관개수로와 같은 단순한 형상을 가진 인공 수로가 아닌 복잡한 하상 형상을 가진 자연 하천과는 다른 결과를 나타낼 수 있다는 문제가 있다(Yuan et al., 2016). 최근 일련의 컴퓨터 연산 기술의 발달에 따라 자연하천 하상에서의 고해상도 수치 모의가 가능해져 수치해석을 바탕으로 한 연구들이 진행되어 왔다(Constantinescu et al., 2016). 그러나 수치해석 기법의 검증에는 현장에서의 수리 지형 인자의 현장 계측이 선행되어야 한다.
자연하천 합류부의 현장 계측은 대개 초음파 도플러 유속 프로파일러(acoustic doppler current profiler, ADCP) 혹은 초음파 도플러 지점 유속계(acoustic doppler velocimeter, ADV)와 같은 접촉식 유속 센서를 이용한 흐름 해석을 중심으로 이루어져 왔다(De Serres et al., 1999; Sukhodolov and Rhoads, 2001; Rhoads and Sukhodolov, 2001, 2004; Ramón et al., 2013; Sukhodolov et al., 2017; Son et al., 2021). 전단층의 길이(혹은 혼합층의 길이)에 대한 연구들은 접촉식 수질 센서를 통해 인공 추적자나 전기전도도(Gaudet and Roy, 1995; Jung et al., 2019), 수온(Rhoads and Sukhodolov, 2001; Ramón et al., 2013), 부유사(Son et al., 2021)와 같은 수질 인자의 혼합정도를 합류부에서 하류 방향으로 계측함으로써 수행된다.
접촉식 센서를 이용한 자연하천 전단층 연구는 사전에 설정된 측선에서 스캔된 단면 프로파일이나 측선에 센서를 설치하여 시계열 자료를 수집하고 수집된 자료를 이용한다. 그러나 이러한 접촉식 센서 기반 측정은 자료가 측선 혹은 지점에만 한정되기 때문에 전단층 주변의 대표적인 흐름인 KH 소용돌이와 같은 평면 준 2차원 혹은 3차원 흐름 구조를 분석하는 데에 한계가 있다. 또한 사전에 측선을 설치해야하기 때문에 인력 및 비용 문제로 인해 넓은 연구 대상 지역을 설정하기 어렵고 공간 해상도가 떨어진다는 단점이 있으며 결과적으로 흐름 회복구역까지 계측하는 데에도 한계가 있다.
또한 전통적인 측선 바탕의 계측은 난류 흐름의 응집구조가 측정 지점을 지나는 동안 형상이 변하지 않아 시간 스케일이 평균 유속을 통해 공간 스케일로 확장될 수 있다는 가정인 Taylor의 frozen turbulent hypothesis (FTH)를 바탕으로 한다(Rhoads and Sukhodolov, 2004). FTH는 난류강도와 평균 유속의 비가 1보다 매우 작을 때 유효한 가정으로 합류부의 난류 강도가 평균 흐름방향 유속의 10%를 넘어설 수 있다는 Rhoads and Sukhodolov (2001)의 결과를 고려했을 때 자연하천의 합류부에 FTH를 적용하는 것은 아직 검증이 필요하며 특히 MI를 따라 빠르게 발달하는 흐름에서는 FTH가 유효하지 않을 수 있다(Rhoads and Sukhodolov, 2004; Konsoer and Rhoads, 2014).
한편, 대체 추적자 방법은 자연하천을 대상으로 한 수치해석 연구들에서 복잡한 난류 흐름을 설명하기 위해서도 이용 된다(Rhoads and Sukhodolov, 2001). Constantinescu et al. (2012)는 수동 스칼라 추적자의 거동이 부유사의 거동과 크게 다르지 않다는 가정 아래 수치해석 결과에 스칼라 추적자를 주입하여 합류부 전단층 주변의 흐름과 유사이송 기작을 설명했다. Constantinescu et al. (2012)의 가정은 반대로 탁도를 구성하는 미세입자가 스칼라 추적자로서 이용될 수 있음을 의미한다. Novo et al. (1989)에 따르면 부유사에서 반사되는 빛의 스펙트럼이 부유사의 농도와 광물 구성에 매우 큰 영향을 받는데, 서로 다른 상류 유역으로부터 흐르는 두 하천은 부유사의 기원과 부유사 농도가 다르기 때문에 이는 합류하는 두 하천의 부유사 농도가 광학적으로 합류부에서 구분될 수 있음을 시사한다. Brosinsky et al. (2014)는 이러한 자연하천 부유사의 광학 특성을 이용해 부유사의 반사 스펙트럼을 이용하면 부유사의 기원을 규명할 수 있음을 보였고, Umar et al. (2018)은 자연하천 합류부의 혼합길이 산정을 위해 합류하는 두 하천의 부유사 농도가 다르다는 점을 이용하였다. 따라서, 부유사로 인한 수체의 밀도 변화가 크지 않을 경우 합류하는 두 하천의 부유물질을 수동 스칼라 추적자로 이용하여 하천이 촬영된 영상을 통해 합류부 전단층에서의 흐름을 가시화 및 규명하는 데에 활용할 수 있다.
최근에는 원격탐사 기법의 발전으로 인해 위성 및 무인항공체를 이용해 취득된 항공 영상을 이용한 합류부 연구가 시도되고 있다. 특히 원격탐사 기법은 시간과 비용이 많이 드는데에 비해 제한된 시공간 자료만 확보 가능한 접촉식 센서를 이용한 연구 방법론에 비해 양질의 자료를 확보할 수 있다는 장점이 있다(Umar et al., 2018). 이러한 특성을 이용해 인공위성 영상을 이용해 규모가 큰 자연하천의 합류부 주변 에서 장기적으로 발생하는 평면 하상 변동에 대한 연구가 이루어져 왔다(Trigg et al., 2012; Ashworth and Lewin, 2012; Mount et al., 2013; Lewin and Ashworth, 2014; Dixon et al., 2018). Umar et al. (2018)은 Landsat 다분광 위성영상과 머신러닝 기법을 이용해 부유사 농도를 간접적으로 산정함으로써 부유사 농도가 다른 두 하천 합류부에서의 혼합 특성 및 혼합 길이를 산정하는 방법을 제안하였다. Lewis and Rhoads (2018)은 합류부에서 발생하는 평면 흐름 분석을 위해 무인항공체로 취득된 영상에 large scale particle image velocimetry 기법을 적용했다.
항공 영상은 크게 센서가 탑재된 항공체를 인공위성과 드론과 같은 무인항공체로, 영상이 제공하는 스펙트럼 개수를 기준으로 RGB 영상과 다분광 영상으로 각각 구분할 수 있다. 인공위성으로부터 취득된 영상은 관측 지점에서 가까운 곳에 사람이 직접 하천에서 취득해야 하는 무인항공체 영상에 비해 넓은 공간을 측정할 수 있으나 고도가 낮은 곳에서 촬영하는 무인항공체 영상에 비해 공간 해상도가 떨어지며 원하는 시기의 영상을 확보하는 것이 비교적 어렵다. 다분광 영상은 RGB 영상에 비해 많은 정보를 가지고 있으나, RGB 영상에 비해 소요되는 비용이 많고 해상도 또한 낮다는 단점이 있다. 특히, 대부분의 다분광 위성 영상들의 공간 해상도는 30 m 이상이기 때문에 중소규모의 하천에는 적용에 한계가 있어 해양, 호소 또는 대하천 분석에 이용되어 왔다(Pham et al., 2018; Kwon et al., 2021).
현재까지는 원격탐사 기법이 합류부 흐름 구조 분석에 이용된 사례는 부유사 농도 산정을 이용한 혼합 길이 산정, 그리고 평면 흐름을 규명하는 데에 집중적으로 이용되어 왔지만 전단층을 정량적으로 정의하고 구분하는 데에 이용된 사례는 없는 실정이다. 이러한 측면을 고려했을 때, 합류부 전단층의 정량적인 분석에 RGB 영상을 이용할 수 있다면 낮은 비용으로도 연구 범위를 중소규모 자연하천에서부터 작은 도시 수로까지도 확장할 수 있을 것이다.
합류부의 흐름 구조는 준 2차원으로 가정할 수 있고, 하상 부근의 합류부 흐름 구조가 전단층을 따라 발달하기 때문에 Umar et al. (2018)과 Lewis and Rhoads (2018)의 접근법과 같이 수표면에서 관측된 특성만으로 합류부 흐름을 분석 방법은 효용성이 있다고 볼 수 있다. 이에 본 연구에서는 합류하는 두 하천의 수표면 색이 대비될 때 인공위성이나 무인항공체에서 촬영된 RGB 영상을 이용해 전단층을 정량적으로 분석하는 방법을 제안한다. 본 분석법의 순서는 개략적으로 다음과 같다: (1) 본류와 지류의 색 차이가 촬영된 RGB 영상이 주어지면 GMM을 이용해 영상 분할을 수행한다.; (2) SOM을 이용해 본류와 지류의 형상을 개략적으로 파악한다.; (3) 본류와 지류 픽셀을 하천 곡선 좌표계로 투영한다.; (4) Fig. 2에 표시된 바와 같은 합류부 전단층의 형상을 추출 및 분석한다. 여기서 Q1과 Q2는 두 하천의 유량; 는 합류각; W1u, W1d, 그리고 W2는 각각 본류의 상류, 하류, 그리고 지류의 하천 폭; Ls는 전단층의 길이; Ds는 전단층의 최대 두께이다. Fig. 3는 본 알고리듬을 순서도로 나타낸 것이다.
2. 영상 분석
본 장은 자연하천 전단층 분석을 위한 영상 분석에 사용된 방법론 및 영상 분석 절차에 대해 서술한다.
2.1 하천 영상에서 본류와 지류의 분리
GMM은 주어진 자료의 확률 밀도함수를 임의의 K개의 다변량 가우스 분포 로 모델링하는 비지도 기계학습 방법이다.
여기서, 는 입력 자료; 는 평균 행렬; 는 공분산 행렬이다. 여기에서 이를 다른 측면에서 보면 GMM을 이용하면 주어진 자료를 각각 가우스 분포의 패턴을 가지는 K개의 군집으로 구분해낼 수 있다는 것을 의미한다. GMM을 이용해 학습된 확률 밀도함수는 다음과 같은 수식으로 표현될 수 있다.
여기서, 는 k번째 패턴의 가중치; 와 는 각각 k번째 패턴의 가우스 분포가 가지는 평균과 공분산 행렬이다.
Fig. 4는 자료를 K = 3인 GMM으로 학습시킨 결과의 예시로, 실선, 파선, 점선은 각각 표준편차의 1배, 2배, 3배를 의미하는 타원이다. 이러한 GMM의 패턴 군집화 특성으로 인해 GMM은 영상 픽셀 분할 방법으로 많이 이용되고 있다(Zhang et al., 2001; Permuter et al., 2006; Nikou et al., 2007; Ji et al., 2017; Ban et al., 2018; Shi et al., 2020). GMM을 학습시키기 위해 가장 일반적으로 적용되는 방법은 Dempster et al. (1977)가 제안한 최우도 방법 기반의 기대 최대화(Expectation Maximization, EM) 알고리듬이다. EM 알고리듬은 크게 E-단계와 M-단계로 구성되어 있다. E-단계에서는 각 픽셀이 패턴에 소속하는 정도인 를 구하고 M-단계에서는 패턴의 를 구한 후 로그 우도를 구한다. 이 때 그리고 는 아래 식들을 통해 계산할 수 있다.
EM알고리듬은 로그 우도 값이 수렴할 때까지 위 두 단계를 반복하여 학습을 완료한다. EM 알고리듬을 통한 GMM의 자세한 유도 과정은 Bishop (2006)에 나와 있다.
영상 분할을 수행하기 위해 영상을 각 픽셀이 RGB 파장대 3개의 변수를 가지는 자료 매트릭스로 재배열한 뒤에 GMM을 통해 색별 군집 분석을 수행한다. 군집화 결과 사용자가 설정한 개수만큼 색 군집을 형성하게 된다. 일반적으로 군집화 시 육역에서 하천 색과 비슷한 픽셀 들이 산발적으로 하천과 함께 군집화되는 경우가 발생한다. 하천의 색과 비슷해 같은 군집으로 분류된 산발적인 픽셀들은 후술할 좌표 변환 및 전단층 변수 분석 시 오류를 발생시킬 여지가 있다. 따라서 하천이 포함된 픽셀을 선택하면 해당 픽셀과 연결된 부분만을 분리해내는 방법을 통해 육역에 존재하는 잡음을 제거하고 하천 수체 역만을 추출하였다. 연속 요소 선택 알고리듬으로는 OpenCV 라이브러리에서 제공하는 BBDT (Block-Based with Decison Trees) 알고리듬을 이용하였다.
2.2 합류부 형상 파악
본 연구의 목표 중 하나인 합류부 전단층의 형상 분석을 위해서는 앞선 절에서 설명한 방법을 통해 하천이 촬영된 영상 내에서 하천과 육역이 구분된 뒤에 본류와 지류가 만나는 합류부의 범위를 한정하는 작업이 뒤따라야 한다. 합류부의 범위를 산정하기 위해 다음과 같은 가정을 두었다. 첫 번째, 지류와 본류는 수체의 구성성분 차이로 인해 영상 내에서 구분되는 색이 다를 수 있는데, 두 하천의 색은 전단층을 기준으로 하여 구분될 수 있다. 두 번째, 합류부는 지류가 본류와 만나는 두 하안 중 본류의 상류에 해당하는 육역으로부터 전단층이 끝나는 부분까지로 한정된다. 첫 번째 가정이 만족되면 3.1절의 방법을 이용해 하천과 육역, 그리고 본류와 지류가 차지하는 부분이 각각 영상 내에서 구분될 수 있다. 본 하위 절에서는 두 번째 가정을 만족시키는 합류부 전단층이 시작하는 부분과 전단층의 끝을 추출해내고 합류부의 형상을 파악하는 과정을 설명한다.
앞선 3.1절에서 서술된 방법을 이용해 한 번 본류와 지류가 차지하는 픽셀들이 구분되면 합류부의 시작부와 전단층 경계는 간단하게 본류의 픽셀과 지류의 픽셀간 거리를 계산했을 때 일정 거리 이하의 인접한 픽셀들을 추출함으로써 구분될 수 있다. 합류부의 영역은 전단층의 경계뿐 아니라 전단층의 두께, 길이, 또는 지류의 형상을 통해 특징지어질 수 있다. 특히 전단층의 두께는 전단층이 하천의 한쪽 변에 닿는 지점과 전단층 경계의 거리인데, 이는 지류의 영역이 흐름 방향과 폭방향으로 정의될 때 합류부의 시작부터 지류의 끝 부분의 폭을 계산함으로써 얻을 수 있다. 본 연구에서는 하천과 전단층의 사행을 고려하여 본류와 지류 픽셀을 SOM을 이용해 흐름방향과 폭 방향으로 구분하였다.
Kohonen 신경망이라고도 불리우는 SOM (Kohonen, 1990)은 고차원의 자료를 1-3차원의 인식하기 쉬운 다양체(manifold)로 투영하는 기법으로 자료 패턴 도시화에 많이 이용되는 비지도학습 신경망 알고리듬이다. SOM은 큰 크기의 자료를 순서가 매겨진 격자와 각 격자별로 유클리드 거리가 가까운 자료를 구분할 수 있어 가까운 자료로 투영하기 때문에 통계적으로 비슷한 자료를 군집화하고 각 군집 간의 형태를 파악하는 데에 이점이 있다.
일반적인 SOM의 자료 구조는 입력 층과 출력 층 총 두 신경망으로 구성된다. 입력 층은 M개의 변수를 가진 N개의 자료로 구성되는 학습 데이터 층이다. 출력층은 경쟁층으로도 불리우며, 실제 경쟁 학습이 수행되는 부분이다. 출력층은 사용가 정의한 크기의 격자로 구성되며, 각 격자의 절점은 M개의 차원을 가진 입력층과 완전 연결(fully connected)된 신경망이다. SOM의 자료 구조는 Fig. 5에 개념적으로 도시화 되었다.
SOM의 학습 알고리듬은 경쟁 단계와 협력 단계 두 단계로 나뉘어진다. 경쟁 단계에서는 무작위로 입력 층의 특정 자료가 선택되면 유클리드 거리를 기반으로 선택된 자료와 가장 가까운 격자 절점인 승자 뉴런을 찾아낸다. 경쟁 단계에서 승자 뉴런이 결정되면 협력 단계에서 해당 뉴런과 격자 내에서 인접한 뉴런들의 위치를 선택된 자료를 향해 아래 식과 같이 이동시킨다.
여기서, t는 학습 단계; 는 학습률; 는 이웃함수; 은 무작위로 선택된 자료이다. 는 승자 노드와 이웃한 노드의 위치가 조정되는 정도를 조절하기 위한 커널로, 승자 노드와 나머지 노드의 거리를 , 이웃 함수의 유효 반경을 라고 할 때 다음과 같다.
이 때, 학습률 와 이웃 함수의 유효 반경 는 학습이 진행됨에 따라 지수함수적으로 감소한다. 그래서 학습이 진행될수록 협력 단계에서 승자 노드와 함께 조정되는 그리드의 개수가 점점 감소한다. SOM은 이 두 단계의 학습 과정을 사용자 정의 횟수만큼 반복한다.
본 연구에서는 하천의 유선을 구분해내는 것이 목적이므로, SOM 신경망 격자를 1차원 다양체로 설정하였다. 그리고 본류와 지류의 흐름 거리에 따른 형상파악을 위해 이미지 내에서 픽셀 포인트로 정의된 직교좌표계 를 1차원 다양체로 투영된 SOM의 격자를 따라 흐름방향 좌표 와 폭방향 좌표 로 정의한 곡선 좌표계인 로 변환하였다. 크기의 SOM 신경망에서 i번째 그리드 절점 벡터를 라고 할 때 개의 구간을 지나는 방향 벡터를 다음과 같이 정의할 수 있다.
여기서, 는 벡터의 -노름이다. 이 때, 이 방향벡터와 구간의 두 그리드 절점을 통해 정의된 , 의 두 초평면 사이에서 Eq. (11)의 꼴로 직교좌표계 상에서 i번째 구간에 해당하는 픽셀 포인트를 정의할 수 있다.
이 단계에서 산정된 i번째 구간에 해당되는 이미지 픽셀들의 좌표를 곡선 좌표계에 투영하면 구간 별로 연속된 형태의 좌표계 변환 값을 구할 수 있다. SOM 벡터 구간을 정의하는 i번째 초평면에서 해당 구간의 보조벡터와 임의의 픽셀 포인트 가 i번째 초평면과 이루는 이루는 사잇각이 일 때, 변환되는 좌표는 다음과 같다.
Fig. 6는 위 좌표 변환 과정을 도시화한 것이다.
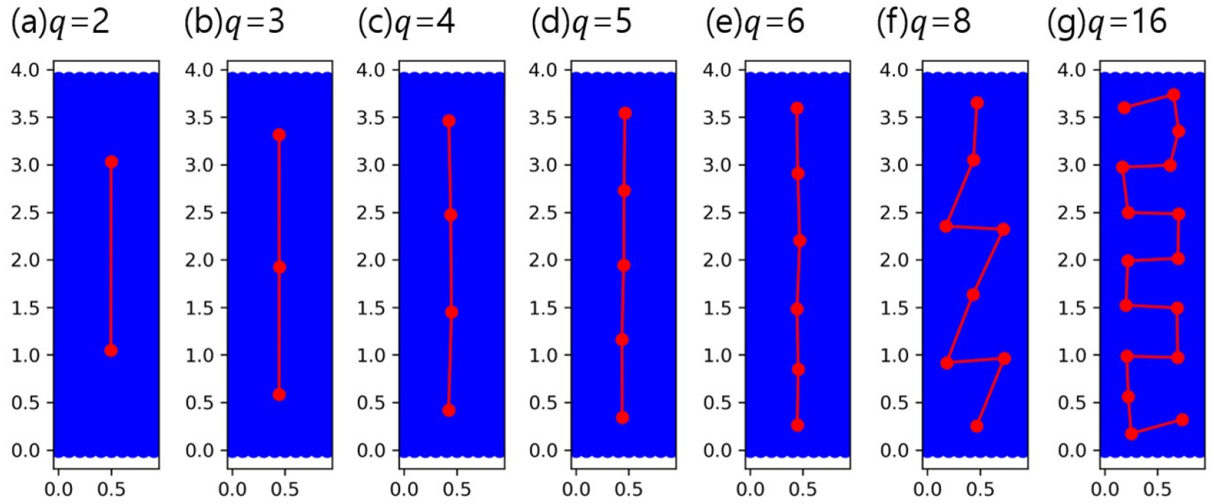
Fig. 7은 1×4 공간에 균등하게 분포한 자료에 SOM 격자노드의 개수 q를 늘려가면서 학습한 결과이다. 만약 SOM 격자의 배열 개수가 자료공간이 상호작용할 수 있는 종횡비보다 긴 경우에는 SOM 격자가 자료의 공간을 채우기 위해 Fig. 7(g)에 도시화된 바와 같이 페아노 곡선(Peano curve)을 구성하게 된다(Kohonen, 2001). 따라서 1차원 SOM 격자 구간이 너무 많아서 자연하천 내에 페아노 곡선이 형성되면 곡선좌표계 투영 시 자연하천의 형상이 왜곡된다. 반면, 격자의 개수가 너무 적은 경우에는 만곡부가 존재하는 자연하천의 곡률을 매끄럽게 투영할 수 없다는 문제가 있다. 본 연구에서는 최적의 격자 개수()의 결정 문제를 해결하기 위해 여러 목적함수를 시험하여 아래 식과 같은 목적함수 를 최종적으로 선정하였다.
SOM이 하천의 형상을 올바르게 학습했을 때에는 하천이 속한 픽셀의 중앙을 따라 격자가 위치할 것이고, 격자가 중앙에 있을 때 투영된 좌표의 분산은 줄어드는 대신 투영된 하천의 길이 는 최대가 될 것이다. 따라서 본 알고리듬은 SOM 격자의 수를 늘려가면서 이 목적함수를 평가했을 때 목적함수를 최소화하는 격자의 개수를 최적 격자 개수로 결정하였다.
또한, 위 방법과 같이 대표 벡터좌표만으로 구간을 정의하여 자료를 투영할 때 SOM 가중치 벡터 과 이웃하는 두 초공간 과 에서 두 공간 모두에서 중복 포함되는 픽셀과 두 공간 모두에서 포함되지 않아 누락되는 자료가 발생한다. 하천의 만곡이 클수록, SOM 격자 개수가 적을수록 격자 간 보조벡터들이 이루는 각도가 커지기 때문에 곡선좌표계상에서 중복 혹은 누락되는 픽셀의 개수도 증가한다. 따라서 자연하천의 만곡 형상을 곡선좌표계로 투영할 때에 보다 높은 해상도와 정확도를 확보하기 위해서는 보다 많은 격자점을 두어 격자 간 보조벡터들이 이루는 각도를 최소화할 필요가 있다. 이에 격자 간 각도차를 줄이기 위해 학습된 SOM 격자에 B-spline 내삽 기법을 적용하여 중복 혹은 누락되는 픽셀 값을 최소화하였다. 여기서 격자 내삽 시 증가하는 격자의 개수 또한 위의 목적함수 Eq. (14)를 이용하여 결정하였다.
2.3 전단층의 기하학적 형상 분석
Hackney and Carling (2011)과 Dixon et al. (2018)는 하천의 합류각을 합류하는 두 하천의 중심선을 연장했을 때 교차하는 지점으로 정의하였다. 본류와 지류로 학습된 두 개의 SOM 신경망은 하천의 중심을 따라 연속되므로 본 전단층 분석법은 선행 연구에서 정의한 합류각의 정의를 따라 전단층이 시작하는 합류부 시작 지점과 인접한 본류와 지류의 SOM 격자 구간을 각각 취하여 두 격자 구간이 이루는 각도를 합류각으로 계산하였다(Fig. 8).
2.3장의 Fig. 2에서 도시화된 나머지 길이 변수들(하천과 전단층의 폭, 전단층 길이)은 앞서 하천 곡선좌표계로부터 간단히 구해질 수 있다. 그 중 전단층의 폭과 전단층 길이를 산정하기 위해서는 전단층이 위치하는 픽셀을 구한 뒤에 전단층의 최상류 지점과 전단층이 끝나는 지점을 산정해야 한다. 전단층이 위치하는 픽셀은 분리된 본류와 지류의 픽셀에서 좌표를 이용해 하류에서 상류로 역순으로 픽셀 간 거리를 산정했을 때 서로 접촉하는 픽셀들로 정의하였다. 전단층이 위치하는 픽셀들이 결정되면, 전단층의 길이와 폭은 각각 곡선좌표계 상 길이와 폭을 계산함으로써 산정된다.
3. 방법론 적용 및 수리학적 분석
3.1 대상 지역
개발된 방법론의 적용 대상 지역은 경상남도에 위치한 낙동강과 남강의 합류부로, 낙동강의 합천창녕보-창녕함안보 구간에서 상하류에 위치한 두 보에서 각각 30 km, 12 km 떨어져 있다. RGB 영상은 대상 지역에서 2020년 9월에 촬영된 정사영상으로, Google Earth를 통해 확보된 자료를 이용하였다. 대상 지역인 낙동강과 남강은 각각 모래질과 실트질의 입도를 가지고 있고 유사특성이 다르다고 알려져 있으며(Son et al., 2021), 따라서 해당 시기에 촬영된 RGB 영상에서는 본류와 지류의 색이 혼합 경계면을 기준으로 확연하게 구분되므로 본 연구에서 제안하는 방법론을 적용하기에 적합하다고 판단하였다.
3.2 적용 결과
적용 대상 RGB 영상(Fig. 9)에 GMM을 적용한 영상 분할을 수행하기 이전에, 하천의 상하류 끝부분의 형상을 단순화하여 SOM 격자 학습 시 오차를 줄이고자 하는 목적으로 영상을 잘라내는 작업을 알고리듬에 포함하였다. Fig. 10은 영상을 잘라내는 과정을 캡쳐한 화면으로, 이는 왼쪽 사진과 같이 공간을 특정하면 오른쪽과 같이 영역을 잘라내는 방식으로 구성되었다. 그리고 뒤따르는 방법들은 관심 구역만 남기고 잘라낸 영상에 적용되었다. 편집된 영상만으로 영상 분석이 수행되기 때문에 영상을 편집할 때 관심 대상 구역 내에 전단층 경계면을 가능한 한 포함하는 것이 중요하다.
GMM을 이용한 영상 분할 적용 결과는 Fig. 11에 도시된 바와 같이 색 군집의 명도를 달리 한 회색조 영상과 같다. 본 적용 사례에서는 GMM을 이용해 영상을 분할하는 단계에서 구분할 색 군집의 개수 K는 10개로 설정하였다. 군집의 개수를 적게 두게 되면 본류와 지류 구역이 잘 구분되지 않으나, 군집의 개수가 많으면 그림에서 지류의 상류와 전단층 부분의 색이 다르게 구분된 것과 같이 하나의 수체 내에서 여러 구역이 구분될 수 있다. 이 때 같은 하천이나 다르게 구분된 픽셀들을 병합하기 위해 사용자가 참조점을 지정하면 참조점에서 색이 연속되는 지점을 함께 선택하는 방법을 채택했다. 여기서, 참조점의 색깔은 본류의 경우 자주색, 지류는 노란색 원으로 표시되었고, 이 과정을 통해 추출된 본류와 지류의 수체 영역은 Fig. 12와 같다.
Fig. 13은 SOM 격자를 앞의 단계에서 추출된 수체 영역에 학습시킨 결과를 파란색과 녹색 선으로, SOM 격자를 내삽한 결과를 자주색과 노란색 선으로 하여 GMM 영상 분할 결과에 도시화한 것이다. 그리고 도시화된 격자를 이용해 하천 곡선좌표계로 변환한 결과를 Fig. 14에 나타냈으며, 인접한 구간은 서로 다른 색으로 표시하였다. SOM 격자 구간의 개수는 본류와 지류에서 각각 3개와 6개로 나타났으며, 내삽시 최적의 구간 개수는 결과는 본류에서 18개, 18개로 산정되었다. Figs. 14(a) and 14(c)에서 보이는 바와 같이 SOM 격자만으로 좌표 변환 시 구간 경계에서 격자 간 각도차이로 인해 좌표 변환시 경계가 매끄럽지 않게 투영되는 결과가 발생하는데, 격자를 내삽한 후 좌표 변환을 수행한 결과인 Figs. 14(b) and 14(d)에서는 구간 경계 부분이 비교적 매끄러워짐을 볼 수 있다. 이를 통해 SOM 격자를 내삽한 결과를 이용하면 격자구간 사이 각도 차이로 인해 발생되는 오차가 감소함을 확인할 수 있었다. 다만, 중간에 위치한 격자들은 하천의 중심선을 비교적 잘 따라가는 결과를 보였으나 투영된 격자의 가장자리 부분에서는 가장자리의 벡터를 선형으로 외삽하여 좌표변환을 했기 때문에 가장자리에 위치한 두 격자의 좌표변환 결과에는 다소 오차가 있었다. 따라서 정량적인 합류부 변수의 오차를 줄이기 위해서는 합류부가 SOM 격자의 중간 부분에 오도록 영상 편집 시 하천 공간을 충분히 남겨두는 것이 바람직하다.
위 과정을 통해 최종적으로 추출된 전단층의 경계 주변 픽셀을 곡선으로, 시작하는 부분과 끝나는 부분을 파란색 원으로 Fig. 15에 표시 하였다. 여기에서 진한 녹색을 띠는 남강과 황토색이 섞인 낙동강의 경계를 따라서 전단층이 추출되었음을 확인할 수 있었다. 그리고 상기 과정을 통해 산정된 합류부 전단층 특징은 Table 1과 같다. Table 1의 변수는 Fig. 2에서 도시화된 변수들의 위치와 상응하며, 각 변수의 위치를 Fig. 15에 추가적으로 표시하였다. 합류각을 대상 지역의 항공사진에 따르면 두 하천이 합류하는 합류부의 시작 부분인 낙동강 상류부의 우안과 남강 합류부의 좌안부가 이루는 각도는 90도에 가까우나 자연하천은 합류하는 부분에서 하천 폭이 하류방향으로 확장되기 때문에 하천 수체의 중심부는 하류 방향으로 다소 치우치는 경향이 있어 산정된 합류각은 약 59도로 나타났다. 낙동강 본류의 하천 폭은 합류 시에 약 351 m였으나 299 m정도 폭을 가진 지류가 합류한 뒤 하류 방향의 폭은 394 m로 확장되는 것으로 드러났다. 위성영상 촬영 당시 전단층의 최대 폭은 307 m, 길이는 1,690 m에 이르는 것으로 산정되었다.
Table 1.
Extracted geographic features from the image
4. 결 론
본 연구는 취득 비용이 저렴한 RGB 항공영상을 이용해 자연하천 합류부에서 발생하는 전단층의 기하학적 특징을 추출하는 방법을 제안한다. 이 방법은 합류하는 두 하천의 부유사 조건 차이로 인해 수체의 색이 대비되는 때에 적용 가능한 방법으로 RGB 영상으로부터 합류각, 합류 전후의 하천 폭, 전단층의 길이와 두께 등의 자연하천 합류부 전단층 주변의 기하학적 특징을 추출한다. 본문에서는 전단층의 특징을 추출하는 데에 사용된 방법론을 기술한 후 경상남도에 위치한 낙동강과 남강의 합류부에서 촬영된 RGB 위성 영상에 성공적으로 적용됨을 보였다.
개발된 합류부 전단층 추출법은 기존 전통적인 합류부 계측 방법들을 보완 및 대체할 수 있는 방법으로 위성이나 무인항공체를 이용해 낮은 비용의 RGB 항공 영상을 이용한다는 점에서 합류부 연구 방법론의 효율성에 기여한다. 예를 들어, 측선 바탕의 계측 방법은 측선과 측선 사이 구간은 계측되지 않는다는 문제가 있는데, 본 연구 방법론의 평면 2차원 정보를 참조하면 측선과 측선 사이를 보간하여 공간적으로 정보를 구축할 때의 정확도를 향상시킬 수 있다. 정량적으로 산정된 전단층의 길이와 두께를 참조하면 현장 계측 또는 수치 실험 시 연구 영역과 이에 따른 해석법을 결정하는 데에 활용될 수 있다. 특히, 물질 혼합 연구 시에는 물질 주입 장소에서는 3차원 모형으로 해석을 하고 혼합 정도에 따라 해석법의 차원을 1차원까지 줄이는 것이 일반적인데, 이러한 경우에 본 전단층 추출법을 적용하면 정확하고 효율적인 연구 진행을 도모할 수 있을 것으로 판단된다. 본 연구에서는 전단층 추출법의 적용을 자연하천을 촬영한 항공 영상을 예로 서술하였으나 자연하천 뿐 아니라 인공 수로를 촬영한 영상에도 본 추출법이 적용될 수 있다.
하지만 본 전단층 추출법 이용 시 항공사진을 바탕으로 취득된 평면 정보를 다룬다는 점에서 다음과 같은 단점을 유념하여야 한다. 우선, 본 분석법은 전단층의 평면 2차원 거동을 가정하기 때문에 하상과 가까운 위치에서 발생하는 SOV와 같은 3차원 흐름 특성은 본 분석법을 통해 관찰 및 분석을 할 수 없다는 한계가 있다. 또, 하상고가 불연속적인 경우에 두 하천의 하상 경계에서 발생할 수 있는 난류강도의 증가(Gaudet and Roy, 1995) 또는 합류하는 두 수체의 밀도가 다를 때 발생하는 밀도류 효과(Ramón et al., 2013; Constantinescu et al., 2016)로 인해 표층과 저층의 농도가 다를 때에는 전단층의 길이가 과소평가될 수 있다. 본 연구 대상인 낙동강과 남강에서 현장 계측을 수행한 Son et al. (2021)은 합류부에서의 3차원 혼합 구조와 세굴 양상 모두 전단층을 따라 발달한다고 보고했다. 따라서 본 연구에서 제안하는 준 2차원 가정을 바탕으로 한 전단층 특징 추출법을 자연하천의 3차원 흐름구조의 특성을 분석하는 데에 적용하는 것은 유효하다.

















