1. 서 론
2. 해석모형의 이론
2.1 불확실성을 고려한 Bayesian 강우빈도해석
2.2 Bayesian HEC-1 강우-유출 모형
2.3 1차원 및 2차원 수리해석 모형
2.4 하천-제내지 연계 수리해석 기법
3. 모형의 적용
3.1 대상유역
3.2 수문시나리오 작성
3.3 하천-제내지 연계 홍수범람 해석
3.4 모의결과의 타당성 검토
3.5 홍수위험지도 작성
4. 결 론
1. 서 론
최근 들어 기후변화의 영향으로 홍수의 강도 및 빈도가 증가하고 있는 추세이며 최근 발생하는 홍수사상들은 홍수위험(flood risk)에 대한 영향이 광범위하게 나타나며 이로 인한 홍수위험관리에 대한 필요성이 꾸준히 제기되고 있다. 이러한 홍수위험에 대한 분석 및 평가는 홍수범람에 대한 모델링이 필요하며, 이는 하천유역에서의 인명 및 재산피해와 직결되는 위험도를 어떻게 관리할 것인가에 대한 의사결정을 지원하게 된다. 따라서 시공간적인 동수역학 해석모형이 홍수범람도를 작성하는데 있어서 중요한 역할을 하며 홍수위험평가에 적합한 모형들의 핵심요소는 홍수사상의 발생 지속시간과 시계열 범람정보를 제공하는 기능이라고 할 수 있다. 특히 제방의 월류 및 파괴에 의해 발생되는 홍수사상은 홍수파에 의해 재산 및 생태계의 파괴와 인명의 손실을 야기할 수 있기 때문에 사회 환경적으로 커다란 관심사가 되고 있으며 심각한 사회비용을 줄이기 위해 이에 대한 정확한 예측의 필요성이 증가하고 있다.
제방의 월류 및 파제에 의한 측방향으로의 하천유량 범람을 모의하기 위해서는 1차원 및 2차원을 연계한 수리해석 기법이 제내지의 침수범위를 예측하는데 가장 효율적이고 정확한 방법이 될 수 있다. 이러한 연계기법은 제방의 위어 공식이 1차원 및 2차원 모형의 연계에 적용될 때 물리적 현상을 가장 적합하게 반영할 수 있음을 의미한다. Fang and Su (2006)는 2차원 지표류 흐름과 배수로 및 지하 우수관거의 1차원 흐름을 모의하기 위해 배수로를 특별한 유동경로로 처리하고 여러 면의 2차원 계산셀을 따라 경계면 처리를 통해 통합된 1-2차원 연계모형을 개발한 바 있다. 또한 Lin et al. (2006)은 1차원 및 2차원 모형을 통합하여 가상의 시험사례들에 대해 연계모형을 시험한 바 있는데 1차원 및 2차원 모형은 위어 식에 의해 유동이 연계되었다. 한편, Ahmadian et al. (2015)은 제방 월류나 파제에 의한 범람현상을 모의하기 위해 1차원과 2차원 연계지점에서의 두 영역간의 유동을 하천 및 2차원 셀에서의 수위와 제방의 높이에 근거하여 계산을 수행한 바 있다. 또한 Di Baldassarre et al.(2009)은 이탈리아 River Po에서 범람홍수파의 전파 해석을 1차원 유한차분모형인 HEC-RAS (Hydrologic Engineering Center-River Analysis System) 모형과 2차원 유한요소모형인 TELEMAC-2D를 연계하여 수치모의를 수행한 바 있다. 한편, 국내의 경우 하천 제방의 붕괴 및 월류에 따른 홍수범람 해석을 위해 FLDWAV (Flood Wave routing) 모형에 의한 하천의 1차원 부정류 해석결과를 이용하여 제방의 붕괴양상을 고려한 범람 수문곡선을 유도한 후 이를 제내지의 2차원 유한차분모형에 적용한 바 있으며(Lee and Han, 1989; Choi and Han, 2005; Park et al., 2011) 제방붕괴에 따른 제내지의 침수양상을 예측하여 침수재해 위험도나 홍수지도를 작성한 바 있다(Lee et al., 2006; Park, 2012). 또한 제내지와 하도를 연계한 하천유역의 홍수유출해석기법을 적용하여 삽교호의 수리특성을 검토하고자 하도로 유입되는 수문량과 배수갑문을 연계한 침수 해석을 수행한 바 있다(Jang et al., 2006). 그러나 대부분의 범람해석에 대한 연구는 하천과 제내지의 수치모의를 경계조건 설정을 통해 각각 분리 수행해 왔으며 과거 발생한 단일 홍수사상에 대한 재현위주로 모의가 수행되었고 일부 연구에서는 주요 설계빈도별 홍수량을 단순적용하여 침수범위의 변화를 예측하고자 하였다. 따라서 수문학적 불확실성을 반영한 신뢰구간별 홍수량 분석과 월류 및 파제에 의한 다양한 시나리오 기반의 극치수문사상을 고려한 하천과 제내지를 연계한 홍수범람 해석을 수행한 사례는 극히 드문 실정이다.
본 연구에서는 하천과 제내지의 복잡한 수리학적 연계거동을 고려하여 통합된 1-2차원 범람해석을 수행하였다. 또한 수문학적 불확실성을 반영한 극치수문사상을 고려하여 월류 및 파제를 포함한 시나리오 기반의 다양한 해석을 통해 제내지의 홍수위험도를 정량적으로 예측할 수 있는 기법을 제시하고자 하였다.
2. 해석모형의 이론
2.1 불확실성을 고려한 Bayesian 강우빈도해석
수문순환과정을 해석하는데 있어 가장 기초적인 입력자료로 이용되는 자료는 강수량이다. 따라서 신뢰성이 확보된 강수량 자료의 확보가 수문해석의 정확성을 좌우한다. 본 연구에서는 극치강우빈도 해석 시에 가장 많이 사용되는 분포이며, ‘한국 확률강우량도 개선 및 보완 연구’(Ministry of Land, Infrastructure and Transport, 2011)에서 모든 관측소에 대하여 최적 확률분포형으로 채택한 Gumbel 분포를 적용하였다. Gumbel 분포의 확률밀도함수와 누적분포함수는 Eq. (1)과 Eq. (2)와 같이 표시할 수 있다.
(1)
(2)
여기서
는 축척 매개변수(scale parameter)로
> 0이고
는 위치 매개변수(location parameter)이다.
또한 불확실성을 고려한 수문해석을 위하여 사전분포와 사후분포의 개념을 도입한 Bayesian 기법을 활용한 빈도해석 연구가 다수 진행된 바 있다(Reis and Stedinger, 2005; Zhai et al., 2005; Scott and Lall, 2015). Bayes 정리는 매개변수
와 확률변수
의 결합 확률분포는 사전분포(prior distribution)와 우도(likelihood)의 곱으로 추론되는 개념이다. 즉, 사후분포(posterior distribution)는 사전분포와 우도의 곱에 비례하여 우도와 사후분포가 연속적으로 갱신되면서 불확실성을 정량적으로 해석할 수 있다. 즉 Eqs. (3)~(5)와 같이 확률분포형의 매개변수들은 확률분포를 가지게 된다.
(3)
(4)
(5)
사전분포를 통한 매개변수 추정을 위한 Bayes 정리에 의하여 사후분포는 Eq. (6)과 같이 정리될 수 있다.
(6)
여기서 Y는 벡터자료로서 강우자료를 의미하며
는
와
로 Gumbel 분포의 매개변수를 의미한다. 즉, 우변의
는 주변분포(marginal distribution)이고
는 발생할 수 있는 가능성을 고려한 우도함수를 나타내는 것으로 Eq. (7)과 같다. 
(7)
2.2 Bayesian HEC-1 강우-유출 모형
국내외적으로 수문해석을 위해서 이용되는 강우-유출 모형은 매우 다양하다. 본 연구에서는 유출해석을 위하여 이용한 단기 강우-유출 모형은 미육군 공병단에서 개발한 HEC (Hydrologic Engineering Center)-1 모형을 사용하였다. Kwon et al. (2012)은 HEC-1 모형을 적용하는데 있어 매개변수의 불확실성을 정량화하기 위하여 전술한 Bayesian 기법을 적용하여 Bayesian HEC-1 모형을 개발하였다. 이를 토대로 본 연구에서는 강우-유출 모형 매개변수의 최적화와 불확실성 정량화가 동시에 가능한 강우-유출 모형을 개발하여 보다 신뢰성이 확보된 수문해석을 수행하였다. 현재 국내에서 일반적으로 유출해석을 수행하는데 있어 유출곡선번호(SCS Runoff Curve Number; CN)를 이용한 유효우량 산정기법과 Clark 합성단위유량도 기법을 이용한 유출해석을 채택하고 있다. 따라서 본 연구에서는 CN값과 도달시간(
) 및 저류상수(
)를 불확실성 평가를 위한 매개변수로 설정하였다.
수문자료를 특정 확률분포형에 적합하게 분석하기 위해서는 수문자료로부터 확률분포의 특성을 대표하는 매개변수를 추정하는 것이 필수적이다. 이를 위해서 본 연구에서는 Markov Chain Monte Carlo (MCMC)기법을 활용하였다. 이러한 MCMC 기법은 Markov Chain을 기반으로 한 확률분포형을 갖는 표본을 추출하는 알고리즘이다. Monte Carlo 기법은 수리적으로 계산이 불가능하거나 복잡한 적분 및 추정 등의 문제에 이용되며 위험도 및 불확실성을 평가하는 수단으로 널리 이용되고 있다. 또한 관심이 있는 값을 확률변수의 기대값으로 표현하고 이를 모의를 통하여 추출된 동일한 분포를 따르며 서로 독립인 표본들의 표본평균을 이용하여 추정하는 방법이라고 할 수 있다. 이에 반해 MCMC기법은 다변량 확률분포(multivariate probability density function)가 복잡하여 결합확률(joint probability)을 정확히 고려하기 어려운 경우에 적용하는 방법으로 서로 독립인 형태의 변량 대신에 Markov Chain을 따르는 변량을 연속적으로 추출하여 사용하게 된다. Markov Chain을 통해 초기에 추출된 변량들은 연속적인 모의를 통해서 충분한 시간이 경과하게 되면 가정한 확률분포에 수렴하게 된다. 따라서 MCMC 기법은 복잡한 다변량 확률분포 및 매개변수 추정을 요하는 문제에서 주로 사용되며 또한 Bayesian 통계기법에서 사후분포의 추론에 이용될 수 있다. 본 연구에서는 두 가지 관점에서 MCMC 기법을 이용한다. 즉 강우-유출 모형의 여러 매개변수의 최적해를 구할 뿐만 아니라 이에 따른 매개변수의 사후분포를 추정하게 된다. 따라서 본 연구에서는 Bayesian MCMC 방법 중 Gibbs Sampling을 활용하여 강우-유출 모형의 매개변수를 소유역별로 추정하였다. 각 소유역의 매개변수에 대한 결합확률은 Eq. (9)와 같다.
(8a)
(8b)
(8c)
(9)
2.3 1차원 및 2차원 수리해석 모형
단일 및 복합하도에서의 흐름을 모의하기 위한 지배방정식은 1차원 St. Venant 식에 기반하여 확산파 접근법에서 운동량 방정식의 관성항을 상대적으로 무시하면 다음과 같은 하천유속에 대한 Eq. (10)으로 근사화 될 수 있다(Hergarten and Neugebauer, 1995).
(10)
Q=VA를 이용하여 Eq. (10)을 St. Venant 식의 연속방정식에 대입하면 다음과 같은 확산형 방정식을 얻을 수 있다(Yeh et al., 2005)
(11)
여기서
(12)
여기서 t는 시간, A는 하천의 흐름단면적, H는 수위,
은 강우에 의한 유입량,
는 증발산에 의한 유출량,
및
는 제내지 유동에 의한 유출입량을 나타낸다. h는 수심, V는 유속, g는 중력가속도,
는 하상고,
는 물의 밀도, B는 하천 단면폭, R은 동수반경,
는 하상전단응력, n는 Manning의 조도계수, a는 단위조절변수(SI단위는 1, US단위는 1.49)를 나타낸다.
한편, 제내지의 범람해석은 확산파 접근법에 기반한 2차원 천수방정식을 이용하였으며 Eqs. (13), (14)로 나타낼 수 있다(Yeh et al., 2005).
(13)
여기서
(14)
전술한 1차원 및 2차원 확산형 방정식으로 부정류 해석을 수행하기 위해서는 수위나 수심이 초기조건으로써 주어져야 하며 추가적으로 적절한 경계조건 지정이 필요하다. 즉, (1) 주어진 시간별 수위/수심에 의한 Dirichlet 경계조건, (2) 주어진 시간별 유동 경계조건, (3) 유량이 수심의 함수로 주어진 수위-유량 관계식, (4) 제내지-하도 경계면 조건 등이 있다.
1차원 및 2차원 유동의 지배방정식인 Eq. (11)과 Eq. (13)에 대해 공간적으로는 Galerkin 유한요소기법을 시간적으로는 시간가중 유한차분기법으로 이산화하여 분산행렬식에 대한 수치해를 얻을 수 있다. 또한 2차원 범람 해석시 제내지의 초기조건을 dry element로 가정하였다. 여기에서 해당요소의 최소 수심을 10-6 m으로 하여 이보다 낮은 수심으로 계산될 때 해당 요소는 dry 조건이 고려될 수 있도록 유속성분을 0이 되도록 하였다. 이후 해당 요소는 다시 최소 수심으로 채워지는 과정을 반영하였다. 그리고 나서 대상영역내의 질량보존 상태를 유지하기 위해 물을 포함하고 있는 인접 element로부터 유량이 빠져나가고 동일 element 내에서 유동이 이전과 같은 유속성분을 유지하는 방식으로 drying/wetting 상태를 처리하는 기법을 채택하였다.
2.4 하천-제내지 연계 수리해석 기법
1차원 하도 영역과 인접한 2차원 제내지 영역간의 유동교환(flux exchange)은 양쪽 횡방향으로 제방을 통해 주로 발생한다. 이러한 상호작용은 모든 1차원 절점에 대해 두 개의 2차원 절점들로 연결되어 하나의 하도 절점에 대한 유출입(source/sink)으로써 하천의 양방향으로 유동에 기여하도록 하였다. 이러한 유출입 유동은 하도와 제내지 경계면에 위치하는 제방의 월류나 파제에 의해 제내지로의 범람유입량이 결정되게 된다.
하도와 제내지간의 상호유동은 1차원 절점에서의 수위와 2차원 절점에서의 수위를 계산시간 간격마다 동적으로 고려함으로써 위어공식으로 결정되며 동일한 계산시간 간격내의 2차원 계산에서 절점의 유출입으로 고려된다. 즉, 제방을 포함하는 2차원 절점은 상호유동이 발생하는 위치로써 고려되며 1차원 부정류 계산의 각 시간단계에서의 수위와 해당절점과 연계된 2차원 절점에서의 계산수위에 의해 유출입량이 산정됨으로써 하도-제내지가 연계된 통합수리해석이 가능하도록 하였다.
제방의 붕괴발생 원인은 크게 월류에 의한 붕괴, 파이핑 현상에 의한 붕괴, 제방침식에 의한 제체 안정성 미흡에 의한 붕괴로 구분할 수 있다. 제방붕괴를 고려하기 위한 핵심요소는 제방붕괴단면의 형상을 결정하는 방법이라고 할 수 있다. 일본 국토교통성의 Flood Hazard Map Manual (2015)에 의하면 제방붕괴폭은 파제 지점의 위치가 합류점 부근을 기준으로 다음과 같이 결정할 수 있다.
(합류점인 경우) (15)
(합류점이 아닌 경우) (16)
여기서
는 제방의 붕괴폭(m)이고
는 하천폭(m)이다. 파제 지점이 하천의 합류점인지를 판단하는 여부는 본류로 유입되는 지류의 하천폭이 본류의 30% 이상으로 영향구간은 합류전에서 상하류로 본류 하천폭의 2배 정도의 구간을 기준으로 한다. 또한 Park et al. (2011)이 제시한 것처럼 최종 붕괴단면은 Fig. 1에서 보는 바와 같이 최초 붕괴폭
에서 최종 붕괴폭
로 선형적으로 확대되고 그 과정은 붕괴 후 1시간 이내에 이루어지는 것으로 가정하여 모의에 반영하였다.
제방의 월류 및 파제에 의한 제내지로의 범람유입량은 다음과 같은 위어 식을 이용하여 산정할 수 있다(Lee et al., 2010).
(17)
여기서 Q는 제내지 유입량,
는 유량계수,
은 제방 붕괴폭,
는 붕괴된 바닥면에서부터 하도수위까지의 높이를 나타낸다.
3. 모형의 적용
3.1 대상유역
본 연구에서 적용된 대상유역은 낙동강 중류부의 왜관수위표 지점부터 고령수위표 지점까지의 39.9 km 본류 하도구간과 금호강 중류부의 산격수위표 지점부터 낙동강 합류부까지 19.1 km 지류 하도구간을 1차원 모의대상 지역으로 선정하였다. 또한 낙동강과 금호강의 합류부로써 강정고령보 직하류부 인근의 제내지에 위치하고 있는 성서공단 지역을 2차원 모의대상 지역으로 선정하였다. 성서공단 지역은 공단시설과 주거시설이 복합적으로 배치되어 있고 낙동강과 금호강 합류부에 위치하고 있어 제방의 월류 및 파제에 의한 침수발생 확률이 비교적 높고, 외수범람 및 내수침수 발생시 큰 피해가 예상되므로 홍수위험지도 작성이 필요한 지역이다(Fig. 2 참조).
3.2 수문시나리오 작성
본 연구에서는 하천의 1차원 부정류 모의에 있어 경계조건으로 반영하기 위해 본류인 낙동강 상류경계 지점인 왜관수위표 지점과 지류인 금호강 상류경계 지점인 산격수위표 지점에 대한 확률홍수량을 수문시나리오로 고려하였다. 이러한 확률홍수량을 유도하기 위해 Kwon et al. (2012, 2013)이 제안한 극치강수량을 정량화하는 비정상성 빈도해석을 수행하였으며, 본 연구에서는 Bayesian 기법을 적용하여 빈도해석 과정에서의 매개변수 불확실성이 고려된 설계강수량을 추정하였다. 확률홍수량을 산정함에 있어서 유역의 특성, 강우의 시간분포 및 적용하는 강우-유출모형에 따라 산정결과가 달라지므로 본 연구에서는 강우-유출 모형의 매개변수 최적화를 위하여 실무에 범용적으로 활용되고 있는 HEC-1 모형의 매개변수에 대한 불확실성을 정량화하였다. 이러한 매개변수들은 유역의 SCS 유출곡선번호, 도달시간, 저류상수 등이 해당되며 이들의 사후분포로부터 2.5%, 50%, 97.5%의 Quantile을 추출하여 매개변수의 신뢰구간을 추정하였다. 또한 임계지속시간은 설계하고자 하는 수공구조물의 특성에 따른 설계홍수량을 파악하고자 하는 시도에서 비롯된 개념이다. 일반적으로 하천의 경우 첨두홍수량이 최대가 되는 강우도달시간을 임계지속시간으로 결정하는데 본 연구에서는 강우지속시간을 24시간으로 고정하여 강우빈도해석을 수행하였으며 산정된 확률강우량을 Huff 시간분포형을 적용시켜 Clark 합성단위도법, 손실우량은 SCS 유효유량산정법으로 강우-유출모형의 매개변수를 산정하였다. 이와같이 본 연구에서는 강우의 불확실성과 강우-유출 과정의 불확실성이 종합적으로 고려된 다수의 홍수수문곡선을 추출하였다.
한편, 전술한 Bayesian 통계기법 기반의 최적화 방법을 통해 수문 매개변수의 추정 및 불확실성을 종합적으로 평가하였으며 그 과정은 다음과 같은 순서로 이루어진다. 첫째, 주요변량으로 고려된 CN,
, R의 사전확률분포를 결정한다. 둘째, 결정된 사전확률분포로부터 3개의 변량이 Markov Chain 형태로 조건부 분포를 이루도록 변량들을 추출한다. 셋째, 추출된 3개의 변량, 즉 매개변수와 관측유출량의 함수인 우도함수를 추정한다. 넷째, 앞서 언급된 사전확률분포와 우도함수를 최대화하는 방법을 통하여 최종적으로 사후분포가 유도되며, 유도된 사후분포가 결과적으로 매개변수의 불확실성 구간이 된다. 이러한 과정을 통해 매개변수간의 상관성을 고려할 수 있으며, 매개변수의 불확실성 구간이 결과적으로 수문곡선의 불확실성으로 표현되게 된다. 아울러 본 연구에서는 확률강우량의 경우에도 Bayesian 기법을 도입하여 동일하게 빈도해석 시 매개변수에 대한 불확실성을 도출하여 강우-유출모형의 입력자료로 활용하였다. 따라서 산정된 홍수수문곡선은 강우에서부터 강우-유출모형 단계까지 매개변수 추정상의 불확실성이 반영된 결과로 판단할 수 있다.
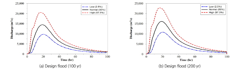
본 연구의 대상유역에서 극치강수량을 모의하기 위해 낙동강 중류부에 위치한 기상청 관할 3개의 기상관측소 강수량을 대상으로 수문분석을 수행하였으며 채택된 강수지점은 구미, 대구, 합천이며 모두 36년 이상의 강수량 자료를 보유하고 있다. Fig. 3은 3개 강수지점에 대해서 극치호우에 대한 빈도별 확률강우량을 산정한 결과를 나타내며 Fig. 4와 Fig. 5는 Bayesian HEC-1 강우-유출 모형을 통해 모의된 왜관수위표 및 산격수위표 지점의 신뢰구간별 100년/200년 빈도 확률홍수량을 나타낸다.
본 연구에서는 하천범람 해석을 위한 홍수시나리오로 왜관수위표 및 산격수위표 지점에 대한 신뢰구간 50%, 97.5%의 확률홍수량을 채택하여 낙동강 본류인 상류단 경계조건과 지류인 금호강 상류단 경계조건으로 각각 지정하여 하천-제내지를 연계한 범람해석을 수행하고자 하였다.
3.3 하천-제내지 연계 홍수범람 해석
하천과 제내지를 연계한 홍수범람 해석을 위해 대상유역의 1차원 하도 및 2차원 제내지 영역을 각각 126개, 5,679개의 불규칙 유한요소격자로 이산화하였으며 1차원 노드의 간격은 0.1~0.5 km, 2차원 노드의 간격은 35~50 m로 구성되었다. 또한 대상 제내지 영역의 2차원 노드와 인접한 1차원 노드의 간격은 2차원 노드의 간격과 일치시킴으로써 하도와 제내지가 연계된 통합수리해석이 가능하도록 하였다(Fig. 2 참조). 대상유역 내 하도구간의 조도계수는 낙동강 하천기본계획보고서(2013)에서 산정된 값을 적용하였고 제내지는 천변저류지와 도심지를 분할하여 각각 0.025, 0.015로 적용하였다.
본 절에서는 수문학적 불확실성이 고려된 확률홍수량 시나리오를 적용하여 1차원 하도 및 2차원 제내지를 연계한 범람해석을 수행하였다. 홍수범람 시나리오는 제방의 월류나 파제로 인한 외수범람을 고려하였는바 100년 및 200년 빈도의 신뢰구간 상한치(97.5%)의 확률홍수량을 적용하여 월류에 대한 시나리오를 구성하였으며 100년 및 200년 빈도의 신뢰구간 평균치(50%)의 확률홍수량을 적용하여 파제에 대한 시나리오로 설정하여 낙동강 및 금호강 상류단 경계조건으로 이용하였다. 또한 하류단 경계조건은 고령수위표 지점에서 빈도별 계획홍수위가 이용된 수위수문곡선을 적용하여 총 100시간동안 모의수행 되었다. 낙동강 본류구간에 위치한 강정고령보는 내부경계조건으로 고려하였는데 적용된 홍수시나리오는 설계빈도 200년의 계획홍수량을 상회하는 것으로 나타나 다기능보의 조절능력이 상실되는 것으로 판단되어 가동보의 수문을 전부 개방하는 것으로 내부경계조건을 지정하였다.
Fig. 6과 Fig. 7은 1차원 하도구간의 부정류 해석결과 제방월류가 발생하는 지점을 상류단으로부터의 거리로 표시하였다. 100년 빈도 평균치의 홍수시나리오로 모의한 결과, 본류 및 지류의 모든 하도단면에서 제방월류가 발생하지 않았으며 홍수위로부터 제방고까지 2.65~4.40 m의 여유고를 확보하는 것으로 나타났다. 한편, 100년 빈도 상한치의 홍수시나리오로 모의한 결과, 낙동강은 왜관수위표 지점으로부터 하류 25.3 km, 25.8 km 및 26.4 km 지점에서 금호강은 산격수위표 지점으로부터 하류 19.6 km 및 20.1 km 지점에서 월류가 발생하는 것으로 나타났으며, 왜관수위표 지점으로부터 하류 25.3 km 지점에서 0.88 m 가량의 최대 범람수심이 발생하였다. 최초 월류 발생시간은 계산시작 18시간 이후이며 9시간 동안 범람된 후 27시간 이후에 범람이 종료되었다. 200년 빈도 평균치의 홍수시나리오에서도 모든 하도구간에서 제방의 횡월류가 발생하지 않았으며 최대 홍수위로부터 1.89~3.83 m의 여유고를 보이는 것으로 예측되었다. 이에 비해 200년 빈도 상한치의 홍수시나리오에서는 낙동강은 왜관수위관측소 기준 하류 25.3 km, 25.8 km 및 26.4 km 지점의 하도에서 금호강은 산격수위관측소 기준 하류 19.6 km 및 20.1 km 지점에서 월류가 발생하는 것으로 나타났으며, 이때 왜관수위관측소 기준 하류 26.4 km 지점에서 약 1.13 m의 최대 범람수심이 발생하였으며 계산시작 16시간 이후에 횡월류가 시작되었고 13시간이 지난 29시간 이후에 범람이 종료되는 것으로 나타났다.
파제시나리오의 경우 과거 사례에서 보듯이 여유고가 확보된 지점에서도 파이핑에 의한 제방붕괴가 발생한 바 있어 본 모의 결과 하도의 수위가 위험수위까지 도달하지 않았지만 다른 요인에 의한 제체붕괴로 가정하고 파제시나리오를 구성하였으며 붕괴단면은 사각형 형상으로 가정하였다. 파제 지점은 1차원 해석결과 유속이 상대적으로 증가하는 낙동강과 금호강의 합류부 인근의 왜관수위관측소 기준 하류 25.3 km 지점과 산격수위관측소 기준 하류 20.1 km 지점을 선정하였으며 본류 및 지류의 붕괴폭은 전술한 Eqs. (15), (16)을 적용하여 각각 220.58 m, 103.92 m로 계산되었다. 그 결과 빈도별 파제시 하도에서 제내지로 유입되는 범람 유량수문곡선을 Fig. 8과 같이 산정하였다.
2차원 제내지의 모든 외부경계면 절점에 대해 zero-depth Dirichlet 경계조건을 지정하였고 하도와 연결된 제내지 경계면에 동적 시간별 계산수위/유동이 고려되어졌다. 즉 제방월류가 발생할 경우 하도의 수위조건이 지정되었으며 제내지로부터 하도방향으로 유동이 발생할 경우, 수심종속 유동조건이 지정되어졌다.
제방월류 시나리오의 계산결과에 따른 시간별 침수심 및 유속은 Fig. 9와 Fig. 10에 나타내었다. 그림에서 보는 바와 같이 월류 후 1시간은 월류 초기시점이므로 제방의 월류부 근처의 침수심이 비교적 높게 발생하였으나 월류 종료시간에 가까운 12시간부터는 홍수조절지를 제외한 제내지의 지반고가 제일 낮은 지역에 최대침수심이 발생하는 것으로 확인할 수 있었다. 100년 및 200년 홍수시나리오의 모의결과를 비교해 보면, 200년 빈도의 침수심이 100년 빈도에 비해 깊게 나타나고 침수면적도 훨씬 넓은 범위로 분포하고 있는 것을 볼 수 있다. 각 빈도별로 천변저류지를 제외한 최대 침수심 및 최대 침수면적을 계산한 결과, 100년 빈도에서 4.17 m, 200년 빈도에서는 4.44 m로 0.27 m 가량 차이가 났으며, 최대 침수면적은 100년 빈도에서 7.45
, 200년 빈도에서는 7.71
로 0.26
증가하였다.
한편, 파제 시나리오의 계산결과에 따른 시간별 침수심 및 유속은 Fig. 11과 Fig. 12에 나타내었다.
그림에서 보는 바와 같이 최초 붕괴시점부터 빠르게 제내지로 확산되어 침수심이 증가하고 침수면적이 확대되는 것을 확인할 수 있었다. 파제시 100년 및 200년 빈도에서 최대 침수심은 각각 2.65 m, 3.15 m로 나타나 0.5 m 정도 차이를 보였고 최대 침수면적은 각각 6.12
, 6.62
로 0.5
의 차이를 보이는 것으로 확인되었다. 이와같이 월류 시나리오에 비해 파제 시나리오에서 비교적 작은 침수심과 침수면적이 나타나는 바 이는 월류 시나리오의 경우 확률홍수량의 상한치를 적용하였고 파제시나리오는 확률홍수량의 평균치를 적용하였으므로 제내지로 유입되는 유량차이로 인해 침수의 영향이 다르게 나타난 것으로 보인다. 또한 유속은 최초 붕괴지점과 월류지점에서 가장 크게 나타나며, 시간이 경과할수록 감소하는 것으로 나타났다.
3.4 모의결과의 타당성 검토
하천-제내지 연계모형의 모의계산 결과의 타당성을 검토하기 위해 2차원 홍수범람해석의 상용모델인 FLUMEN (FLUvial Modeling ENgine)을 이용하여 대상유역의 침수심 및 침수면적을 모의하여 각각 비교검토 하였다. FLUMEN 모형은 하도와 제내지를 통합 2차원 격자로 구성하여 하천흐름 및 제방월류나 파제로 인한 외수범람 해석이 가능한 수치모형이다. 기존의 여러 연구에 의해 FLUMEN 모형으로 홍수범람모의가 수행되어 왔으며 결과의 정확성이 입증된 바 있다. 본 연구에서는 100년 및 200년 빈도의 신뢰구간 상한치 확률홍수량 조건을 고려하여 제방월류 시나리오에 의한 최대 침수심 및 침수면적 결과와 FLUMEN 모형의 모의결과를 비교검토 하였으며 그 결과를 Table 1과 Fig. 13에 나타내었다. 한편, 파제 시나리오는 파제단면 설정 및 제체붕괴 과정에 대한 불확실성을 감안하여 비교검토에서 제외하였다.
100년 빈도 제방월류 시나리오에서 개발모형과 FLUMEN 모형의 최대 침수심 및 침수면적은 각각 4.17 m, 3.58 m와 7.45
, 7.32
로 모의되었고 이때 오차율은 9.35%, 1.74%로 나타났다. 200년 빈도 제방월류 시나리오에서는 최대 침수심 및 침수면적이 4.44 m, 4.01 m와 7.71
, 7.65
로 모의되었으며 오차율은 9.63% 및 0.78%로 나타났다. 침수심은 천변저류지를 제외한 영역에서의 침수심으로 산정하였고 전반적으로 본 연구모형의 계산결과가 FLUMEN 모형에 비해 다소 과대하게 계산되는 경향이 나타났다. 빈도별 최대 침수심의 오차는 10% 이내이고 침수면적은 1% 이내로 나타나 두 모형의 계산결과가 유사한 것으로 판단되었다. FLUMEN 모형의 경우 하도를 2차원 격자로 계산하므로 본 연구모형에 비해 많은 수치격자망 구성이 필요하며, 이는 계산시간 및 효율성과 직결된다. 본 연구모형은 FLUMEN 모형에 비해 단시간(2시간 이내)내에 계산이 수행되었으나 모의결과는 FLUMEN 결과와 유사하게 나타나 계산의 효율성 및 결과의 타당성을 모두 만족할 수 있을 것으로 사료되었다.
3.5 홍수위험지도 작성
본 절에서는 하천-제내지 연계모형을 이용하여 계산된 최대 침수심 및 유속정보를 이용하여 홍수위험지도를 작성하였다(Fig. 15 참조). 홍수위험지도는 USBR (U.S. Department of the Interior-Bureau of Reclamation)의 Downstream Hazard Classification Guidelines (1988)에 제시된 분류기준 중 가옥/빌딩 거주자에 대한 분류기준을 활용하여 작성하였다(Fig. 14 참조).
|
Fig. 14. Depth-velocity flood danger level relationship for houses built on foundations (USBR, 1988) |
| |
Fig. 15. Flood risk map; (a) 100-year flood for levee overflow, (b) 200-year flood for levee overflow, (c) 100-year flood for levee break, (d) 200-year flood for levee break | |
홍수위험지도상에서 천변저류지를 제외하면, 제내지 내 표고가 가장 낮은 지점이 가장 위험한 지역으로 나타나는 것을 볼 수 있다. 파제 시나리오에 비해 월류 시나리오가 월등히 고위험영역(High Danger Zone)의 범위가 넓게 나타나는데, 이는 전술한 3.2절에서 언급한 바와 같이 월류 시나리오와 파제 시나리오의 상류단 경계조건의 차이로 인한 제내지 범람유입량의 차이에 기인한 것으로 나타났다. 그 외 파제지점 및 월류지점에서는 범람초기에 빠른 유속이 나타나는 지역임에도 불구하고 위험도가 다소 낮은 것으로 나타나는데, 이는 높은 유속에 비해 상대적으로 침수심이 작기 때문인 것으로 확인되었다. 또한 본 연구에서는 도로 및 가옥, 건물 등 제내지 내 토지이용도나 배수관망 등의 조건이 고려되지 않은 결과이므로, 보다 정확한 홍수위험도 예측을 위해서는 위와 같은 세부상황이 반영되고 내수침수 영향까지 고려한 통합 홍수범람 해석이 요구된다. 향후 성서공단 지역의 사회경제적 피해를 정량적으로 표출할 수 있는 실제적인 홍수위험도 작성 및 제방월류 및 파제로 인한 비상대처계획(EAP) 수립시 정량적인 근거자료로 활용될 것으로 기대된다.
4. 결 론
본 연구에서는 수문학적인 불확실성을 고려한 홍수시나리오를 기반으로 하천-제내지를 연계한 홍수범람 해석을 통해 제내지의 홍수위험도를 정량적으로 산정하였다. 이를 위해 극치강수량을 정량화하는 비정상성 빈도해석을 수행하였으며 이같은 빈도해석 과정에서 수문학적 매개변수의 불확실성을 고려하고자 Bayesian 기법을 적용하여 확률강우량을 추정하였다. 또한 강우-유출 과정의 불확실도를 정량화한 Bayesian HEC-1 모형을 적용하여 신뢰구간별(2.5%, 50%, 97.5%) 확률홍수량을 산정하였다. 이러한 확률홍수량 중 100년 및 200년 빈도의 평균치(50%) 및 상한치(97.5%)에 대한 유출수문곡선을 홍수시나리오로 채택하여 상류단 경계조건으로 적용하였다. 또한 제방의 월류 및 파제에 대한 시나리오로 구분하여 하천의 1차원 부정류 해석과 제내지의 2차원 범람해석을 연계하여 홍수범람 해석을 수행하여 예측된 최대 침수심 및 유속을 바탕으로 홍수위험도를 작성하였다. 연구내용의 주요 결과는 다음과 같이 요약할 수 있다.
1)수문시나리오를 작성하기 위해 빈도별 극치강우에 대한 확률홍수량과 강우-유출 해석을 통해 하도에 유입되는 확률홍수량을 산정하였다. 이를 위해 낙동강 중류부 인근 3개 강수관측소(대구, 구미, 합천)의 강수자료를 이용하여 극치호우에 대한 빈도별 확률강우량을 산정하고 수문학적 불확실성을 고려한 Bayesian HEC-1 모형을 적용하여 왜관수위표 및 산격수위표 지점에 대한 100년/200년 빈도의 신뢰구간별 확률홍수량을 산정하였다.
2)하천-제내지를 연계한 통합 홍수범람해석을 위해 1차원 하도구간의 상류단 경계조건으로 본류인 경우 왜관수위표 지점을 지류인 경우 산격수위표 지점에 대해 신뢰구간 평균치 및 상한치의 확률홍수량 곡선을 적용하여 하천에 대한 1차원 부정류 해석을 수행하였다. 그 결과 100년 및 200년 빈도 평균치 확률홍수량 시나리오에서는 모든 하도구간에서 월류가 발생하지 않았으며 상한치 확률홍수량 시나리오에서 본류는 왜관수위표 지점으로부터 하류 25.3 km, 25.8 km 및 26.4 km 지점에서 지류는 산격수위표 지점으로부터 하류 19.6 km 및 20.1 km 지점에서 횡월류가 발생하는 것으로 나타났다.
3)하천의 1차원 부정류 해석과 연계된 2차원 제내지 범람해석은 1차원 및 2차원 불규칙 유한요소격자를 통합적으로 이산화하여 2차원 절점과 연결된 1차원 하도절점에 대한 유출입항을 고려하여 하천과 제내지 경계면에 위치하는 제방의 월류나 파제에 의해 제내지로의 범람유입량을 계산함으로써 홍수범람 해석을 수행하였다. 1차원 부정류 해석결과로부터 하천의 시간별 동적수위를 고려한 월류나 파제시나리오를 고려하여 제내지의 침수심 및 침수유속 등을 산정한 결과, 제방월류 시나리오의 경우 100년 및 200년 빈도에서 최대 침수심이 각각 4.17 m, 4.44 m, 최대 침수면적은 각각 7.45
, 7.71
로 나타났다. 또한 범용 2차원 해석모형인 FLUMEN의 모의결과와 비교하였을 때 빈도별 제방월류 시나리오 해석에서 최대 침수심 및 침수면적의 오차율은 9.76%, 0.97%로 각각 나타나 합리적인 계산결과를 보여주었다.
4)하천-제내지 연계모형을 통한 홍수범람 해석으로 계산된 최대 침수심 및 유속정보를 바탕으로 홍수위험지수를 산정한 후 등급화하여 홍수위험지도를 작성하였다. 그 결과 제방월류 시나리오가 파제 시나리오보다 고위험영역의 분포가 훨씬 넓게 나타남을 알 수 있었으며 이는 월류 및 파제 시나리오별 상류단 경계조건의 차이로 인한 제내지 범람유입량 차이에 기인한 것으로 판단되었다. 또한 범람초기에 월류 및 파제지점의 유속이 급증하지만 작은 침수심으로 인해 상대적으로 위험도가 낮게 나타났다. 본 연구결과를 바탕으로 향후 제내지의 토지이용도나 내수침수에 의한 영향을 고려한 통합적인 홍수해석을 통해 보다 정확한 홍수위험도 예측이 가능할 것으로 판단된다. 아울러 성서공단 지역의 사회경제적 피해를 정량적으로 표출할 수 있는 실제적인 홍수위험도 작성과 제방월류 및 파제로 인한 비상대처계획 수립시 근거자료로 활용될 것으로 기대된다.

















