1. 서 론
2. 방법론
2.1 최적화 모형
2.2 송수펌프장 비용함수
2.3 배수지 비용함수
3. 적용 네트워크
4. 적용 결과
4.1 최적화 비교 Case
4.2 Case별 펌프 운영스케줄 비교
4.3 Case별 배수지 수위변동 비교
4.4 Case별 경제성 비교
5. 결 론
1. 서 론
상수도 송·배수 시스템은 정수장으로부터 배수지를 거쳐 급수지역에 도달하기 전까지의 상수관망 시스템을 의미하며 송수펌프, 배수지, 밸브, 그리고 대구경의 송·배수 관로를 포함한다. 우리나라의 송·배수 시스템은 산지가 많은 지형적 특성을 이용하여 정수장에서 처리된 용수를 송수펌프를 통해 고지대에 위치한 배수지에 저장한 후(야간시간), 급수구역으로 자연유하 방식으로 배수하는(주간시간) 방식을 일반적으로 채택하여 운영하고 있다. 하지만 고지대의 배수지에 용수를 확보하기 위해 송수펌프 운영에 많은 전기 에너지를 소모하고 있으며, 이는 전체 상수관망 시스템 운영에서 가장 큰 비중을 차지하는 것으로 알려져 있다. 이에 따라, 최근 적정 송수펌프의 크기 결정과 전력소비를 최소화하기 위한 펌프의 최적운영기법에 관한 연구가 지속적으로 진행되고 있다.
관련하여 최근 연구동향을 정리하면, Boulos et al. (2001), Babayan et al. (2005), Pasha and Lansey (2010), Abdelmeguid and Ulanicki (2010), Giacomello et al. (2012), Jung et al. (2015) 등의 연구들은 펌프운영에 최적화 알고리즘을 적용하여 전력비용 절감을 도모하였으며, Ostfeld and Tubaltzev (2008)는 Maier et al. (2003)이 제시한 개미군집 알고리즘을 수정·적용하여 송, 배수시스템의 최적 관경과 펌프운영 비용의 최소화를 동시에 고려하는 모델을 개발하였다.
추가하여, 상수관망 설계 최적화에 대한 연구를 살펴보면, Alperovits and Shamir (1977), Murphy et al. (1994), Walters et al. (1999), Farmani et al. (2004), Ostfeld (2005), Farmani et al. (2005), Vamvakeridou-Lyroudia et al. (2007), Prasad (2007) 등의 연구에서 다양한 최적화 알고리즘을 활용하여 상수관망 구성요소의 최적 설계 방안과 운영비용의 최소화를 제시한 바 있다. 또한, Jung et al. (2016)은 배수관망 시스템 강건성(Robustness) 지표를 개발하고, 배수관망 내 펌프의 설계와 운영 최적화를 통해 시스템의 안전성과 신뢰성 증대를 도모한 바 있다. 최근 Schwartz et al. (2016)는 펌프 및 배수지의 적정용량을 결정하고 동시에 에너지 비용 최소화를 위한 연구를 제안한 바 있다. 이렇듯 효율적인 펌프운영 뿐만 아니라 배수지 및 펌프, 즉 시설물의 적정용량을 결정하기 위한 연구가 다양하게 진행되고 있다.
송수펌프의 적정 용량과 운영방법은 하류단에 위치한 배수지의 크기에 영향을 받게 된다. 또한, 배수지의 크기는 하류 급수지역의 수요량과 상류단에 위치한 송수펌프의 용량에 따라 결정된다. 따라서, 송수펌프와 배수지는 설계 및 운영상 서로 밀접하게 연관되어 있으므로 송, 배수 시스템의 경제적인 설계와 안정적인 운영을 위해서는 초기 시설물의 설계 단계에서 적절한 송수펌프용량과 배수지의 규모를 설계하고 송수펌프운영의 최적화를 통해 용수공급의 안정성 확보 및 운영비용 최소화를 동시에 고려하는 것이 타당하다고 할 수 있다. 본 연구에서는 최적화 알고리즘을 사용하여 송수펌프와 배수지의 최적 규모 설계 및 송수펌프 운영최적화를 동시에 수행하는 모형을 개발하였다. 본 개발 모형은 상수관망 시스템 설계 단계에서의 계획 및 예상 급수량에 맞춰 배수지와 송수펌프의 최적 규모를 산정하고, 24시간의 예측수요량을 기반으로 한 최적 펌프운영 스케줄 도출을 통해 설계비용과 장기 시스템 운영비용을 최소화 하도록 하였다. 개발 모형은 국내에서 실제로 운영중인 P시 지방상수도 시스템에 적용하여 기 설치된 시설물의 설계 및 운영비용과 최적화 모형을 통해 산정된 설계 및 운영비용을 비교, 분석함으로써 개발 모형의 검증을 수행하였다.
2. 방법론
2.1 최적화 모형
2.1.1 모형의 계산 절차
본 연구에서는 송수펌프/배수지 설계 및 송수펌프 운영 최적화 모형 개발을 위해 유전자 알고리즘(Genetic Algorithm, GA)을 사용하였다. 유전자 알고리즘은 John Holland (1975)가 처음으로 제안한 최적화 기법으로 생물의 진화과정과 다윈의 적자생존을 기본 개념으로 개발된 최적화 기법이다. 참고로 본 연구에서는 GA와 상수관망 수리해석 프로그램인 EPANET Toolkit 을 연동하여 GA에서 생성된 해가 실제 송배수시스템의 운영 제약조건을 만족하는지 검증하였다.
Fig. 1은 공급원으로부터 펌프를 통해 확보된 배수지의 수량이 급수구역으로 공급되는 송배수 절차를 간략히 나타내고 있다. 본 최적화 모형에서는 이러한 송·배수시스템 운영의 제약조건을 펌프, 배수지, 급수구역 단계로 구분하였다. 또한, 송·배수시스템의 설계 및 운영 최적화를 위한 결정변수는 각각 펌프의 운영 스케줄(24시간), 펌프의 설계용량, 배수지의 설계용량으로 구분하였으며, 각각의 결정변수와 제약조건 위반 여부에 따라 건설비용(Construction cost), 운영비용(Operation cost), 그리고 벌칙비용(Penalty cost) 을 산정한 후, 총 비용(Total cost)을 최적화 모형의 목적함수로 설정하였다.
최적화 모형의 상세한 진행 절차는 다음과 같다.
1) GA 알고리즘에 의거하여 각 세대(Generation)별 결정변수(배수지용량, 펌프용량, 펌프운영스케줄)를 생성한다. 각 결정변수는 첫 세대일 경우 임의의 난수로 생성되며, 이 후 세대에서는 Elitism, Crossover, Mutation을 통해 진화 생성된다.
2) 생성된 결정변수들을 대상 관망에 적용 후, EPANET 모형을 이용하여 수리해석을 수행한다(24시간 운영 모의).
3) 과정 2)에서 도출된 수리해석 결과를 이용하여 다양한 운영 제약조건(소비전력량, 펌프작동 빈도제한, 최소요구수압, 배수지수위범위 등)에 대한 검사를 실시한다. 제약조건을 만족시키지 못하는 해에는 목적함수인 비용계산 결과에 벌칙비용(Penalty cost)을 적용하여 도태시킨다.
4) 과정 1)에서 생성된 결정변수를 이용하여 목적함수인 총 비용(송수펌프장 건설비용, 배수지 건설비용, 30년 펌프운영비용, 제약조건 검증 후 벌칙비용)을 계산한다.
5) 이전 세대의 총 비용과 비교하여 현재 세대의 최적해의 업데이트 여부를 결정한다.
6) 최적해를 구하기 위해 1)~5) 과정을 정해진 횟수만큼 반복 수행한다.
2.1.2 목적함수 및 제약조건
최적화 모형의 목적함수는 송수펌프장 및 배수지 건설비용과 송수펌프장의 30년간 운영비용의 합이며, 다음 Eq. (1)과 같이 나타낼 수 있다.
| $$Minimize$$ | (1) |
여기서, Pump CC는 송수펌프장 건설비용(원), Tank CC는 배수지 건설비용(원), Pump OC(for 30yrs)는 30년간 송수펌프 운영비용(원), Penalty Cost는 제약조건을 만족하지 못할 경우 발생하는 벌칙비용이다.
다양한 운영 제약조건을 적용하여 최적화 모형으로부터 도출된 해가 효율적이고 안정적인 용수공급이 가능한지 여부를 판단하였다. 적용된 제약조건은 1) 펌프 가압장 별 1일 최대 전력사용량 제한, 2) 급수구역의 최소요구수압 유지, 3) 펌프작동 빈도제한, 그리고 4) 배수지 운영수위 유지 등으로 구성되며, 각 제약조건에 대한 설명은 다음과 같다.
1) 각 송수펌프장 별 순간 전력사용량이 계약 전력 상한선을 초과할 경우, 전력단가가 과도하게 부과되므로 이를 방지하기 위한 조건으로 Eq. (2)와 같이 적용된다.
| $$PE_i\leq PE_{lim}$$ | (2) |
2) 송·배수관망내 모든 수요절점에서의 수압이 최소요구수압 이상을 만족하여야 한다는 조건으로 본 연구에서는 최소요구수압을 28 m로 설정하였다.
3) 용량이 큰 송수펌프를 빈번하게 On/Off 하게 되면 운영 효율이 떨어지고 펌프의 노후화 문제가 발생하므로, 본 연구에서는 “송수펌프가 한번 작동을 시작하면 최소 2시간을 운전하고, 작동을 멈춘 경우 최소 1시간은 정지상태를 유지해야 한다 (2시간 ON, 1시간 OFF)” 라는 펌프운전 제약조건을 설정하였다.
4) 송·배수시스템은 24시간을 기준으로 반복적으로 수요량이 변화하고 그에 맞춰 운영되기 때문에, 모의기간을 24시간으로 설정할 경우 모의 시작시간과 종료시점의 배수지 수위는 거의 일치해야 한다. 따라서, 모의 시작 후 24시간 이후의 배수지 수위가 초기수위의 ±10 cm 이내이어야 한다는 제약조건을 Eq. (3)과 같이 적용하였다. 또한, 배수지 내 수위가 운영자가 지정한 상한 및 하한수위 범위 내에서 유지되도록 제약조건을 Eq. (4)와 같이 수립하였다.
| $$H_i-0.1m\leq H_{i+24}\leq H_i+0.1m$$ | (3) |
| $$H_{min}\leq H_i\leq H_{max}$$ | (4) |
위에서 제시한 제약조건 식에서, PEi 는 i시간의 순간 전력사용량(kW), PElim은 계약전력 상한값(kW), Hi 와 Hi+24는 각각 i시간과 i+24시간의 배수지 수위(m), Hmin 및 Hmax는 각 배수지에 설정된 하한수위(m)와 상한수위(m)이다.
2.2 송수펌프장 비용함수
2.2.1 송수펌프장 건설비용
송·배수시스템에서 송수펌프는 상대적으로 낮은 고도에 위치하고 있는 공급원의 용수를 지대가 높은 배수지로 송수하기 위해, 관망 내 용수가 가진 수두(Head)를 증가시키는 역할을 수행한다. Fig. 2는 송수펌프 가동에 따른 용수의 수두 변화를 나타내고 있으며, 이 때 펌프의 에너지 공급능력, 즉 펌프용량은 펌프 토출유량(Q)과 펌프 양정고(H)로 표현할 수 있다.
Kim et al. (2017)은 국내 설계 시 적용 중인 상수도 개략공사비를 참고하여 펌프장 건설비용을 회귀식으로 유도하였으며, 해당 산정식은 Eq. (5)와 같이 표현된다. 펌프장 건설비용은 펌프시설비와 기계비용을 포함하며 펌프 토출유량(Q)과 양정고(H)의 함수로 정의된다.
| $$Pump\;CC=(4,674,519\;H)+(15,709\;Q)+348,072,234$$ | (5) |
여기서, Pump CC 는 송수펌프장 건설비용(원), H는 펌프양정고(m), Q는 펌프 토출유량(m3/day) 이다.
2.2.2 송수펌프장 운영비용
1일 펌프운영비용(Pump DOC)은 Eq. (6)에 나타낸 바와 같이, 펌프의 소요동력에 시간대별 전력단가를 고려하여 산정하였다. 국내에서는 송수펌프의 사용 전력에 대하여 산업용 전력단가를 적용하고 있다. 이러한 산업용 전력단가는 시간대별, 계절별로 다르게 적용되며 Table 1에 제시된 국내 산업용 전력단가표(KEPCO, 2012)를 적용하였다. 다음으로 송수펌프의 연간운영비용(Pump AOC)은 Eq. (7)에 제시된 식을 사용하여 산정하였다. 마지막으로 펌프의 수명을 30년으로 가정하고, 매년 발생하는 연간 운영비용을 현재가로 환산하여 합산함으로써 30년간 송수펌프장 운영비용(Pump OC)을 계산하였다. 사용된 현가분석 식은 Eq. (8)과 같고, 할인율은 1.5%로 가정하였으며, 매년 발생하는 연간 운영비용은 30년간 동일하다고 가정하였다.
| $$Pump\;DOC=\sum_{i=1}^T\sum_{j=1}^{n_p}\left(\frac{9.8Q_{ij}H_{ij}}\eta\times EC_i\right)$$ | (6) |
여기서, Pump DOC 는 1일 펌프운영비용(원), T 는 1일 운영시간(24시간), np는 펌프대수, 는 펌프의 소요동력 (kW), 𝜂는 펌프효율, Qij는 토출량(m3/s), Hij는 총양정(m), ECi (Energy Cost)는 시간대별 전력단가(원/kWh, Table 1 수록)이다.
Table 1. Energy tariff (KEPCO, 2012)
| $$Pump\;AOC=(Pump\;DOC\times30+BC)\times12$$ | (7) |
여기서, BC 는 월 기본요금(=기본요율(원/kW) ×PElim (kW))이며, 기본요율(BR)은 Table 1에 수록하였다.
| $$Pump\;OC=\frac{(1+i)^n-1}{i(1+i)^n}\times Pump\;AOC$$ | (8) |
여기서, Pump OC는 n 년간 송수펌프장 운영비용(현재가, 원), i는 할인율(1.5%), n은 운영연수(년)를 나타낸다.
2.3 배수지 비용함수
배수지의 건설비용은 해당 배수지의 용량에 따라 결정된다. 일반적으로 배수지의 용량은 시간변동 조정용량, 비상시 대응용량, 소화용수량 등을 고려하여 공급지역의 일 최대급수량의 12 ~ 36시간 내에서 결정하는 것이 일반적이다. Fig. 3 에 나타난 것과 같이, 배수지의 용량은 적절한 배수지의 면적과 높이를 결정하는 것을 의미한다. 본 연구에서는 실제 운영 중인 송·배수시스템을 대상으로 최적 배수지 용량을 분석하였으므로, 배수지 건설 시 토지이용면적 변화에 따른 추가비용을 배제하기 위해 배수지의 면적은 고정한 후, 배수지의 높이 변화를 통해 배수지 용량을 결정하였다(Fig. 3b).
본 연구에서 적용한 배수지 건설비용 식은 Kim et al. (2017)에서 유도한 Eq. (9)를 적용하였다. 해당 연구에서는 국내 상수도 개략공사비를 참고하여 구조물공사 비용과 구내배관공사 비용을 고려하여 배수지 용량에 따라 건설비용을 회귀식으로 유도하였다.
| $$TankCC=271,914,173+(122,038\;TC)$$ | (9) |
여기서, TankCC는 배수지 건설비용(원), TC는 배수지 용량(m3)이다.
3. 적용 네트워크
본 연구에서는 개발된 최적화 모형의 적용 및 평가, 검토를 위해 국내에서 실제로 운영되고 있는 P시의 지방상수도 네트워크를 대상으로 모의를 수행하였다. 해당 상수도시스템은 관로 약 9,000개, 절점 약 8,300개, 정수장 1개소(MS Reservoir), 배수지 4개소(JS, BW, GT, TH Tanks), 송수 펌프장 4개소(JS, BW, GT, TH Pumps)로 구성되어있는 대규모 시스템이며, 해당 시스템의 주요 시설물 위치는 Fig. 4(a)에 표시하였다.
적용 네트워크에 설치된 기존 배수지와 송수펌프장의 규모는 Table 2에 제시된 바와 같다. 배수지의 규모는 TH 배수지가 가장 크고, GT, JS, BW 배수지의 순서로 점차 작은 규모를 갖는 것으로 조사되었다. 송수펌프의 경우, 각 펌프장 별로 서로 다른 용량의 펌프가 운영되고 있으며, 각 펌프장별 토출유량은 약 220 ~ 320 m3/h의 범위이며, 양정고는 약 42 ~ 56 m의 범위인 것으로 조사되었다.
Table 2. Existing tank and pump size
해당 대규모 네트워크를 최적화 모형에 직접 적용할 경우, 긴 수리해석 시간으로 인해 최적화 수행 소요 시간이 길어 최적화 모형의 효율이 떨어지는 단점이 존재한다. 즉, 반복적인 수리해석이 요구되는 최적화 모형의 특성상 계산시간을 단축하기 위해서는, 수리해석 결과에 영향을 미치지 않는 범위내에서 대상 네트워크를 간략화(Skeletonization)하여 적용할 필요가 있다. 본 연구에서는 Choi et al. (2015)에서 활용한 수압 균등 등가 관 방법을 사용하여 적용 시스템의 간략화를 진행하였으며, 이 때 간략화 전, 후 임의의 동일 절점에서의 수리해석 결과(수압)가 일치해야 한다는 조건으로 관로수와 절점수를 줄이는 작업을 수행하였다. 또한, 본 연구에서는 송·배수시스템을 대상으로 배수지, 송수펌프장의 규모와 펌프운영스케줄을 최적화하기 위한 모형의 개발이 목적이므로 배수지 이후의 급수지역은 수요량을 통합하여 하나의 절점으로 나타내었다. 적용 대상 송·배수시스템의 간략화 후 모식도는 Fig. 4(b)에 나타난 바와 같다.
시스템 간략화 결과, Table 3에 정리되어 있는 것과 같이 적용 시스템의 구성요소 중 대부분을 차지하는 관로와 절점의 수가 대폭 줄어든 것(각각 약 95% 감소)을 확인할 수 있으며, 간략화 전, 후 동일 절점에서의 수압이 대부분 일치하는 것을 확인할 수 있었다. 시스템 간략화 전, 후 수리해석시간을 비교한 결과, 약 98%의 수리해석시간 단축의 효과를 확인할 수 있었다(1000회 반복 수리해석 시간 비교 - 원본 네트워크 2,053초, 간략 네트워크 38초).
Table 3. Comparisons between original and simplified networks
4. 적용 결과
4.1 최적화 비교 Case
본 연구에서는 송·배수시스템의 설계 및 운영비용 최적화 모형의 결과 검증을 위해 세 가지 설계 및 운영 Case를 제시하고 결과를 비교, 분석하였다. 결과 비교를 위한 세 가지 Case는 Table 4에 정리하였다. 먼저, Case A는 실제 운영되고 있는 기존 네트워크의 설계규모 및 운영방식을 나타낸다. Case B는 기존시설물(배수지 및 송수펌프)의 크기는 변경하지 않고, 펌프 운영스케줄을 최적화한 경우이며, Case C는 본 연구에서 개발한 최적화 모형을 이용하여 시설물의 최적규모 설정과 펌프 운영스케줄을 동시에 최적화한 경우이다. 이때, 기존 펌프운영은 하류단에 위치한 배수지의 수위에 따라 송수펌프의 가동여부를 결정하는 방식을 의미하고, 펌프운영 최적화는 최적화모형을 이용하여 24시간의 펌프 가동여부를 1시간 간격으로 결정하는 방식을 의미한다.
Table 4. Case description
따라서, Case A와 B의 비교는 펌프운영 스케줄의 비교를 통해 이루어질 수 있으며, Case C의 경우 새롭게 설계된 배수지와 펌프의 용량 및 펌프운영 스케줄을 함께 분석함으로써 비교할 수 있다. 앞서 언급한 바와 같이, 배수지의 용량 설계는 기존 배수지와 동일한 면적(직경) 조건에서 배수지의 높이를 새롭게 결정하였으며, 펌프 용량 설계는 토출유량과 양정고를 모두 결정하였다. Table 5는 펌프 및 배수지의 기존 용량 및 최적 용량을 간략히 정리한 표이다. JS 구역의 경우, 배수지 용량 및 펌프의 토출유량과 양정고가 모두 감소하는 결과를 보였으며(배수지 51.1%, 펌프 토출유량 25.6%, 펌프 양정고 46.4%), 따라서 관련 시설의 건설비용이 감소하고 펌프의 가동 빈도는 증가할 것으로 예상할 수 있다. 단, 펌프장의 용량이 감소하였으므로 가동 빈도의 증가 양상과 펌프 운영비용의 변화는 서로 다른 양상으로 나타날 수 있다. BW 구역에서는 배수지의 용량이 기존 용량과 같게 결정되었으며, 펌프의 토출유량은 증가(36.6%), 양정고는 감소(17.6%)하는 것으로 나타났다. GT, TH 구역의 경우 배수지 용량이 모두 감소(GT 배수지 33.3%, TH 배수지 35.4%)하는 결과를 보였으나, GT 구역의 펌프는 토출유량의 소폭 증가(3.6%) 및 양정고의 감소(26.2%), TH 급수구역의 펌프는 토출유량의 소폭 감소(8.8%) 및 동일한 양정고를 보여 모든 구역에서 서로 다른 변화 양상을 보였다.
Table 5. Comparisons between existing and optimal facilities size
4.2 Case별 펌프 운영스케줄 비교
각 Case 별 펌프운영 스케줄 결과는 Fig. 5와 같으며, 그래프에서 음영처리된 구간은 전력단가가 높은 시간대를 나타낸다. 그림에서 보여지는 바와 같이, Case B(펌프운영 최적화 조건)의 경우 Case A(기존 운영 조건)에 비하여 전력단가가 높은 시간대(11 ~ 12시, 13 ~ 17시)의 펌프가동 빈도가 감소하였으며, 상대적으로 전력단가가 낮은 시간대(23 ~ 9시)에 펌프를 가동하여 배수지의 용수를 확보하고 있음을 알 수 있다. 반면, Case C의 경우 펌프용량이 감소한 JS, GT, TH 구역에서는 용수를 충분히 확보하기 위해 총 가동 빈도 및 전력단가가 높은 시간대의 가동 빈도가 다소 증가하는 것을 알 수 있으며, 펌프용량이 증가한 BW 구역에서는 반대로 감소하는 경향을 보였다.
Table 6은 각 Case 및 구역별 펌프장의 총 가동 빈도와 전력단가가 높은 시간대의 가동 빈도를 간략히 정리한 표이다. 기존 펌프장 및 배수지의 용량이 적용된 Case A, B의 펌프 가동 빈도를 비교 분석한 결과, JS 구역에서는 전력단가가 높은 시간대의 가동 빈도가 증가하였으나, 총 가동 빈도가 감소하였고, GT 구역에서는 반대로 전력단가가 높은 시간대의 가동 빈도가 감소하고, 총 가동 빈도가 증가하였다. 이처럼 서로 다른 양상의 펌프운영 스케줄 변화에 따른 경제적 비용 변화는 각 펌프장의 규모에 따라 달라질 수 있으므로 보다 상세한 경제성 분석을 통해 이루어질 수 있다. TH 구역에서는 전력단가가 높은 시간대와 총 가동 빈도가 모두 감소하여 가장 경제적인 펌프운영 양상을 보였다. 반면, BW 구역의 경우, 전력단가가 높은 시간대의 가동 빈도가 동일한 상황에서, 총 가동 빈도는 기존보다 증가하여 비효율적인 펌프운영 양상을 보이고 있음을 알 수 있다. 분석 결과, 대상 송·배수시스템에서는 공급원으로부터 각 구역의 펌프장 및 배수지에 이르기까지 상호간 일부 관로를 공유하고 있으며, 따라서 각 펌프장의 운영 효율(토출유량-양정고 펌프곡선)이 서로 영향을 주고 받는다. 이러한 상황에서 전체 펌프장의 운영비용을 대상으로 최적화를 수행하는 경우, 특정 펌프장(예, TH 구역)의 전력비용은 감소하는 반면, 타 펌프장(예, BW구역)의 전력비용은 다소 증가하는 결과가 나타날 수 있다.
Table 6. Pump operation time comparisons
| JS Pump | BW Pump | GT Pump | TH Pump | ||
| Total operation time (hr) | Case A | 16 | 7 | 11 | 16 |
| Case B | 14 | 9 | 15 | 15 | |
| Case C | 20 | 7 | 15 | 16 | |
| High tariff operation time (hr) | Case A | 3 | 3 | 6 | 5 |
| Case B | 5 | 3 | 3 | 4 | |
| Case C | 6 | 1 | 4 | 6 | |
또한, 펌프장 및 배수지의 용량을 최적화 한 Case C와 Case B의 펌프 가동 빈도를 비교 분석한 결과, 펌프장의 용량이 감소하였던 JS, TH 구역에서는 전력단가가 높은 시간대 및 총 펌프 가동 빈도가 증가하였다. 펌프 토출유량이 소폭 증가하고 양정고는 감소하였던 GT 구역의 경우 전력단가가 높은 시간대의 가동 빈도만 증가하였다. 펌프 토출유량이 크게 증가하고, 양정고가 감소하였던 BW 구역에서는 반대로 전력단가가 높은 시간대 및 총 펌프 가동 빈도가 모두 감소하였으며, 이는 펌프장의 용량 증가에 따라 가동 빈도가 감소된 결과로 판단할 수 있다.
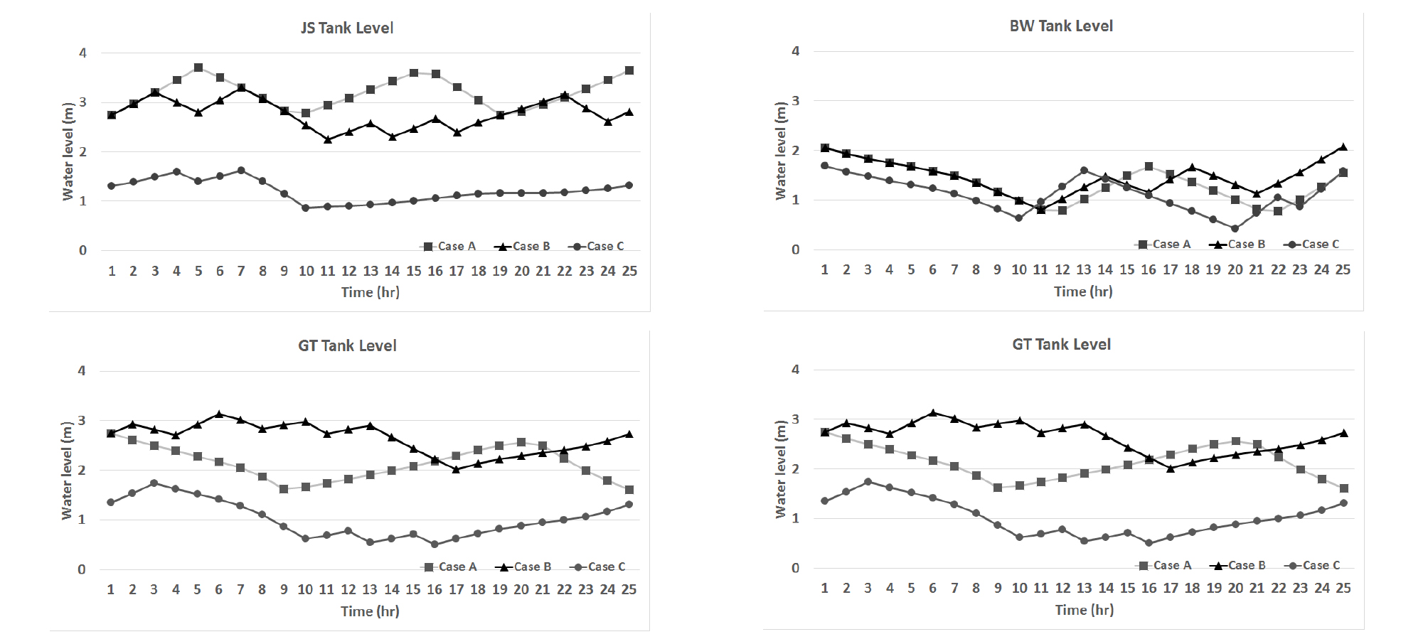
4.3 Case별 배수지 수위변동 비교
모의에 사용된 세 가지 Case별로 배수지의 수위변화를 비교한 결과를 Fig. 6에 도시하였다. Case A, B는 동일한 규모의 송수펌프와 배수지를 사용하기 때문에 배수지의 운영수위 범위가 유사한 것을 알 수 있다. 큰 차이점은 Case B의 경우 Fig. 5 에서 알 수 있듯이 펌프의 On/Off가 Case A보다 빈번하기 때문에 하류에 위치한 배수지 내 수위 등락이 자주 일어나는 것을 알 수 있다. Case B는 시설물의 규모는 정해진 상황에서 펌프 On/Off 스케줄을 최적화하기 때문에 최대한 운영비용을 절감하기 위해 제약조건을 만족하는 범위 내에서 자주 펌프가동을 조정해야하는 한계가 발생하는 것을 알 수 있다. Case C는 앞선 두 개의 Case에 비해 전반적으로 배수지의 운영수위가 낮은 것을 확인할 수 있다. 이는 최적화를 통해 산정된 배수지의 최대 운영 수심(즉, 배수지 높이)이 낮아졌기 때문이며, 따라서 설계비용과 운영비용을 동시에 절감할 수 있을 뿐만 아니라 배수지 내 체류시간 감소로 수질도 향상될 것으로 판단된다.
4.4 Case별 경제성 비교
각 Case 별 송수펌프와 배수지 건설비용과 30년간 송수펌프 전력비용, 그리고 총 비용(건설+운영비용)을 비교하면 Fig. 7 과 같다. 먼저, Case A와 B의 결과를 비교하면 Case B의 30년간 펌프 운영비용이 절감(16.9%)되는 것을 알 수 있다. 이는 기존 시설물의 규모를 변경하지 않고 펌프운영 스케줄을 최적화하는 방식으로 전반적인 비용 절감 효과를 나타낼 수 있음을 의미한다. Case A와 C를 비교할 경우, 송·배수시스템과 관계된 모든 비용이 절감(배수지 건설비용 21.8%, 펌프장 건설비용 27.5%, 펌프 운영비용 39.8%)되고, 총 비용은 28.9% 감소하는 것을 알 수 있다. 즉, 송·배수시스템 시설물(송수펌프와 배수지)의 규모를 결정하는 설계 단계에서 펌프운영 방안을 함께 고려할 경우, 시설물의 건설비용과 운영비용을 동시에 절감할 수 있다는 것을 알 수 있다.
5. 결 론
본 연구에서는 상수도 송·배수시스템의 시설물(배수지와 송수펌프) 최적 규모 설계 및 펌프 운영 스케줄을 동시에 최적화하는 모형을 개발하였다. 개발 모형은 안정적이고 효율적인 용수공급과 건설 및 운영비용 절감을 목적으로 개발되었으며, 계획 급수량에 맞춰 배수지와 송수펌프의 최적 규모를 산정하고, 24시간 예측수요량을 기반으로 최적 펌프운영 스케줄을 도출하도록 개발되었다. 개발된 모형은 국내에서 운영 중인 P시 지방상수도 시스템에 적용하였으며, 기존 시설물의 규모와 운영방법과의 비교, 분석을 실시하였다. 분석결과 및 도출된 결론을 정리하면 다음과 같다.
1) 세 가지의 Case를 구성하여 비교, 분석을 실시한 결과, 기존 설계 및 운영(Case A) 대비 펌프운영최적화(Case B)를 수행한 결과 전력비용이 16.9% 절감되었고, 설계 및 운영최적화(Case C)를 동시에 수행한 결과, 건설비용과 전력비용이 모두 절감되어 총 비용 기준 28.9% 감소하는 것을 확인하였다. 일반적으로 시설물의 규모를 결정하는 설계단계에서 시설물의 운영비용(전력비용, 유지보수비용 등)을 감안하지 않는 경우가 대부분이다. 하지만, 송수펌프의 전력비용이 큰 비중을 차지하는 상수관로의 설계에서는 시설물의 건설비용과 운영비용을 동시에 고려하여 시설물의 최적 규모를 결정하는 연구가 필요할 것으로 판단된다.
2) 배수지와 송수펌프의 용량을 분석한 결과, 기존 시설물의 규모가 다소 과다설계된 것으로 판단할 수 있다. 하지만, 일부 송수펌프의 경우에는 오히려 최적화 결과를 통해 산정된 용량이 크게 나타났는데, 이러한 결과는 적용 네트워크 내 4개의 송·배수시스템이 서로 영향을 미치기 때문인 것으로 판단된다 (즉, 1개의 정수장으로부터 각 구역의 송수펌프장 및 배수지에 이르기까지 일부 관로를 공유). 배수지의 경우에는 최적화를 통해 산정된 용량이 대부분 기존 용량보다 감소하는 것으로 나타났다.
3) 네크워크 간략화를 통해 수리해석 모의시간을 약 98% 절감하였고, 이를 기반으로 개인용 컴퓨터에서도 개발모형의 최적화 모의가 원활히 진행되었다. 간략화 전, 후 수리해석 결과를 비교한 결과, 동일 절점에서의 압력수두가 동일하게 계산되는 것을 확인하였으며, 향후 이러한 네트워크 간략화는 반복적인 연산이 불가피한 최적화 모형에 유용하게 활용될 수 있을 것으로 판단된다.
4) 향후 본 연구에서 개발된 모형을 다양한 네트워크에 적용하여 보다 광범위한 분석이 필요할 것으로 판단되며, 모의에서 사용된 여러 가지 가정사항–송수펌프의 수명(30년 가정), 현재가 분석의 할인율(1.5% 가정), 24시간 예측수요량 고정–들에 대한 민감도 분석이 필요할 것으로 판단된다.
5) 본 연구의 목적은 송·배수시스템의 초기 설계단계에서의 펌프시설과 배수지의 용량 최적화이며, 이때 펌프장의 장기 운영비용을 고려함으로써 건설비용과 운영비용을 동시에 최적화하고자 하였다. 개발 모형은 기 설치되어 운영 중인 시설물의 개·보수 및 운영최적화를 위한 연구에도 적용이 가능할 것으로 판단되며, 이를 위해서는 단계적인 시설물 교체 혹은 개·보수 우선순위 등 현실적인 설계 방안에 대한 연구가 필요할 것으로 판단된다. 또한, 최근 실무에서는 정속펌프에 비해 효율 및 경제성이 높은 변속펌프의 설치 및 운영이 증가하고 있으므로, 향후 연구에서는 변속펌프의 시설용량 및 운영방안의 최적화에 대한 연구가 필요할 것으로 판단된다.









