1. 서 론
2. 강우 지속기간별 강우 분포 특성을 고려한 일강우량 모의기법
2.1 Markov Chain 모형을 이용한 강우발생 모의
2.2 비매개변수적 핵밀도추정 방법을 이용한 강우량 추정
2.3 강우 지속기간별 강우량 모의기법
3. 적용 및 결과
4. 결 론
1. 서 론
일강우량 자료는 수자원 관리 또는 기후변화 영향 평가하기 위한 모형의 입력 자료로 사용되는 등 다양한 분야에서 사용되고 있다. 이 때 강우자료의 관측기간이 짧거나 자료의 크기가 충분하여도 결측자료가 존재하여 충분한 관측자료를 확보할 수 없을 경우에는 강우량 자료를 생성해서 활용해야 한다(Semenov et al., 1998; Richardson and Wright, 1984). 또한 댐 및 저수지 운영 등의 미래 수자원 계획을 위한 강우 특성을 분석하기 위해서 일강우량 모의 발생 기법을 활용하기도 한다(Kim et al., 2016). 이 같은 경우 임의의 자료가 아닌 해당 지점의 강우 분포 특성을 잘 반영하도록 해야 한다. 전 세계적으로 일강우량 자료 모의 발생을 위해서는 Markov Chain 모형을 많이 이용하고 있다. 이 일강우량 모의 방법은 Markov Chain 모형을 이용하여 무강우기간 및 강우기간의 강우 발생 여부를 모의하고 강우량을 특정 확률분포로 가정하여 강우량을 추정하는 원리이다(Cha and Moon, 2003). 이 방법은 미국에서 Richardson and Wright (1984)의 WGEN과 Larsen and Pense (1982)의 기상 생성 프로그램 등에서 제작되어 활용되고 있다(Moon et al., 2016).
Markov Chain 모형을 이용하여 일강우량을 모의한 사례를 보면, Kang (2000)과 Jung et al. (2005)은 Markov Chain을 적용하여 모의한 일강우량 결과를 강우-유출 모형의 입력자료로 활용한 바 있다. 또한 Kwon (2004)은 댐 재개발의 적정규모를 산정하기 위하여 비동질성 Markov Chain 모형의 일강우량 모의자료를 활용하였다. 이 외에도 강우량의 확률분포형을 감마분포형 및 지수분포형으로 가정하거나 혼합 Gumbel 분포모형을 개발하여 일강우량을 모의 발생시킨 연구가 진행된 바 있다(Wilks, 1992; Choi et al., 2018). 또한 강우발생 여부의 조건부확률인 천이확률이 기간에 따라 변하는 비동질성 Markov 모형을 적용하여 기존 Markov Chain 모형의 단점을 개선한 연구도 진행되었다(Moon and Cha, 2004; Choi, 2008)
이와 같이 다수의 연구자를 통하여 Markov Chain 모형을 이용한 일강우량 모의 발생 연구가 지속적으로 이루어져 오며 방법론이 다양한 측면으로 개선되었다. 그러나 기존의 Markov Chain 모형을 이용한 일강우량 모의 발생 연구에서는 강우의 지속기간에 따른 강우강도 및 강우량 분포 특성을 고려하지 않고 각 발생일에 대한 강우량을 추정하고 있다. 즉, 강우가 몇 일간 지속되는 강우사상의 경우 강우량 및 일별 강우 분포 특성이 변화되지만 기존의 방법으로는 모든 지속기간의 강우사상에 대해 강우량 추정 방법이 동일하게 적용되고 있다. 최근 강우 발생 특성을 보면 지속시간이 길어질수록 최대 강우량이 더 커지는 경향을 나타내고 있다. 또한 강우의 규모에 따라 시간적, 양적 변화율이 일정하지 않으므로 해당지점의 실제 강우사상을 분석하여 강우특성이 반영된 강우분포를 도출할 필요가 있다. 이와 관련하여 과거 강우자료로부터 강우 지속시간별로 지속시간 동안 총 강우량이 시간에 따라 어떻게 분포하는지 통계적으로 분석하여 그 지역에 적합한 시간분포 모형을 연구한 사례가 있다(Choi et al., 2018). 본 연구에서는 기존 방법론의 강우량 추정방법을 개선하기 위하여 과거 강우자료에서 강우사상의 지속기간별로 구분하여 비매개변수적 추정 방법을 통해 각각의 강우량 분포형을 가정하였다. 또한 추정된 강우량은 강우량의 크기에 따라 k-최근접 이웃 알고리즘(k-Nearest Neighbor algorithm, k-NN)을 적용하여 가장 근접한 과거 강우사상의 강우 분포형태를 따라 각 일별로 분배하여 일강우량을 추정하였다.
본 논문의 진행사항을 요약하면, 먼저 1장에서는 논문의 배경 및 목적을 서술하였으며 2장에서는 지속시간별 강우의 분포 특성을 고려한 Markov Chain 모형의 일강우량 모의기법에 대해 설명하였다. 3장에서는 본 연구에서 제시한 모형을 적용한 결과를 요약하였고 마지막으로 4장에서 결론 및 고찰 내용을 제시하였다.
2. 강우 지속기간별 강우 분포 특성을 고려한 일강우량 모의기법
2.1 Markov Chain 모형을 이용한 강우발생 모의
일반적으로 현재와 과거의 상태들과의 상관관계만으로 미래의 상태를 추계학적으로 추정하는 과정을 Markov 과정이라고 하고 한정적인 상태공간에서의 Markov 과정을 Markov Chain이라고 한다. 이 때 한 상태 Z의 확률은 오로지 그 이전의 상태에만 의존한다는 것이 Markov Chain의 핵심이다. 또한 시점 t에서의 상태 Zt로부터 Zt+1로의 진행은 상태의 전이확률에 의해서 일어난다. 즉 Zt+1은 다음 Eq. (1)에 의해서 구할 수 있다.
| $$Z_{t+1}=Z_t\times P(Z_{t+1}\vert Z_t)$$ | (1) |
일강우량 모의를 예시로 설명하면, 강우 발생 여부를 결정하기 위한 Markov Chain을 이용하기 위해서는 먼저 강우일 다음 날이 강우일일 확률(P(W/W))과 무강우일 다음날이 강우일일 확률(P(D/W)), 즉 전이확률이 필요하다. 직전 일에 강우가 있었을 때 강우가 발생할 확률(P(W/W))은 직전 일이 강우일일때의 강우일수를 전체 강우일수로 나누어 계산한다. 이때 강우일이었을 때 무강우일이 되는 확률(P(D/W))은 1에서 p (W/W)을 뺀 값이 된다. 마찬가지로 P (W/D)와 P (D/D)간에는 같은 관계가 성립하게 된다(Moon et al., 2016).
2.2 비매개변수적 핵밀도추정 방법을 이용한 강우량 추정
앞서 강우 발생일이 모의되면 강우일에 대해 Monte Carlo 기법을 이용하여 난수의 반복추출을 통해서 값을 얻는 방식으로 강우량을 추정한다. 이때 난수를 추출할 강우량의 확률분포형을 가정하는 방법에는 크게 매개변수적 방법과 비매개변수적 방법이 있다. 매개변수적 방법은 강우 분포의 통계적 특성을 특정 확률분포형으로 가정하고 매개변수를 추정하여 일 강우량을 모의하는 방법이고, 비매개변수적 방법은 사전에 어떤 분포의 가정이 필요 없이 관측자료 자체에서 분포형을 유도하는 방법이다(Moon, 2004). 매개변수적 추정시에는 복합분포의 밀도함수를 가진 자료를 나타내는데 어려움이 있으며(Moon, 2004), 분포형의 꼬리(tail)부분의 영향으로 아주 적은 확률을 가지는 값의 모의 발생이 어렵다(Kwon, 2004). 이를 개선하기 위해 혼합분포형을 적용한 연구도 진행되고 있지만 매개변수 추정이 어렵다는 한계가 여전히 따른다(Choi et al., 2018). 따라서 본 연구에서는 비매개변수적 추정방법 중 핵밀도추정(Kernel Density Estimation, KDE) 방법을 이용하여 강우량을 추정하였다. 여기서, 핵밀도추정 방법은 비매개변수적 추정 방법 중 하나로서 핵밀도함수(Kernel Density Function)를 이용하여 주어진 자료의 분포를 반영한 새로운 분포를 추정하는 방법이다. 수학적으로 핵밀도함수는 원점을 중심으로 대칭이면서 적분값이 1인 양의 함수로 정의되며 Gaussian, Epanechnikov, uniform 함수 등이 대표적인 핵밀도함수이다. 관측자료를 통해 변수 x의 핵밀도함수를 K 라고 하면 확률밀도함수를 다음 Eq. (2)와 같이 나타낼 수 있다.
| $${\widehat f}_h(x)=\frac1n\sum_{i=1}^nK_h(x-x_i)=\frac1{nh}\sum_{i=1}^nK\left(\frac{x-x_i}h\right)$$ | (2) |
여기서 h는 핵밀도함수의 bandwidth를 조절하는 변수로 h가 클수록 그래프의 형태가 완만한 형태를 띄게 된다. 다음 Fig. 1은 bandwidth에 따른 핵밀도추정을 통해 얻은 확률밀도함수 그래프 형태이다.
2.3 강우 지속기간별 강우량 모의기법
본 연구에서는 강우사상의 지속기간에 따라 강우량을 모의하기 위해서 기존의 방법론을 개선한 새로운 일강우량 모의기법을 제시하고자 한다. 먼저 관측 일강우량 자료에서 지속기간별 강우사상을 추출하여 핵밀도추정 방법을 통해 각각의 확률밀도함수를 추정한다. 즉, 2일간 지속된 강우사상의 경우 2일 강우사상들의 강우량 값으로 2일 강우량의 확률밀도함수를 추정한다. 동일하게 지속기간 1일, 2일, 3일, 4일로 나누어서 각각의 확률밀도함수를 결정하고, 4일 이상 지속된 강우사상의 경우 자료 개수가 많지 않아 결과가 왜곡될 수 있기 때문에 4일 강우사상의 강우량 확률분포를 동일하게 적용하도록 한다.
앞서 제시한 Markov Chain 모형의 이론을 토대로 관측 강우자료의 강우발생 전이확률을 산정하고 강우 발생여부를 모의한다. 강우 발생일에 대해서 강우량을 추정하기 위해서는 0~1 사이의 난수를 추출하고 가정된 강우량 확률밀도함수의 누적분포함수에서 역함수법을 이용한다. 예를 들어, 아래와 같이 강우량 확률밀도함수를 누적분포함수화 하였을 때 발생된 난수에 해당하는 함수값에 매칭되는 강우량값을 통해 강우량을 추정한다.
다음 단계로 추정한 강우량은 강우사상의 지속기간동안 총 강우량값이므로 일강우량을 추정하기 위해서는 강우량을 일단위로 적절하게 분배시켜야한다. 이때 각 지속기간별 강우사상의 평균적인 강우량 분포를 도출한다면 시간분포 차이로 인해 첨두값이 감쇄하는 효과가 발생하게 된다(Choi et al., 2018). 따라서 본 연구에서는 k-최근접 이웃 알고리즘(k-NN)을 이용하여 실제 강우사상의 강우량 일분포 특성을 그대로 반영하여 강우량이 분배되도록 하였다. 다시 말해 과거 자료에서 동일한 지속기간의 강우사상 중 추정된 강우량과 강우량 값이 가장 근사한 강우사상을 찾아내고 그 강우사상의 일분포 비율을 따라 강우량을 분배하도록 한다. 이러한 강우사상의 총 강우량을 일강우 단위로 분해하는 개념을 Fig. 2로 설명할 수 있다.
본 연구에서 제시한 강우사상의 지속기간을 고려하여 일강우량 모의하는 방법의 흐름도를 기존의 방법론과 비교하면 Fig. 3과 같다. 즉 기존의 방법론에서와 다르게 지속기간별 강우사상을 구분하여 각각의 강우량 확률밀도함수를 추정한 후, 강우 발생여부를 모의하여 강우 지속기간에 따라 총강우량을 추정하여 일강우량을 모의한다.
3. 적용 및 결과
1973년부터 2015년까지 기상청 종관기상관측(ASOS) 제천 지점(221)의 일강수량 자료를 대상으로 모형을 적용하였다. 총 15,705일 관측 일강수량 자료 중 강우가 발생한 일수는 4,651일이며, 무강우 일수는 11,054일로 자료 기간 내에 비가 내리지 않은 날이 약 2.38배 가량 더 많이 발생하였다.
Markov Chain 모형을 통해 일강우 발생 여부를 모의하기 위해서 먼저 관측 일강수량 자료에서 강우 및 무강우 초기확률과 전이확률을 구하였다. 초기확률은 총 자료기간 중 강우일과 무강우일의 비율로 계산하며, 전이확률은 직전 일에 강우가 있었을 때의 강우가 발생할 확률과 같이 조건부확률로 계산한다. 계산된 자료의 초기확률 및 전이확률은 다음 Fig. 4와 같다.
Markov Chain 모형을 통해 자료의 강우 및 무강우 확률 및 천이확률을 이용하여 시작일과 이후 기간에 대한 강우 발생을 예측하였다. 생성한 난수에 대해 강우 및 무강우 확률 값을 적용하여 강우 혹은 무강우일을 예측한다. 먼저, 시작일은 난수가 이면 무강우일, 이면 강우일로 설정한다. 이후부터 직전일이 강우일이고 발생된 난수값이 이면 무강우일, 이면 강우일이다. 마찬가지로 직전일이 무강우일 경우, 이면 다음날이 무강우일고 이면 강우일이다. 15,705일(N=15,705)에 대한 난수를 생성하고 강우 발생을 예측한 결과, 강우일이 4,744일이고 무강우일이 10,961일로 모의되었다.
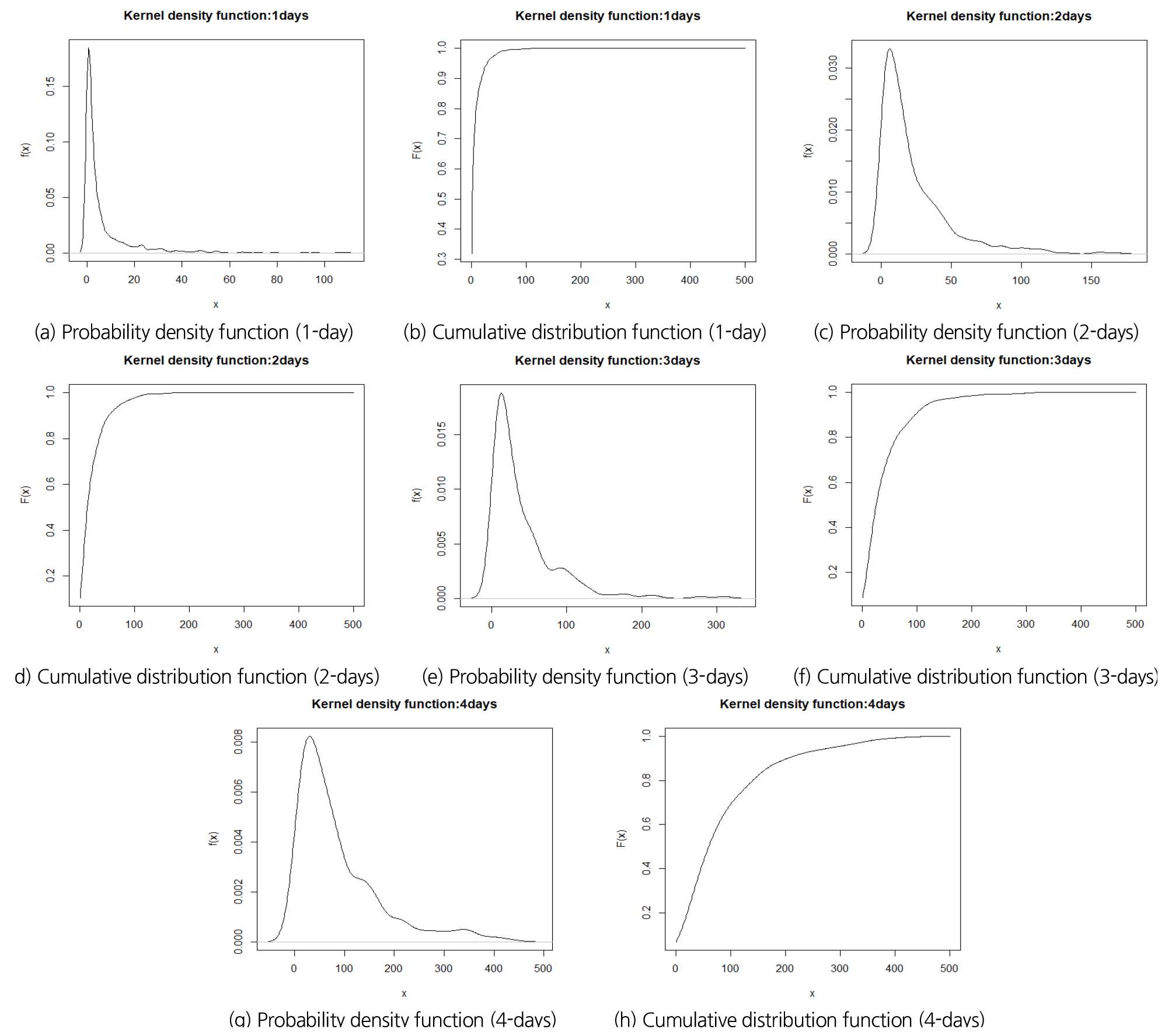
다음으로 자료를 강우 지속기간에 따라 강우가 발생하지 않는 무강우일과 1일에서 4일까지 지속 강우사상으로 구분하였다. 각 지속일별 강우사상 자료에 대해 핵밀도함수 추정방법을 통해 강우량 분포의 확률밀도함수 및 누적분포함수를 다음 Fig. 5와 같이 구하였다. 각 지속일별 강우사상의 총강우량 분포가 차이가 있는 것을 확인할 수 있다.
다음으로는 지속기간별 각각의 강우사상 자료에서 강우량이 일별로 분포된 비율을 계산하였다. 강우사상의 지속시간별 강우량 일분포의 평균값으로 평균 분포를 산정하면 첨두값이 감쇄되므로 k-최근접 이웃 알고리즘(k-NN)을 이용하여 강우량을 분배하였다. 과거 자료에서 동일한 지속기간의 강우사상 중 추정된 강우량과 강우량 값이 가장 근사한 강우사상의 일분포 비율을 따라 강우량을 분배하였다.
기존의 Markov Chain 모형 모의 방법에서는 일강우량을 모의하기 위해서 각 강우일마다 하나의 동일한 강우량 확률분포에서 강우량 값을 추정하였다. 본 연구에서는 강우의 지속기간별로 각각의 강우량 확률분포에서 각 지속기간의 총 강우량을 추정한 후 이를 다시 일강우로 분배하여 일강우량을 모의하였다. 기존 방법을 통해 모의한 강우량과 본 연구에서 개선한 방법을 통해 모의한 결과를 관측 강우량 자료와 비교하였다. 결과를 비교하기 위해 박스플롯에 커널 밀도 곡선을 추가하여 자료의 분포를 쉽게 파악할 수 있는 바이올린 플롯을 통해 전체 모의 결과 분포, 강우일의 강우량 분포 및 각 지속기간별 강우량 분포를 다음과 같이 나타내었다.
전체 기간의 일강우 관측자료와 기존의 방법론 및 본 논문의 방법론을 통해 추정한 강우량 분포를 비교한 결과 지속강우를 고려하여 추정한 강우량의 분포가 관측 강우량의 분포를 더 잘 반영하는 것으로 나타났다. Fig. 6(a) 및 Table 1의 왼쪽 부분에 각 분포의 사분위수 값을 비교하여 나타내었다. 평균값, 3사분위수(Q3), 최대값을 비교하였을 때 기존의 방법론은 관측값에 비해 과소 추정됨을 보였으며, 지속강우를 고려하여 추정하였을 때 예측 결과가 개선됨을 보였다. 또한 무강우일을 제외한 강우 발생일 동안의 강우량 분포를 비교한 결과에서도 지속강우를 고려하여 추정한 강우량이 기존의 방법론을 통해 추정한 강우량에 비해 관측 강우량의 분포를 더 잘 반영하는 것으로 나타났다. Fig. 6(b) 및 Table 1의 오른쪽 부분에서 각 분포의 사분위수 값을 비교한 결과, 기존의 방법론으로 추정한 강우량은 관측값에 비해 과소 추정되었으며 특히 최대값이 실제 강우보다 2.75배 작게 추정되었다. 강우사상의 지속기간을 고려하여 강우량을 추정한 경우에는 각 사분위값의 오차가 ±3.4 mm 이내로 실제 강우 분포특성을 대체로 잘 반영한 결과가 도출되었다.
Table 1. Rainfall distribution of total period and rainy days
지속강우의 일강우량 분포특성을 각 지속기간별로 구분하여 비교한 결과를 Fig. 7 및 Table 2로 나타내었다. 강우 지속기간이 1일일 경우 Fig. 7(a) 및 Table 2의 좌측 상단을 보면 두 방법론의 결과가 동일하게 추정된 것을 확인할 수 있는데 이는 두 방법 모두 지속기간이 고려되지 않은 상태이기 때문이다. 하지만 2일 이상 지속되는 강우사상의 경우에 기존의 방법론은 일강우량이 1일 강우와 동일하게 추정되었으나 지속강우를 고려하여 추정하였을 때 지속기간이 긴 강우사상일수록 일강우량이 전반적으로 크게 추정되는 결과를 확인할 수 있다. 지속기간이 2일인 강우사상의 강우분포 결과를 보면 기존 방법론의 경우 최대값에서 가장 크게 54.51 mm의 오차가 발생하였으나 개선된 방법론에서는 오차가 4.83 mm로 감소하였다. 지속기간 3일의 경우에도 최대값에서 가장 큰 오차가 발생하였으며 기존 방법론을 적용하였을 때 102.01 mm, 개선된 방법론을 적용하였을 때 5.27 mm의 오차가 각각 발생하였다. 지속기간 4일 이상의 경우에 결과값에서 가장 큰 차이가 발생하였는데 최대값을 기준으로 하여 관측강우량의 사분위수와 비교하였을 때 기존의 방법론 적용시에 3.4 mm, 개선된 방법론을 적용하였을 때 176.01 mm의 오차가 발생하였다.
Table 2. Rainfall distribution of rainfall events in each duration
이는 본 논문에서 제시한 방법론을 이용하면 강우사상의 지속기간이 길어질수록 강우강도가 커지는 특성을 반영할 수 있음을 시사한다. 실제로 관측 일강우 자료의 분포를 보면 지속기간이 길어질수록 일강우량의 최대값을 비롯한 사분위수 값이 모두 증가함을 보였으며, Table 2에서 보면 지속강우를 고려하여 추정하였을 때 강우량의 사분위수 값이 실제 관측값과 유사하게 추정됨을 확인할 수 있다. 특히 추정된 일강우량 최대값을 비교해 봤을 때 기존의 방법론에서는 모든 지속기간의 강우사상에 대해 동일한 강우 분포형을 적용하여 일강우량을 추정하기 때문에 전체적으로 강우량의 최대값이 과소추정되는 한계를 나타냈다.
4. 결 론
강우량은 강우 지속기간에 따라 강도 및 분포 등의 영향을 받는다. 기존의 Markov Chain 모형으로 일강우량 모의시에는 이러한 지속기간에 강우 사상의 특성을 반영할 수 없다는 한계가 있어왔다. 본 연구에서는 이를 개선하기 위해 지속기간에 따라 강우사상을 구분하여 일강우량을 추정하였다. 강우 사상의 지속일별로 총강우량의 분포형을 추정하였고, 지속일별로 해당하는 분포형에서 강우 사상이 총강우량을 구하였다. 추정된 총 강우량은 k-최근접 이웃 알고리즘(KNN)을 통해 관측 강우자료에서 가장 유사한 강우량을 가지는 강우사상의 강우량 일분포 형태에 따라 각 일강우량으로 분배하였다.
일강우 관측자료와 기존의 방법론 및 본 논문의 방법론을 통해 추정한 강우량 분포를 비교한 결과 지속강우를 고려하여 추정한 강우량의 분포가 관측 강우량의 분포를 더 잘 반영하는 것으로 나타났다. 특히 강우 지속일이 길어질수록 일강우량 값도 커지는 특성을 보였는데 기존의 방법론은 이러한 특징을 반영할 수 없기 때문에 전체적으로 값이 과소 추정되는 결과가 나타나 한계를 여실히 보여주었다. 지속강우의 지속기간별 특성을 고려하여 각각의 강우량을 추정하여 일강우량을 분배한 경우 실제 강우량 분포와 거의 유사한 강우량 분포를 가지는 것으로 나타났으며, 지속일이 커질수록 강우강도가 커지는 특징도 잘 반영하여 최대값도 유사하게 도출되었다.
본 논문에서 기존의 방법론을 개선하여 개발한 방법론의 특징을 다시 한번 정리하자면, 먼저 기존에 전체 강우일의 강우량에 대해 하나의 강우 분포형을 도출하였던 것을 강우 사상의 지속기간별로 나누어 각각의 강우 분포형을 도출하여 지속기간별 일강우량 분포 특성을 반영하고자 하였다. 또한 이 때에 비매개변수 추정이 가능한 핵밀도추정(KDE)를 적용하여 각각 분포형의 매개변수를 도출하지 않고 각 사상의 일강우량 분포 특성을 반영할 수 있도록 하였다. 추정된 강우사상의 총 강우량을 일단위 강우량으로 분배하는 경우에도 전체를 대표하는 하나의 분포형태를 제시하지 않고 k-최근접 이웃 알고리즘(KNN)을 이용하여 유사한 강우사상의 실제 일분포 형태를 반영하여 첨두값이 감쇄하지 않도록 하였다. 본 논문에서 제시한 방법론은 기존의 Markov Chain을 이용한 일강우량 모의 방법을 개선하여 실제의 강우 분포를 더 잘 반영할 수 있도록 하였다. 본 논문의 결과는 추후 강우 예측을 비롯하여 다양한 수자원 설계의 기초자료로 활용성이 클 것으로 판단된다.









