1. 서 론
2. K-Flood의 지배방정식 및 수치해석기법
2.1 유한체적 이산화
2.2 흐름률항과 생성항의 균형
2.3 시간 이산화 및 일반 생성항 처리
3. 적응적 분할격자
4. 모형 검증
4.1 원형 실린더에 의한 충격파 반사 모의
4.2 도시홍수실험 모의
4.3 Malpasset 댐붕괴 모의
5. 결 론
1. 서 론
과학기술의 급격한 발전에도 불구하고, 이상기후는 최근 들어 더욱 예측하기 어려운 방향으로 진행되고 있으며, 이로 인한 홍수 및 가뭄 등 수재해의 강도 및 빈도는 뚜렷하게 증가하고 있는 추세이다. 이 중 홍수피해를 저감하기 위한 대표적인 방법으로는 침수해석모형을 이용하여 홍수위험지도를 만들어 배포하거나, 실시간 홍수예측을 통하여 경보를 발령하는 방법 등이 있다. 따라서 홍수피해 저감을 위해서는 정확한 침수예측이 가능한 침수해석모형이 필수적이며, 실시간 예보를 위해서 모형의 속도 향상에 대한 요구도 커지고 있는 실정이다. 침수해석에는 대부분 1차원 또는 2차원 수치해석모형이 활용되고 있으며, 현재는 보다 정확한 해석의 필요성으로 2차원 침수해석모형이 보다 범용적으로 활용되고 있는 추세이다.
TELEMAC-2D, FLUMEN, Tuflow, MIKE FLOOD, FLO-2D, RAMS 등 다양한 2차원 수치모형이 개발되어, 국내외 침수해석에 활용되고 있다(Teng et al., 2017; Seo et al., 2016). 2차원 침수해석 모형에서 해석격자는 모형의 정확도와 계산속도에 큰 영향을 미치며 특히 직교격자는 건물 및 구조물 등 불규칙한 흐름영역의 표현에 한계가 존재한다. 유한차분법(Finite Difference Method, FDM)기반의 수치모형은 직교격자를 사용하게 되며 구축하기 쉽다는 장점이 있는 반면, 복잡한 지형을 표현할 때 계산 효율성이 떨어지게 된다. 유한요소법(Finite Element Method, FEM) 또는 유한체적법(Finite Vomume Method, FVM) 기반의 수치모형은 삼각형 격자를 사용할 수 있으며, 이러한 경우 복잡한 지형을 효율적으로 표현할 수 있으나 지형이 복잡해질수록 격자 생성에 많은 시간과 노력이 필요하게 된다. 이러한 격자생성 기법들의 단점을 극복하고 직교격자와 삼각형 격자의 장점을 동시에 만족할 수 있도록 직교격자 상에서 부분적으로 격자를 세분화하여 효율적으로 격자를 생성하는 적응적 격자세분화(Adaptive Mesh Refinement, AMR)기법이 있다. 적응적 메쉬세분화기법은 1990년대 주목받기 시작하여 대기(Jablonowski and Williamson, 2006), 해양(Popinet, 2011), 다상흐름(Sussman, 2005) 등 다양한 분야의 수치모의에 적용되었으며, 홍수범람모의(Huang et al., 2015)에도 성공적으로 적용된 바 있다. 동적 격자세분화기법을 활용하면 모의 중에 격자를 재구성하여 정밀한 해상도가 필요한 영역만을 고해상도로 표현하는 매우 효율적인 계산이 가능하다.
분할격자기법은 흐름의 특성이 변화하는 성질을 가지는 격자를 형상에 맞게 분할하여 흐름영역과 비흐름영역으로 구분하는 격자생성기법이다(Causon et al., 2000; Causon et al., 2001; Kim et al., 2009). 분할격자기법과 격자세분화기법을 동시에 활용하면 매우 적은 수의 격자로 복잡한 형상의 흐름영역을 표현할 수 있어 보다 효율적인 모의가 가능하다. 특히 최근 도시홍수의 발생빈도가 늘어나면서 도시홍수에 대해 매우 정밀한 해상도의 자료와 격자를 이용하여 보다 정확한 침수해석 또는 예보를 하고자 하는 시도가 늘어나고 있으며(ex. Lee et al., 2017; Noh et al., 2017), 이러한 복잡한 흐름영역의 격지생성 시 적응적 분할격자를 활용하여 효율적인 격자생성이 가능하다.
적응적 분할격자를 침수해석에 활용한 연구로는 Liang et al. (2007)과 Popinet (2011) 등을 예로 들 수 있다. 본 연구에서는 적응적 분할격자기법을 활용하여 2차원 침수해석이 가능한 수치모형 K-Flood를 개발하였다.
본 논문의 구성은 2장에서는 K-Flood에 적용한 수치해법에 대해 기술하고 3장에서 적응적 격자세분화 기법과 분할격자기법을 조합한 격자생성기법에 대해 설명하였다. 4장에서는 수치모의를 통해 모형의 성능을 검증하였으며, 마지막 5장에서는 본 논문의 결론을 논의하였다.
2. K-Flood의 지배방정식 및 수치해석기법
2.1 유한체적 이산화
K-Flood의 지배방정식은 다음과 같은 2차원 천수방정식이다.
(1)
(2)
여기서, t는 시간, x와 y는 직교좌표계의 방향이며, U, F, G, S는 각각 보존형 변수, x와 y 방향의 흐름률, 생성항을 의미한다. h는 수심, u와 v는 x와 y 방향으로 수심평균된 유속, g는 중력가속도, S0는 하상경사로 하상고(z)의 x, y 방향 변화량(S0x=-𝜕z/𝜕x, S0y=-𝜕z/𝜕y), Sf는 마찰경사를 의미하며, Manning식에 의한 마찰경사는 다음 식과 같다.
(3)
여기서, n은 Manning의 조도계수이다. Eq. (1)을 유한체적 𝛺에 대하여 공간적분하면 다음 식과 같다.
(4)
위의 식을 Green의 정리를 적용하면 아래와 같은 식을 얻을 수 있다.
(5)
여기서, 𝜕𝛺는 계산경계면, f=[F, G]로서 계산요소의 경계면에 연직한 흐름률의 벡터, n은 경계면에 수직한 단위벡터를 의미한다. 위의 식을 유한체적법에 의해 각 셀(control volume)에서 적분한 후 이산화하면 격자화 된 셀에 대하여 다음과 같은 식이 성립한다.
(6)
여기서, i와 j는 공간좌표를 나타내며, Ai,j는 (i, j) 셀의 면적, 𝛥t는 시간간격, Fi, j는 아래의 수식과 같이 표현되는 수치흐름률을 의미한다.
(7)
여기서, lx와 ly는 x, y 방향의 셀 길이를 의미한다. 적응적 격자는 부분적으로 비구조격자이나 편의를 위해 본 논문에서는 구조격자와 같은 (i, j) 인덱스를 사용하였다. 셀 경계면에서의 수치흐름률은 근사 Reimann해법에 의해 계산하며, 본 논문에서는 HLLC (Toro, 2001) flux solver를 사용하였다.
2.2 흐름률항과 생성항의 균형
Eq. (1)은 일반적인 유체의 흐름에 대해서 정수압가정을 기반으로 수심방향으로 적분하여 유도한 식으로, 평균유속 u=v=0를 가정하면 정상류의 해는 다음과 같이 자명하다.
(8)
위 조건은 수면이 정지되어 있는 정상상태를 나타내며, 수치해법에서 만족해야 하는 “C-property”로 불린다(Zhou et al., 2001). Eq. (1)의 해는 자연스럽게 Eq. (8)을 만족하여야 하나, 수심경사는 흐름률항(flux term)으로 바닥경사는 생성항(source term)으로 이산화되어 수치적 불균형을 이루는 경우가 종종 발생하게 된다. 이러한 문제는 젖음/마름 경계면 등에서 종종 수치적 불안정을 일으키는 요인이 되어, 2000년대 초반부터 10여 년간 이러한 문제를 해결하기 위해 “well-balanced” 수치해법으로 불리는 다양한 수치기법들이 제안되었다(ex. Audusse et al., 2004; Begnudelli and Sanders, 2006; Benkhaldoun, 2007; Caleffi et al., 2007; Gallardo et al., 2007; Liang and Borthwick, 2009; Rogers et al., 2003; Zhou et al., 2001; Garcia-Navarro and Vázquez-Cendón, 2000). 본 연구에서는 이 중 적용이 간편하고 많은 수치모형에 적용된 바 있는 Audusse et al. (2004)이 제안한 hydrostatic reconstruction기법을 적용하기로 하였다. Eq. (6)의 흐름률 계산 시 (i, j) 셀과 (i+1, j)셀 사이의 경계면에서의 상태량은 hydrostatic reconstruction기법에 의해 다음식과 같이 재구축(reconstruction) 된다.
(9)
(10)
여기서, 아래첨자 l, r은 셀의 좌와 우 경계면의 상태량(수심, 운동량)이다. K-Flood는 공간에 대해 2차정확도를 유지하기 위해 셀 내부 검사체적의 상태량을 구분적으로 선형(piecewise linear)으로 보간하여 셀 경계면의 상태량을 산정하였다. 셀 내부 상태량에 대한 경사 산정 시 수치적 불안정성을 회피하기 위해서 minmod 제어자를 사용하였다.
Hydrostatic reconstruction기법에 의해 수심경사와 바닥경사는 재구축된 흐름률을 사용함으로서 계산되며 다음과 같은 생성항을 고려하게 된다.
(11)
여기서, (i, j)셀과 (i+1, j)셀 사이의 생성항은 다음 식과 같이 정의된다.
(12)
보다 상세한 사항은 Audusse et al. (2004)과 An and Yu (2012)를 참고하기 바란다.
2.3 시간 이산화 및 일반 생성항 처리
K-Flood는 시간에 대하여 2차 정확도를 유지하기 위해 Eq. (5)를 다음과 같이 prediction-correction 두 단계로 이산화하였다.
Predictor step:
(13)
Correction step:(14)
은 마찰 생성항 및 그 외 일반 생성항 계산을 하기 전 중간 단계의 상태량이다.
안정적인 마찰 생성항 또는 그 외 일반 생성항의 처리를 위해 본 연구에서는 Liang and Marche (2009)의 “splitting method”를 사용하였으며, 생성항은 Eqs. (13)~(14)식의 적용이 끝난 후 다음 식과 같이 계산한다.
(15)
(16)
(17)
위 식은 splitting 기법을 사용하여 생성항을 Euler 음해법으로 계산하는 것으로 보다 상세한 사항은 Liang and Marche (2009)과 An et al. (2015)를 참고하기 바란다.
3. 적응적 분할격자
본 연구에서 구축한 적응적 분할격자는 쿼드트리격자를 기반으로 한다. 쿼드트리격자의 기본 구조는 Fig. 1과 같으며 생성규칙은 다음과 같다.
1) 계산 영역을 단위 크기의 정사각형으로 표현한다.
2) 필요할 경우 정사각형을 4개의 셀로 4분한다.
3) 특정 세분 조건에 의해 세분화가 필요하다면 개별 셀을 다시 4분한다.
4) 셀을 세분화하되, 이웃한 셀과의 길이 차이가 2배 이상 되지 않도록 한다.
위 규칙과 같이 쿼드트리 격자 구조상에서 상위격자는 4개로 분할된 하위격자를 가질 수 있으며, 분할된 하위격자는 다시 4개로 분할된 하위격자를 갖는 상위격자가 될 수 있다. 셀의 단계(Level)가 0인 셀을 Root셀이라고 하며, 가장 상위의 셀인 Root셀에서 하위격자가 순차적으로 생성된다. 격자의 세분화조건으로는 경계면의 형태, 지형경사, 고도 등이 사용될 수 있으며 K-Flood에서는 기본적으로 수위 또는 분할격자를 기준으로 격자를 자동으로 세분화 한다. 또한 생성항의 위치가 결정되면 인근의 격자를 세분화하도록 모형을 구축하였다.
분할격자기법은 하나의 셀을 유체부분과 고체부분으로 나누어 표현함으로써 복잡한 형상의 경계면을 보다 적은격자 또는 직교격자를 이용해서 표현할 수 있도록 해 주는 기법이다. 분할격자기법에서 셀은 Fig. 2와 같이 유체셀(flow cell), 분할격자셀(cut cell), 고체셀(solide cell)로 구분되며, 유체셀의 경우에는 일반적인 방법으로 흐름이 계산되고 고체셀은 흐름이 발생하지 않는 것으로 고려된다. 분할격자셀의 경우, 실제 유체의 체적은 셀의 체적과 셀에서 유체가 차지하는 비의 곱으로 계산되며 셀 간의 흐름률은 유체부분들 사이에서만 발생하는 것으로 가정하여 유한체적법으로 근사하여 계산을 수행하게 된다(An and Yu, 2011).
분할격자기법을 적용하면 격자상에서 고체 경계면을 구성되며, 새로이 만들어진 경계면에서의 흐름률이 적절히 계산되어야 한다. K-Flood는 Quirk (1994)이 제안한 방법으로 고체 경계면을 구성하였으며, 작은 분할 격자로 인해 계산시간간격(△t)가 작아지는 문제를 Quirk (1994)가 제안한 셀 병합 방식을 이용하여 해결하였다. 분할격자셀에서 유체와 고체의 경계면은 일반적인 Reflective 경계조건으로 계산된다. 보다 상세한 분할격자상 2차원 침수모형의 수치해법에 관한 사항은 An and Yu (2012), Causon et al. (2000), Kim et al. (2009)을 참고하기 바란다.
4. 모형 검증
4.1 원형 실린더에 의한 충격파 반사 모의
본 모형을 검증하기 위한 첫 번째 모의는 2차원 수치모형을 검증하기 위한 목적으로 An and Yu (2012), Causon et al. (2000), Liang et al. (2007), Yang et al. (1987)에 의해 수행된 바 있는 원형 실린더에 의한 충격파 반사 모의이다. 5 m × 5 m 의 마찰 없는 정사각형 영역에서 1 m 직경의 원형 실린더가 (2 m, 2.5 m)를 중심으로 위치하며, 충격파가 실린더의 좌측에서 우측으로 진행됨에 따라 반사 충격파가 발생하게 된다.
Fig. 3에 모의된 수심과 격자변화를 나타내었다. 원형의 실린더가 적응적 분할격자에 의해 잘 표현되고 있으며, 시간이 흐르며 충격파가 전파되어 감에 따라 세분화된 격자영역이 변화하는 양상이 모의되었다. 모의된 수심은 과거의 연구들(An and Yu, 2012; Causon et al., 2000; Liang et al., 2007)과 매우 유사한 것을 확인할 수 있다.
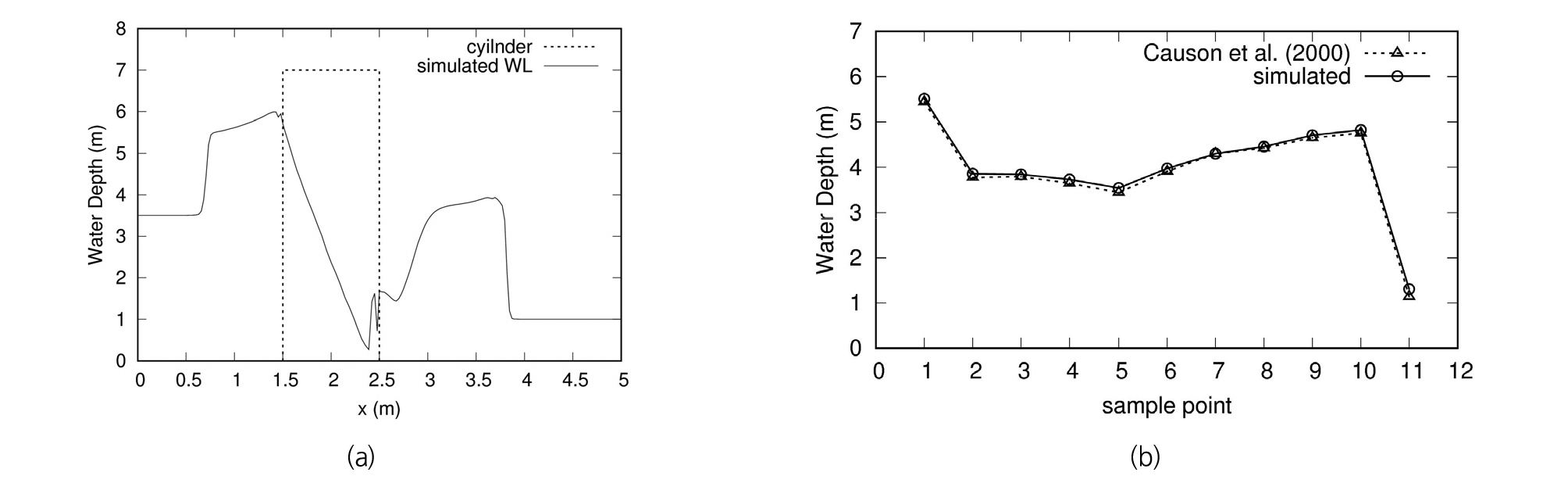
Fig. 4(a)에 0.3초 후 y = 2.5 m와 실린더 주변에서의 수심을 도시하였다. 실린더 주변의 반사된 충격파와 전진하는 충격파의 형상이 잘 모의된 것을 확인할 수 있으며, 과거 연구들(An and Yu, 2012; Causon et al., 2000)의 결과와 매우 유사한 것을 확인할 수 있었다. Fig. 4(b)에 Causon et al. (2000)이 제시한 11개 지점의 수심을 비교하였다. 앞의 결과와 같이 K-Flood가 과거의 연구를 잘 재현하고 있는 것을 확인할 수 있었다.
4.2 도시홍수실험 모의
두 번째로 Testa et al. (2007)이 이탈리아 Torc River Valley의 지형을 축소하여 실시한 실험을 모의하였다. 18개의 모형건물을 홍수파 하류에 배치하여 도시 홍수 시 건물군의 영향 과 건물군 내부 홍수파의 전파 양상을 관찰하고자 하였다. 지형정보 및 건물군의 배치정보와 수심 및 유량의 관측지점위치는 Fig. 5와 같다. 실험에서 측정한 Manning 조도계수는 0.0162 sm-1/3이며 실험시간은 총 60초이다. 좌측의 상류에 유량이 공급되었으며 모의에서는 유입유량을 넓게 분포시키기 위해서 10개의 지점에 나누어 생성항으로 처리하였다.
시간에 따른 수심분포와 격자변화를 Fig. 6에 나타내었다. 상류로부터 발생한 흐름이 건물군과 만나면서 건물군 앞에서 충격파가 반사되는 현상이 잘 모의되고 있다. 건물군 주변의 수위 변화가 심한 영역은 세밀한 격자가 사용되었으며 비교적 변화가 완만한 영역 또는 흐름이 발생하지 않은 영역은 큰 격자를 사용해서 효율적으로 모의가 수행된 것을 확인할 수 있다. 건물은 분할격자로 표현되었으며, 건물 사이의 흐름들도 성공적으로 모의된 것으로 판단된다.
8개소의 수심관측점들의 모의수심과 관측수심을 비교하여 Fig. 7에 도시하였다. 전반적으로 대부분의 지점에서 모의결과와 관측값이 잘 일치하고 있다. P6, P7, P8지점에서 다소간 오차가 타 지점들에 비해서 큰 경향이 있으며, 이는 현재 모형에서 사용하고 있는 지배방정식 또는 사용한 격자의 해상도가 건물사이에서 발생하는 복잡한 수리현상을 완벽하게 모의하기에 부족한 점이 있었을 것으로 판단된다. 이러한 결과는 같은 실험을 모의한 An and Yu (2011)에서도 동일하게 확인된다.
4.3 Malpasset 댐붕괴 모의
세 번째로 프랑스의 Malpasset 댐붕괴 사상을 모의하였다. 이 사상은 신뢰할만한 데이터의 확보가 용이하여 2차원 홍수모형의 검증에 널리 사용되고 있다(i.e., An et al., 2015; Hervouet, 2000; Valiani et al., 2002; Brufau et al., 2004; Kim and Cho, 2011; Kesserwani and Liang, 2012). 프랑스 Reyran River Valley에 위치한 Malpasset 댐은 관개 및 식수 저장을 위해 건조되었으며 저수용량은 5.5 × 107 m3이었다. 1959년 12월 2일 높은 강우강도와 강수량으로 인해 저수지의 수위가 급격히 상승하여 댐이 붕괴되었다. 댐 붕괴로 인해 40 m 이상의 높은 파도가 빠르게 하류로 전파되었으며 하류에 위치한 마을을 파괴하여, 421명의 사상자와 6,800만 달러 상당의 재산피해를 초래했다. 홍수가 일어난 후, 지역 경찰은 Reyran River Valley의 좌우안을 따라 최대 수위 표시를 조사했으며 17개의 경찰 조사 지점(P1~P17)을 Fig. 8에 표시하였다. Electricité de France (EDF)는 이 사상의 실험을 위해 1/400 스케일 실험모형을 제작하여 유심부에 해당하는 14개의 지점(S1~S14)에서 수위를 관측하였으며 이는 Fig. 8에서 확인할 수 있다. 5개의 지점(S1~S5)은 저수지 상류에 위치하고 있어 표시에서 제외하였다. Manning의 조도계수는 0.025~0.033 sm-1/3으로 현장조사에서 조사되었으며, 본 논문에서는 Valiani et al. (2002)를 참고하여 0.033 sm-1/3의 값을 사용하였다.
Fig. 9에 시간에 따라 전파되는 홍수파와 변화되는 격자를 나타내었다. 댐 붕괴파가 하류로 전파되는 양상이 성공적으로 잘 모의되었으며 과거의 연구결과(ex. An et al., 2015; Kim and Cho, 2011; Valiani et al., 2002)들과 유사하게 모의된 것을 확인할 수 있다. 앞의 두 모의와 마찬가지로 흐름상황에 따른 동적 격자세분화가 성공적으로 적용되었다.
17개의 경찰 조사 지점과 9개의 모형실험 관측지점에서 관측된 수위와 모의된 수위를 비교하여 Fig. 10에 제시하였다. 참고를 위해 Valiani et al. (2002)의 모의결과도 함께 Fig. 10에 제시하였다. 전반적으로 K-Flood가 관측수위를 잘 재현하고 있으며, 이는 기존에 검증된 모형의 모의결과와 매우 유사한 것을 확인할 수 있다.
5. 결 론
본 연구에서는 적응적 분할격자기반 2차원 침수해석모형 K-Flood를 개발하였다. Liang et al. (2007) 등과 같이 기존에 해외에서 개발된 적응적 분할격자기반의 침수해석모형의 경우 소스코드 미공개로 인하여 국외모형들의 국내활용 또는 국내니즈의 반영이 제한적이었다는 점을 고려하여, 공간 및 시간에 대해 2차 정확도의 유한체적 수치해법을 적용하여 K-Flood를 개발하였다.
K-Flood의 검증을 위해 2차원 침수해석모형의 검증에 널리 사용되고 있는 1) 원형 실린더에 의한 충격파 반사 모의, 2) 도시홍수실험 모의, 3) Malpasset 댐붕괴 모의를 수행하였다. 모든 모의에서 관측자료 및 과거의 모의결과와 비교하여 성공적으로 K-Flood의 성능을 검증하였으며, 자동적으로 생성된 적응적 분할격자가 효율적으로 K-Flood에 활용되는 것을 확인하였다.
본 논문에서 모의한 검증 예들은 흐름영역이 비교적 복잡하지 않으나, 도시유역의 침수해석 등 복잡한 흐름영역에서 K-Flood의 적응적 분할격자 기반의 자동격자생성 기능은 사용자에게 크게 도움이 될 것으로 판단된다. 향후 SWMM 등을 활용한 1차원 배수모의결과와 연동하여 도시홍수에 대한 검증을 수행할 계획이다.












