1. 서 론
2. 대상 지역과 이론적 배경
2.1 대상 지역 현황
2.2 RCP8.5 기후변화시나리오
2.3 빈도해석
2.4 S-RAT (Spatial Runoff Assessment Tool)모형
2.5 Two-Dimensional Flood Routing Model (FLO-2D) 모형
2.6 강우-침수심 곡선 산정
2.7 Deep Neural Net (DNN)
3. 적용 및 분석
3.1 RCP8.5 기후변화시나리오에 따른 미래 침수심 전망
3.2 머신러닝을 이용한 강우량-침수심-차량 속도 곡선 작성
3.3 미래 기후변화가 도시교통장애에 미치는 영향평가
4. 결 론
1. 서 론
기후변화는 전 세계적으로 강우의 빈도와 강도를 증가시킬 것으로 예측되며(IPCC, 2014) 급격한 도시화와 산업화로 인해 도시 지역의 내수 침수 피해로 양상이 바뀌고 있다(Kim et al., 2013). 이에 기후변화에 따른 영향평가는 도시계획에 매우 중요한 요소로 언급되고 있으며(Koetse et al., 2009), 세계기상기구(WMO)는 기상 현상으로부터 발생할 수 있는 사회, 경제적 영향을 고려하는 영향예보의 필요성을 강조하고 있다(WMO, 2015). 기상선진국에서는 이미 고해상도 기상 정보 뿐 아니라 사회경제적 영향을 분석하여 제공하고 있으며, 영국을 예로 Flood Forecasting Centre (FFC) -Flood Guidance Statement (FGS)에서는 5일 동안의 모든 홍수 유형에 대한 위험도를 평가하고 이 결과를 일 단위(daily)로 제공하고 있다(FFC, 2017). 특히 교통에 있어서 도시침수로 인한 교통 시스템의 성능 저하는 사회에 가장 해로운 요소이며 영향을 받는 주요 도로마다 시간당 £ 100k 정도인 것으로 추정하고 있다(Arkell et al., 2006; Hooper et al., 2014; Pregnolato et al., 2017). 그러나 국내의 경우 현재 기상재해의 발생에 대한 정확한 예보 및 특보를 제공해도 그 영향을 제대로 전달하지 못하고 있다(Jung et al., 2016).
강우와 차량 운행 속도와 관련된 연구 동향을 살펴보면 주로 강우와 차량 속도와의 통계적 특성을 이용한 연구가 주로 이루어져 왔으며, 각 연구 동향을 살펴보면 다음과 같다. Jeong et al. (2013)은 RWIS자료와 검지기 자료를 이용 강수량에 따른 교통 특성을 분석하였고 강우가 발생하였을 때 비 강우 시보다 속도 및 교통량이 감소하는 것을 제시하였다. Lam et al. (2013)은 차량의 속도, 교통량에 따른 속도, 도로가 수용할 수 있는 교통량 등을 고려하여 속도-차량 밀도를 다양한 강우 조건을 통해 제안하였다. Lu (2014)는 impulse response function을 사용하여 강우강도와 고속도로의 여행시간, 즉 이동시간을 정량적으로 연관을 지어 예측을 수행하였다. Kim and Oh (2015)는 일반국도의 교통량 자료와 기상청의 강우 자료를 활용하여 강우 강도별(평일, 비평일) 하루평균 교통량 변화에 관한 논문을 수행하여 강우가 많을수록 모든 일수에 평균 일 교통량이 최대 5.48%까지 차이 나는 것을 제시하였다. Mashros et al. (2014)은 홍수와 관련된 장애가 도시 교통 네트워크에 미치는 영향을 평가하기 위한 통합방법론을 개발하였으며, 방법론에서는 기후 및 홍수모의로부터 얻는 정보를 위해성(hazard) 정보를 연결하였으며 교통 네트워크의 노출과 홍수로 인한 교통 장애에 운행 중인 차량의 취약성을 고려하여 분석하였다. Jia et al. (2017)은 강우 영향을 고려한 단기 교통 속도 예측을 위해 R-LSTM, R-DBN을 제안하여 심층 학습 된 데이터 입력으로 일반모델을 능가하는지를 분석하였고 여러 통계 기법 중 R-LSTM이 가장 정확성을 있다는 것을 분석하였고 강우강도에 따라 교통량이 감소하는 상관 식을 제시하였다. Choo et al. (2020) 도시홍수의 침수심을 제시하고 차량에 영향을 미칠 수 있는 피해에 대처하기 위해 각 지역의 고해상도 분석 및 수문학적 요인을 반영하고, 강우로 인한 홍수 정도와 차량 운행에 미치는 영향 정도를 분석하여, 폭우로 인해 도로가 침수될 것으로 예상되는 경우 우회하여 차량이 목적지에 도달할 수 있도록 차량이 주행할 수 있도록 격자별 차량 속도 감소율을 나타내는 교 통장에 지도를 제작하였다.
따라서 본 연구에서는 도시홍수의 침수심을 제시하고 차량에 영향을 미칠 수 있는 피해에 대처하기 위해 각 지역의 고해상도 분석 및 수문학적 요인을 반영하고, 강우로 인한 홍수 정도와 차량 운행에 미치는 영향 정도를 조사할 필요가 있다고 판단하였다. 이에 강우-침수심-차량 속도의 산정식을 간단한 선형회귀식이 아닌 다양한 머신러닝 기법을 이용하여 제시하고자 한다. 또한 기후변화 시나리오를 강우-침수심-차량 속도 산정식에 적용하여 집중호우 시 도시하천의 침수를 예측하고 미래 기후변화의 영향을 고려한 도로 침수로 인해 발생할 수 있는 교통 네트워크의 장애를 평가하며, 도시 교통흐름 계획에 이용하는 기술을 개발하고자 한다. 이와 같은 기술을 통해 기후변화가 도시교통흐름에 미치는 영향을 전망하여 도시 도로 계획의 취약성을 평가한 후 대안을 수립하는 정보를 제공하는 데 목적이 있다. Fig. 1은 본 연구의 개념도이다.
2. 대상 지역과 이론적 배경
2.1 대상 지역 현황
본 연구를 수행하기 위하여 한국의 수도인 서울시를 대상 지역으로 선정하였으며 서울시 내에서도 2011년 7월 27일 01시~23시까지 약 300 mm의 집중호우가 내려서 피해가 발생하였던 사당, 방배, 서초동 일대로 대상 지역을 1 km × 1 km 격자망으로 구분하여 진행하였다. Fig. 2는 대상 지역을 격자로 구분한 그림과 사당동에 해당하는 격자 그림과 2011년 7월 27일에 실제 피해가 발생했던 격자와 침수 사진이며 당시 나왔던 뉴스 및 SNS를 참고하였다. Fig. 3(a)은 사당동 일대의 격자 번호와 도로망 및 각 격자에 해당하는 제한속도를 나타낸 그림이며 대부분 서울 시내의 도로를 포함하고 있어 제한속도가 60 km이다. Fig. 3(b) 침수가 발생한 지역의 소유역을 분할한 그림이다.
2.2 RCP8.5 기후변화시나리오
기후변화에 따른 미래의 기후 특성의 변화를 알아보기 위하여 상세 기후변화 시나리오와 기후변화 시나리오 간의 불확실성을 정량화하기 위해서는 MME (Muti-Model-Ensemble)가 요구되며 KMA에서는 다양한 시나리오를 활용할 수 있도록 표준 시나리오 인증제도를 2013년부터 운영하고 있는데, GCM 시나리오와 통계적 상세화를 조합하여 생산한 13개 지역 규모 시나리오를 추천하고 있다. 통계적 상세화는 기후 모델의 장기추세를 유지하고 편의 보정을 수행할 수 있도록 고안된 SDQDM (Spatial Disaggregation with Quantile Delta Mapping; Eum and Cannon, 2017)를 사용하였으며 RCP8.5에 따르는 13개 모형의 MME 결과를 이용하였는데, RCP8.5는 저감 없이 온실가스가 배출되는 극단적인 시나리오이다(IPCC, 2014). Fig. 4는 기후변화시나리오의 수집 방법을 나타낸 그림이며 Table 1은 MME 작성에 사용된 13개 GCMs이다.
Fig. 5는 월별 강수량에 대한 Box-plot이다. 그림 내의 각 Box는 13개 기후 변화 시나리오 모델의 변동성을 나타내며 관측을 위한 파란색 점선과 MME 평균을 위한 빨간색 선을 통해 구분하였다. 그림을 살펴보면 MME 평균이 관측 데이터의 평균에 매우 가깝다는 것을 확인할 수 있었으며 강수량이 많은 6월과 8월에 높은 변동성을 나타냈다. 이를 통해 작성된 MME 평균이 관측 데이터의 평균에 가깝게 시뮬레이션 되었음을 시사한다.
Table 1.
13 GCMs used to write MME
2.3 빈도해석
일반적으로 극한사상을 분석하기 위해서는 두 종류의 시계열자료를 이용하는데 첫 번째 기법은 지속시간별 연 최고치(series of annual maximum, SAM)를 이용하는 것이며 두 번째 기법은 특정 임계치 이상의 값을 이용하는 POT (peak over threshold) 방법이 있다. POT 방법은 많은 관심이 있으나 임계치 설정의 어려움과 자료들 간의 자기상관성으로 인해 널리 이용되지 않고 있다. 연 최고치 계열을 이용하는 정상성 빈도분석 기법은 현재까지 가장 보편적으로 이용되는 기법으로 일반적으로 GEV 확률분포를 통해 극한 강우를 통계적으로 표현한다(Coles, 2001). GEV 확률분포의 누가밀도함수는 Eq. (1) 과 같으며 재현기간(T)에 대한 극한 강우는 Eq. (2) 와 같이 추정할 수 있다(Coles, 2001).
여기서, , 그리고 는 위치매개변수(location parameter), 규모매개변수(scale parameter), 형상매개변수(shape parameter)를 의미한다.
재현기간은 z보다 클 가능성이 있는 연 최고치 값의 평균시간으로서 정상성(stationarity) 기반에서는 재현기간이 시간에 독립적이라는 것을 의미하며 이 개념은 전통적으로 특정 수공시설물의 사용 수준(service level)을 평가하기 위해 이용된다. 가령, 100년 빈도 재현기간으로 되어 있다는 것은 통계학적으로 100년에 1번의 확률로 발생할 수 있는 사상에 견딜 수 있도록 구조물이 설계되어 있다는 것을 의미한다.
본 연구에서는 기후변화시나리오의 빈도해석을 위해 앞서 기상청에서 제공하는 국가 기후변화시나리오를 사용하였으며, 통계적 상세화는 기후 모델의 장기추세를 유지하고 편의 보정을 수행할 수 있도록 고안된 SDQDM을 적용하고 13개 시나리오 모형의 MME 결과를 이용하였다. 설계강우량 산정을 위해 지속기간 1일의 GEV 빈도분석 결과를 이용하여 Table 2를 작성한 결과, 미래로 갈수록 강우량은 크게 증가하고 있으며, 특히 Future 3기간의 500년 빈도에서 급격하게 증가하는 것을 확인하였다.
Table 2.
Design rainfall in consideration of climate change (duration - 24 hr)
2.4 S-RAT (Spatial Runoff Assessment Tool)모형
S-RAT (Spatial Runoff Assessment Tool)모델은 강원대학교에서 개발한 분포형 강우-유출모델로 GIS자료를 이용하여 대상유역을 일정한 크기의 격자로 구성하고 격자마다 시간 간격별 개념적 물수지를 계산함으로서 유역의 시·공간적 유출량 변화를 모의하도록 설계되었다. S-RAT은 자체적으로 매개변수를 추출하여 입력 자료가 간소화 되어 있다. S-RAT 모델은 각 격자별 침투 및 직접 유출을 산정하기 위해 SCS Curve Number (이하 CN) 방법을 사용하였으며, 이를 위해 토양도 및 토지이용도를 입력 받아 CN 값 격자자료를 생성하여 계산하게 된되며, Eq. (3)의 계산식을 통해 강우량을 분포형 유출모델인 S-RAT에 넣어 유출량을 산정한다.
2.5 Two-Dimensional Flood Routing Model (FLO-2D) 모형
FLO-2D 모형은 체적을 보존시키면서 홍수의 추적을 재현해내는 모델이다. 미국 연방재난관리청(Federal Emergency Management Agency, FEMA) 공인된 모델이므로 신뢰성이 높으며, GDS, MAPPER++등이 있어 자동적으로 침수 구간을 구별해낼 수 있다. 흐름방정식은 Eq. (4)와 같으며, 연속방적식과, 운동량방정식을 기본으로 한다.
여기서 h는 유량의 깊이, V는 시작격자에서 8방향 흐름(x방향) 중 하나의 평균유속이며, i는 초과강우강도이다. Sf는 마찰경사로 Manning 방정식을 기반으로 한다.
2.6 강우-침수심 곡선 산정
강우량-침수심 곡선의 개념도는 Fig. 6과 같으며 20 mm~300 mm의 강우를 Huff 3분위 기법으로 이용하였으며 20 mm 간격으로 증가시켜 강우-유출모형인 S-RAT 모형에 적용하여 강우량에 따른 유출량 자료를 산정하였다. 산정된 유출량에서 홍수방어 능력(5년~15년)을 고려한 유출량 자료를 침수모형인 FLO-2D모형의 입력자료로 사용해 침수심을 산정한다. 이러한 방법으로 격자별로 강우량-침수심 곡선을 작성하였다. Fig. 5는 Rainfall-Depth Curve의 작성 개념도이다.
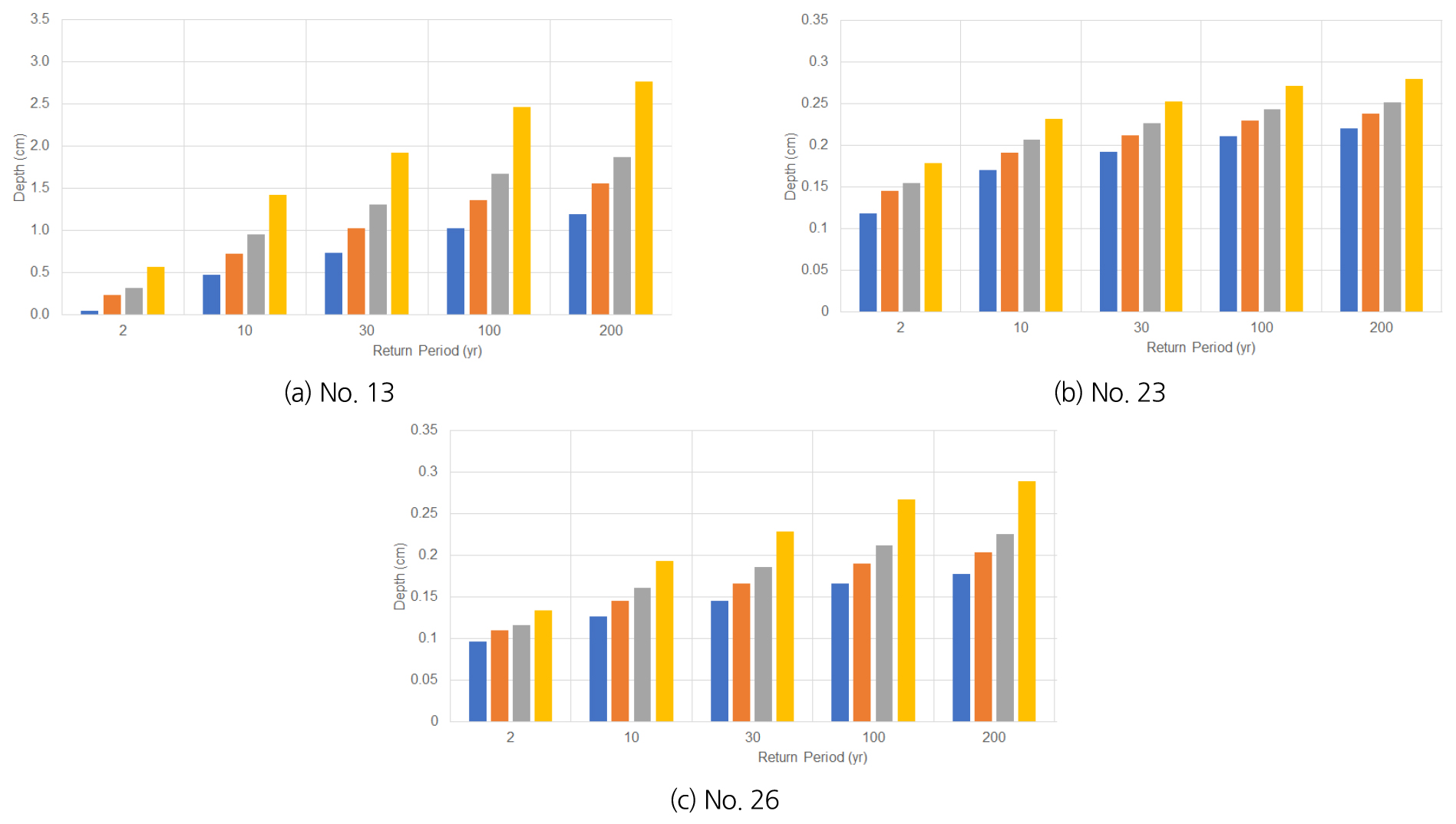
강우량-침수심 곡선 산정을 위하여 사당동 일대 유역을 1 km × 1 km 격자로 구분하여서 격자별 번호를 지정한 후 분석하였다. 본 연구에서는 차량과 관련된 분석을 하고자 하였으며 차량의 경우 승용차는 배기구 높이인 약 20 cm, 트럭의 경우 타이어 높이의 1/2로 정의하였다(Lee, 2015). Table 3은 차량에 해당하는 침수심 20 cm에 대한 격자별 한계강우량 산정 결과를 나타내었으며 Fig. 7은 13, 23, 26번 실제 침수가 발생하였던 격자에 해당하는 강우량-침수심 곡선이다.
Table 3.
Rainfall thresholds for each region
2.7 Deep Neural Net (DNN)
딥러닝은 사람 뇌파의 신호를 전달하는 신경세포를 추상적으로 표현한 인공지능을 기반으로 한다. Fig. 8은 딥러닝의 기본 개념을 보여주는 그림이다. 딥러닝은 인공신경세포를 추상적으로 표현하여 정보의 입력(In), 가공(추상화), 출력(Out)으로 구성되며, 하나의 세포는 같은 계층에 여러 형태의 입력(Input)으로 존재한다. 가공되는 정보는 Hidden 계층으로 여러 개의 입력을 다양한 형태로 받아들이고 이를 조합하고 분석하는 정보에 따라 여러 개의 Hidden 계층을 둔다. 마지막으로 출력(Output)은 분석 결과를 하고 있으며 결과의 정확도가 높으면 해당 학습 모델을 사용하여 분석과 예측에 적극적으로 사용할 수 있다. 아래 그림과 같이 이전 계층의 모든 노드가 다음 계층의 모든 노드와 완벽히 연결된 방식을 Fully Connected 방식이라 부르며, 이 방식은 모든 학습 정보를 빠짐없이 가지고 다음 계층에 전달하여 많은 계산 로드를 발생시킨다.
3. 적용 및 분석
3.1 RCP8.5 기후변화시나리오에 따른 미래 침수심 전망
본 연구에서는 기후변화시나리오의 빈도해석을 위해 앞서 기상청에서 제공하는 국가 기후변화시나리오를 사용하였으며, 통계적 상세화는 기후 모델의 장기추세를 유지하고 편의 보정을 수행할 수 있도록 고안된 SDQDM을 적용하고 13개 시나리오 모형의 MME 결과를 이용하였다. 이렇게 분석된 빈도분석 결과는 Fig. 7의 강우-침수심 커브에 적용시켜 미래 기후변화시나리오에 따른 도심지 침수심을 산정하였다. Fig. 7의 No. 13, No. 23, No. 26의 강우-침수심 커브에 적용시켜 미래 기후변화시나리오에 따른 도심지 침수심을 산정한 결과 아래와 같은 결과를 산출하였다. Table 4와 Fig. 9의 적용결가를 살펴보면, 모든지역에서 미래로 갈수록 침수심이 증가하는 것을 보였으며, 특히 No. 13의 경우 Future 3기간일 때 최대 3 m까지 침수심이 발생할 가능성을 보였다. No. 13 지역은 상습 침수지역으로 Fig. 2를 보면 집중호우 및 태풍 기간에 1미터 이상이 침수가 발생하는 것을 확인할 수 있다. 이렇게 산정된 결과는 앞서 구축한 DNN 모형에 적용하여 기후변화에 따른 미래 차량 속도를 산정하게 된다.
Table 4.
RCP8.5 climate change scenario applied future inundation depth prospect results (Unit: m)
3.2 머신러닝을 이용한 강우량-침수심-차량 속도 곡선 작성
침수심과 차량 운행 속도와의 선행연구자료인 Pregnolato et al. (2017) 자료를 이용하여 침수심-차량속도 곡선 산정하였다(Fig. 10, Table 5). 이 자료는 선행연구 자료의 경우 실제 침수가 되었을 때의 차량 속도를 분석한 것이 아닌 정적인 실험 및 비디오 자료를 통한 결과이다. Fig. 2에서 13번 격자의 피해사진 차량 높이는 1.475 m이다. 13번 격자식에 3시간 누적강우 중 최대치인 70~80 mm를 넣었을 때 1.353~1.623 m가 도출되었다. 이 깊이는 차량이 거의 잠기는 깊이이며 23, 26번의 그리드를 계산하였을 때 각각 0.23~0.245 m, 0.216~0.226 m의 침수심을 도출할 수 있는데 버스 바퀴의 높이(0.49 m)의 절반까지의 침수심으로 실제 피해 사진과 유사한 결과를 볼 수 있었다. 이에 본 연구에서는 Pregnolato et al. (2017)에서 제시한 침수심에 따른 차량 운행속도 선행연구자료를 이용하여 기계학습기법에 적용하여 침수심-차량 속도 관계를 분석하였다.
본 연구에서는 DNN 모형을 이용하여 침수심에 따른 차량 운행 속도를 예측하기 위해 아래와 같은 DNN 모형을 구축하였다. 이때 모형의 과적합을 방지 하기 위해 입력자료를 정규화하고 모형의 구조를 단순화하였다. 본 모형의 학습은 75%의 데이터를 이용하여 학습을 진행하고 25%의 데이터를 이용하여 테스트를 진행하였다. Fig. 11은 모형의 학습 결과이며 총 39회 학습을 반복하였으며, 약 0.01의 오차가 발생하였다. 실제 차량 운행 속도 자료와 예측된 차량 운행 속도 자료를 이용하여 작성된 Q-Q 플롯을 확인한 결과 결정계수가 약 0.99로 높은 정확도를 가지는 것을 확인하였다(Fig. 12). 여기에 앞서 분석된 RCP 8.5 기후변화시나리오 기반의 미래 침수심 전망 결과 자료를 구축한 DNN 모형에 적용하여 미래 차량 운행 속도 변화를 전망하였다. Table 6의 결과를 살펴보면, 앞의 결과와 마찬가지로 미래로 갈수록 침수심이 깊어짐에 따라 차량 속도가 크게 감소하는 것을 확인할 수 있었으며, 23번 지역과 26번 지역은 비슷한 차량 운행속도로 분석되었다. 그러나 Future 3 기간일 때 13번 지역의 경우 차량속도가 크게 감소하는 것을 확인하였다.
Table 5.
Prior research data on vehicle operating speed according to the depth of submersion (Pregnolato et al., 2017)
| Point no | Flood depth (m) | Vehicle speed (km/h) |
| 1 | 0 | 88 |
| 2 | 0.01 | 77 |
| 3 | 0.087 | 40 |
| 4 | 0.116 | 37 |
| 5 | 0.125 | 26 |
| 6 | 0.189 | 24 |
| 7 | 0.200 | 16 |
| 8 | 0.230 | 7 |
| 9 | 0.250 | 3 |
Table 6.
RCP 8.5 Prediction result of vehicle operation speed according to the depth of submersion based on climate change scenario (unit km/hr)
3.3 미래 기후변화가 도시교통장애에 미치는 영향평가
폭우로 인해 도로가 침수될 것으로 예상될 경우 우회 경로를 제시하기 위해 도시교통네트워크 취약성 MAP를 작성하였다. Figs. 13~18은 작성된 미래 도시교통네트워크 취약성 MAP이며, 위험도를 VeryLow, Low, Medium, High 4단계로 감소율 등급을 구분하였다. 여기서 VeryLow는 감소율이 0~25%, Low는 25~50%, Medium은 50~75%, High는 75~100%이다. 차량운행 속도 감소율은 해당 도로의 규정속도인 60 km/h 또는 80 km/h를 기준으로 침수심으로 인해 얼마나 감속이 되는지 비율로 산정하였다. 본 절에서는 2년, 10년, 30년, 50년, 100년, 200년 빈도의 결과를 이용하여 도시교통네트워크 취약성 MAP을 작성하였다.
분석 결과, Current 기간일 때 2년 빈도와 10년 빈도는 교통흐름에 큰 영향을 미치지 않았으며 30년 빈도일 때부터 13번, 19번, 20번 지역에서 50% 이상의 속도 감소율을 보이며, 50년 빈도 이후에는 13번 지역에서 75% 이상의 속도 감소율을 보였다. Future 1 기간에는 30년 빈도부터 13번 지역이 75% 이상의 감소율을 보였으며 200년 빈도에 19번, 20번 지역에서 50% 이상의 속도 감소율을 보였다. Future 2와 3 기간에 13번 지역은 대부분이 75% 이상의 감소율을 보였고, 간헐적으로 25번 지역에서 50% 이상의 속도 감소율을 보였다.
분석 결과늘 종합하여 살펴보면 13번 지역에서 75% 이상의 속도 감소율을 보이는데 이유는 이 지역이 저지대여서 상류의 유출량이 13번 지역에서 합류하기 때문으로 판단할 수 있으며, 이는 Fig. 2의 13번 지역 피해 사진을 보면 차량이 내수침수로 인해 떠다니는 것을 확인할 수 있으며, 이는 당시 1 m에서 2 m 사이의 침수심이 발생한 것으로 해석할 수 있다. 따라서 13번 지역에 대해 돌발홍수 및 태풍 발생 시 침수를 대비한 교통 우회로를 고려할 필요가 있다고 판단된다.
4. 결 론
도시침수로 인한 피해는 도시계획에 있어 가장 중요한 요소 중 하나이며, 그에 따른 피해 중 도시 교통망은 단기간 강우에 매우 취약하다. 게다가 앞으로 예상되는 기후변화는 강우로 인한 침수 빈도를 증가시킬 것이며 경제적 영향 및 안전에 대한 위협이 될 것으로 판단된다. 기존의 도로 평가 방식은 완전 침수로 인해 차단된 것으로 간주하여 제대로 된 연구가 이루어지지 않았고, 이에 본 연구에서는 영향예보 관점에서 차량 속도 감소율을 등급별로 구분하여 도심지 침수로 인한 교통장에 평가하였다. 본 연구의 결과를 요약하면 다음과 같다.
1) 강우량-침수심 곡선과 선행연구자료인 침수심-차량 속도 자료를 이용해 강우량-침수심-차량 속도 관계를 산정하였으며, 도출된 결과와 국내 선행논문 자료와 비교분석을 시행하였으며 실제 피해가 발생하였던 서울시 2011년 7월 27일 강우 사상에 대하여 검증하였다.
2) 본 연구 방법을 이용하여 실제 사례와 검증 결과 분석 결과가 대부분 일치하는 것으로 나타났다. 분석 결과를 이용하여 교통장애지도 작성 결과 실제 통행 제한을 시행하였던 오전 6시~10시 시간에 운행이 거의 불가능 한 것으로 분석되었다. 침수심과 차량 운행 속도와의 관계에 대한 선행연구자료는 실제 침수가 되었을 때의 차량 속도를 통계 낸 것이 아닌 정적인 실험으로 자료를 도출한 것으로 한계가 있으며, 마지막으로 Rainfall-Depth Curve는 현재 단순 선형회귀식이나 지수, 로그 식으로 산정하였으나 이는 강우량이 커질 때 침수심이 발산해버린다는 단점이 있어 본 연구에서는 머신러닝기법인 DNN 모형을 사용하여 곡선식을 고도화하였다. 머신러닝을 통해 산정된 강우량-침수심-차량 운행속도 관계식의 신뢰도는 높게 분석되었으며, 미래 기후변화시나리오 자료를 적용하여 미래 도로 침수에 따른 차량 속도를 전망한 결과 상습 침수 구역에서 차량 속도 감소율이 가능 높은 것을 확인하였다.
3) 교통장애지도에서 속도 감소율을 4단계로 구분하여 영향평가를 하였으며, 선행 연구과 비교분석을 한 결과 선행연구에서는 각 격자의 수문학적 인자를 반영하지 못하였지만 본 연구에서 제시한 방법은 격자별 수문학적 분석을 수행하여 시간대별, 격자별 통행 정보를 단계별로 확인할 수 있어 강우가 예보되었을 때 운전자에게 실시간 우회도로, 교통상황에 대한 정보를 제공할 수 있을 것으로 판단된다. 침수가 되지 않았으나 침수로 표출된 격자들이 존재하였는데 이는 관망의 고려 유무, 운전자의 운전패턴 등 다양한 원인이 있을 것으로 판단되며 향후 관망 고려가 가능한 모델과의 비교를 통한 한계점 개선이 필요하다.
본 논문의 결과는 도시하천의 범람 및 도시침수를 실시간으로 모의하고 도로 침수정보와 안전한 우회도로 정보를 제공함으로써 시민에게 신속하고 정확한 재난안전정보의 제공이 가능할 것으로 판단된다. 전국적으로 수천만 대의 자동차가 운행되고 전 세계적으로 교통량이 계속하여 증가한다는 점을 고려할 때 이 기술 개발을 통한 내수 및 해외 사업 진출이 매우 높을 것이며 기후변화가 도시교통흐름에 미치는 영향을 전망하여 도시 도로 계획의 취약성을 평가한 후 대안을 수립하는 정보를 제공할 수 있을 것이다. 또한 향후 연구로 실제 침수피해지역의 평상시 차량속도와 강우발생에 따른 차량속도 변화량에 대한 정보가 충분히 수집된다면 모형의 정확도 및 신뢰도가 향상 될 것으로 판단되며 분석결과의 공간적 범위가 격자형이 아닌 도로 구간별 교통흐름을 분석할수 있을 것으로 예상된다. 또한 상세한 교통네트워크 분석이 가능하며 이를 통해 도시계획에 활용할 수 있을 것으로 판단된다.




















