1. 서 론
2. 기본 이론
2.1 경험적 모드분해법
2.2 통계적 유의성 검정
3. 연구 방법 및 자료
3.1 연구 방법
3.2 강수 및 기온자료
4. 연구 결과
4.1 강수 및 기온자료의 경험적 모드분해법
5. 결 론
1. 서 론
복합적인 요인에 의해 발생하는 강수 및 기온의 분석에 있어서, 원 자료 계열의 변동성과 잡음으로 인해 그 자체가 가지고 있는 정확한 특성을 파악하는 것이 쉽지 않다. 특히 강우나 기온의 예측을 통해 일기예보를 수행할 경우 변동이 심하고 잡음을 포함한 다양한 요소를 포함하고 있는 특성으로 인해 정확한 예측이 불가능하다. 이러한 강우 및 기온의 예측뿐만 아니라 변동 특성 등의 정확한 분석을 위해서는 원 자료 계열에 대한 분해 또는 단순화 과정이 필요하다. 이러한 단순화 또는 분해를 위한 연구는 꾸준히 지속되고 있는데, 관련 연구들을 살펴보면, Weare et al. (1976)은 태평양 55°N–20°S 지역의 해수면온도 자료에 대해 EOF (Empirical Orthogonal Function) 분석을 수행하여 해수면 온도가 가지고 있는 계절적/비계절적 변동성을 분석하고, 그 특성이 엘니뇨와 관련이 있음을 밝혀내었다. Barnston and Livezey (1987)는 700 mb 지오포텐셜 고도에 대한 orthogonal Rotated Principle Component Analysis (RPCA)분석을 통해 대류권에서의 대규모 대기 순환에 대해 좀 더 정확한 기상 예측 가능성을 제시하였다. Reynold and Smith (1994)는 Optimum Interpolation (OI)방법을 이용하여 전 세계 해수면 온도의 경향성과 변동성을 분석하여 엘니뇨 등과 같은 기후변동과의 관련성을 살펴보았다.
본 연구에서는 강수 및 기온자료의 분석에 있어서 경험적 모드분해법(Empirical Mode Decomposition, EMD)을 통하여 여러 복잡한 요소를 가지고 있는 기상자료를 분해하였다. 경험적 모드분해법은 Huang et al. (1998)이 효과적인 신호처리를 위해 고안한 방법으로, 하나의 신호가 여러 가지 신호의 혼합으로 이루어졌다는 가정 하에 이러한 신호를 각각의 내재모드함수(Intrinsic Mode Function, IMF)로 분해하여 각각의 요소를 추출하는 방법이다. 경험적 모드분해와 관련된 연구로, Huang et al. (2003)은 요소별로 분해한 각 내재모드함수가 통계적으로 유의한지를 구분하기 위해 백색잡음의 특성에 의거하여 에너지밀도(energy density) 확산함수를 유도하여 각 내재모드함수의 통계적 유의성을 구분하는 방법을 제시하였다. Mollar et al. (2005)은 추출된 내재모드함수들이 정규분포를 따르며 에너지 밀도의 분포는
분포를 따름을 밝히고 이를 통해 인도 지역 강수량의 정상성을 판단하여 온난화에 따른 추세와 더불어 홍수와 가뭄의 지속성에 대해 분석하였다. Franzke (2009)는 NAO (North Atlantic Oscillation), NP (North Pacific pattern), SAM (southern angular mode)의 기상인자에 대한 EMD 분석 후에 신뢰구간을 분석하여 잡음을 분리하는 연구를 수행하였다. 그 결과 1-10년 주기로 추출된 IMF는 유의한 자료로 NP에서는 비선형적인 경향성이 나타나며, NAO에서는 경향성이 나타나지 않는 것을 밝혀냈다. Franzke and Wollings (2010)는 북대서양에서의 제트기류 흐름에 대한 EMD 분석을 수행하고, 잡음을 분석하여 여름/겨울철 기후 예측에 필요한 IMF 자료를 추출하였다. Lee and Ouarda (2011)는 GSTA (global surface temperature anomalies)의 EMD 분석을 통해 강수 등의 비정상성 기후예측 모델을 제시하였으며, Lee and Ouarda (2012)는 EMD와 비매개변수적 모의 기법을 활용한 모형을 통해 북대서양 진동지수(North Atlantic Oscillation index) 자료에 대한 모형의 적용성을 확인하였다. Sang et al. (2014)는 실제 경향성을 보이는 강우와 유입량 자료에 적용하여 Mann-Kendall 방법과 EMD 방법의 경향성 분석 성능을 비교하였다.
본 연구에서는 경험적 모드분해를 통해 분해한 우리나라 강수 및 기온자료에 대한 에너지 밀도를 구해 추출된 각 내재모드함수 들의 통계적 유의성을 검증하여 원 자료의 의미를 온전히 가지고 있는 유의미한 요소를 분류하고, 이들의 주기성, 경향성을 분석하였다.
2. 기본 이론
2.1 경험적 모드분해법
본 연구에서 이용한 경험적 모드분해법은 Huang et al. (1998)에 의해 제안된 분해 분석 기법 중의 하나로 신호를 국소적인 주파수의 정도에 따라 내재모드함수라는 함수로 분해하는 방법이다. 경험적 모드분해법은 경험적 알고리즘에 기초한 계산방법으로 신호에 내재되어있는 파동자료를 자료 적응적(data adaptive)으로 용이하게 추출이 가능하여 비정상성을 가지는 신호에도 적용 가능한 장점이 있다. 경험적 모드분해법은 다음과 같은 절차로 분석이 진행된다.
1) 주어진 시계열 자료 계열의 국소 최대값(local maxima) 및 국소 최소값(local minima)을 식별한다.
2) 보간법을 이용하여 국소 최대값을 연결하여 상위선(upper envelope)을 추정하고, 같은 방법으로 국소 최소값의 자료들을 연결하여 하위선(lower envelope)을 추정한다.
3) 2)에서 구한 상위선과 하위선을 평균하여 평균선(mean envelope)을 계산한다.
4) 3)에서 구한 평균선을 원 자료에서 공제하여 새로운 시계열을 추출한다. 이렇게 추출된 새로운 시계 열은 내재모드함수
로 정의한다.
5) 추출된
를 제거한 시계열 자료를 새로운 원 자료로 재설정하고, 재설정한 시계열이 단조함수로 표현되거나 하나의 극값만 존재하여 더 이상 새로운 계열이 추출되지 않을 때까지 2)-5)의 과정을 반복하며, 반복 수행할 때마다 나오는 내재모드함수를
(
)으로 정의한다.
이렇게 추출된 모든
와 잔여요소(residual)
의 합은 처음 분해를 수행한 원 자료 계열과 일치하며, Eq. (1)과 같이 표현된다.
(1)
여기서
는 원 자료계열이며,
은 분해된 내재모드함수의 총 개수를 의미한다.
경험적 모드분해법을 통하여 분해된 내재모드함수는 각각 다른 주파수로 분해되어 계열의 주기적 특성을 반영한 1차 정상성 계열로 나타나며, 어느 위치에서든지 국소적 최대값과 최소값으로 정의된 선(envelope)의 평균은 0을 만족하게 된다. 따라서 1차 정상성 계열로 나타나는 내재모드함수를 공제한 잔여요소는 원 자료의 주기적인 특성이 제거되어 자료계열의 경향성을 의미한다고 판단할 수 있다 (Balocchi et al., 2004; Huang et al., 1998).
2.2 통계적 유의성 검정
앞 절에서 추출한 내재모드함수가 원 자료 계열 안에서 의미가 있는 자료인지를 판단하기 위해 각 내재모드함수의 에너지 밀도를 구한 후 주어진 유의수준에 따른 신뢰한계의 범위에 포함되는지 유무에 따라 해당 내재모드함수가 원 자료 계열에 대해 통계적으로 유의한지를 판별한다. 에너지 밀도는 Eq. (2)와 같이 내재모드함수 계열 값의 제곱의 평균으로 구할 수 있다.
(2)
여기서
는
의
번째 항을 의미한다(
). 유의수준에 따른 신뢰한계는 Eq. (3)과 같이 계산 된다.
(3)
여기서
이고
는
의 평균 주기(average period)를 뜻하며,
값은 표준정규분포로부터 나온 상수로 유의수준이 95%일 경우 0.656값을 갖는다. Eq. (2)에서 구한 에너지 밀도가 계산된 신뢰한계 밖에 위치하게 되면 이는 해당 내재모드함수가 통계적으로 유의하다고 판단할 수 있으며 이는 원 자료계열의 의미를 포함하고 있는 계열임을 의미한다(Feng et al., 2013). 이와 같은 에너지 밀도를 이용한 유의성 검정은 자료의 무작위성에 대해서 고려되는 특성이 있으며, 자기상관에 대한 부분은 교려하지 못하는 부분에서 한계를 가진다.
3. 연구 방법 및 자료
3.1 연구 방법
본 연구에서는 경험적 모드분해법을 이용하여 우리나라 강수 및 기온자료의 분해를 수행하였다. 분해를 통해 내재모드함수를 주기별로 추출하여 추출된 각 내재모드함수의 주기적 특성과 모든 자료를 공제한 잔여요소의 경향성을 분석하였다. 또한, 추출된 내재모드함수의 에너지 밀도를 이용한 신뢰도 검증을 통해 원 자료로부터 유의미한 특성을 갖는 내재모드함수를 선별하고, 선별된 각 내재모드함수들의 특성을 주기성, 경향성 측면에서 분석하였다.
3.2 강수 및 기온자료
기상인자와의 상관관계 분석을 위해 충분한 자료 기간을 가지는 강수 및 기온자료를 선택해야 한다. 따라서 본 연구에서는 우리나라 기상청 지점 중 50년 이상의 자료 기간을 가지고 있는 14개 지점의 자료를 사용하였다(Fig. 1). 해당 지점은 모두 1960년부터의 2014년까지 55년의 관측 자료기간을 가지며 강수자료는 월강수총량 자료를 사용하였고, 기온자료는 월평균기온 자료를 사용하였다. Table 1은 사용한 관측지점의 위·경도, 고도를 나타낸 표이다.
4. 연구 결과
4.1 강수 및 기온자료의 경험적 모드분해법
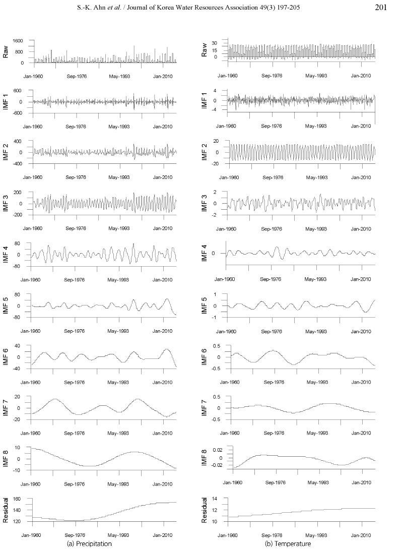
경험적 모드분해법을 통해 분해되어 추출되는 각각의 내재모드함수는 특정한 주기를 갖게 되는데, 이를 통해 강수 및 기온 자료의 변동 특성에 대한 분석이 가능하며, 추출된 내재모드함수를 모두 공제한 뒤 생성되는 잔여요소는 원 자료의 경향성이 나타나 강수 및 기온자료의 변화 특성에 대한 분석이 가능하다. 원 자료로부터 추출되는 내재모드함수의 개수는 자료기간에 따라 달라지는데 각 지점의 강수 및 기온자료의 관측 기간은 660개월(55년*12개월)로 모두 동일하며 8개의 내재모드함수와 경향성을 대표하는 나머지 1개의 잔여요소로 추출된다. 다음의 Fig. 2는 경험적 모드분해를 통해 분해된 서울지점의 월강수총량(Fig. 2(a))과 월평균기온(Fig. 2(b))의 내재모드함수와 잔여요소를 나타낸다.
원 자료로부터 추출되는 내재모드함수는 주기별로 분해되는데 Fig. 2에서 확인할 수 있듯이 분해가 진행될수록 주기는 점점 길어지게 되며, 각 지점별 강수 및 기온 자료에 대한 내제모드함수의 평균주기를 나타낸 Table 2을 통해 이를 확인할 수 있다.
추출된 내재모드함수의 통계적 유의성을 판단하기 위해 각 내재모드함수에서의 에너지 밀도를 구하고, 이 에너지 밀도의 분포가 신뢰구간 밖에 위치하는지 여부를 통해 유의한 자료인지를 판별해야 한다. Fig. 3은 기상청 14개 지점의 강수
의 에너지 밀도와 신뢰한계를 도시한 그래프이고, Fig. 4는 기상청 14개 지점의 기온
의 에너지 밀도와 신뢰한계를 도시한 그래프이다.
Figs. 3 and 4에서 나타낸 각 점은 내재모드함수의 에너지 밀도를 의미하며, 점선은 유의수준 95%에 해당하는 신뢰구간을 의미한다. 이러한 에너지밀도의 통계적 유의성은 추출된 내재모드함수의 에너지밀도가 신뢰구간의 바깥에 위치하게 되면 해당하는 내재밀도 함수는 잡음이라 판단하여 주어진 원 자료에 유의한 영향은 미치지 않는다고 판별한다. 평균주기가 짧은 왼쪽 점부터
,
를 의미하며 가장 오른쪽에 도시된 점은 잔여요소(
)를 의미한다. 그래프에서
은 신뢰구간 위에 위치하며 잡음으로 분류되고 신뢰구간 안에 위치한 점에 해당하는 내재모드함수는 잡음으로 분류된다. 그림을 살펴보면, 강수자료의 경우 울릉도, 부산, 제주 지점을 제외한 모든 지점에서
,
,
이 유의한 자료로 판별되었고, 울릉도 지점의
,
,
이, 부산 지점과 제주 지점의 경우
,
,
,
이 유의한 자료로 판별되었다. 기온자료의 내재모드함수의 경우, 모든 지점에서
,
,
이 유의한 자료로 판별되었다.
5. 결 론
강수 및 기온자료를 분석함에 있어서 강수 및 기온자료를 원 자료 그대로 분석을 수행할 경우 그 변동 폭이 심하고 다양한 요소를 포함하고 있어 실제로 명확한 특성을 찾아내기가 어렵다. 따라서 자료가 가지고 있는 특성을 명확하게 파악하기 위해서는 원 자료계열을 단순화 하거나 분해하여 여러 요소로 추출하는 방법을 사용할 필요가 있다. 본 연구에서는 기상청 14개 지점의 강수 및 기온 자료의 특성을 명확히 분석하기 위해 경험적 모드분해법을 이용한 주기별 내재모드함수를 추출하였다. 이를 분석한 결과 주기성과 경향성의 두 가지 측면에서 다음과 같은 결론을 얻을 수 있었다.
1. 신뢰도 검증을 통해 선별된 내재모드함수 중에서
는 울릉도의 기온자료를 제외한 전 지점의 강수 및 기온 자료에서 유의한 자료로 판별되었으며,
는 강수 및 기온자료 모두 14개 지점에서 유의한 자료로 판별되었다.강수자료의 경우
는 6개월의 평균주기를,
는 11-12개월의 평균 주기를 보여 우리나라의 강수의 경우 6개월 혹은 12개월 단위의 변동 특성이 매주 중요한 의미를 가지고 있다고 판단할 수 있다.
2. 기온의 경우
는 11개월의 평균주기를,
는 13-14개월의 평균 주기를 보여 11-14개월의 기온 변동 특성이 매우 중요한 의미를 가지고 있음을 나타낸다.
3. 원 자료에서 모든 내재모드함수를 공제한 잔여요소도 모든 지점의 강수 및 기온자료에서 유의하다고 판별 되었는데, 이는 우리나라 강수와 기온의 변화는 일정한 추세로 변화하고 있음을 나타내며, 이는 최근 기후변화로 인해 나타나는 기온상승과 해수면 온도의 상승이 우리나라 기후변동과도 밀접한 관련이 있는 것으로 판단된다.
이러한 결과를 통해 강수 및 기온을 예측함에 있어서 경험적 모드분해를 통해 얻은 주기적인 측면, 경향적인 측면을 이용한 예측으로 좀 더 정확한 예측이 이루어 질 수 있다. 따라서 본 연구에서 추출한 강우 및 기온의 내재모드함수와 다양한 기상인자와의 상관관계 분석 등에 활용할 수 있을 것으로 판단된다.















