1. 서 론
최근 급격한 기후변화로 인한 집중호우의 발생 빈도 증가와 도시화, 산업화로 인한 불투수면적의 증가로 인해 하천 주변 홍수피해의 위험성이 높아지고 있다. 홍수피해의 증가는 전 세계적인 문제로 부각되고 있으며 다양한 홍수피해 저감 방안에 대한 연구가 활발하게 진행 중이다. 과거에는 홍수피해 저감을 위해 제방을 직선화해 홍수량을 빠르게 유출시키는데 목적을 두었으나, 이는 하천을 활용한 홍수방어능력에서 한계점을 가지고 있다. 국내의 경우, 이를 보완하기 위해 유역종합치수계획(comprehensive flood management plan in basin)을 통해 평수 시에는 공원, 산책로 등 다목적 친수공간으로 활용 가능하고, 홍수 시에는 홍수량 분담으로 하천의 부담을 줄여 홍수피해를 저감할 수 있는 홍수조절지(detention reservoir)를 도입하였다. 홍수조절지란 하천 제내지 측에 위치한 홍수터와 농경지에 제방을 축조하고 제방 일부에 횡월류위어를 설치해 저류공간을 조성한 후, 계획홍수 초과 시 초기 홍수량을 일시 저류함으로써 홍수피해를 저감시키는 수공구조물이다. 하천 본류에 접해 초기 홍수량 분담 효과가 확실하고 과거 홍수터를 활용할 수 있어 다른 수공구조물에 비해 공간 활용성이 높다. 그러나 기존 저지대를 활용하는 저류 방식으로 인해 저류 수심을 크게 할 수 없어 대규모 용량 확보가 쉽지 않고, 다른 수공구조물에 비해 상대적으로 많은 면적이 필요해 토지 이용 측면에서 비경제적인 단점이 있다. 대표적인 국내 적용 대상지로는 전라남도 화순군 영산강 지석천 상류 지점에 위치한 화순 홍수조절지와 영산강 제 1지류인 용천에 위치한 담양 홍수조절지가 있다.
홍수조절지의 특성을 이용한 홍수 저감 효과 분석과 최적 위치 결정, 횡월류위어에 관한 유량계수 제안 등 다양한 연구가 진행 중이다. Yeh and Labadie (1997)는 수문학적 방법을 이용해 저류지와 같은 수공구조물의 홍수 저감 효과를 산정하였으며, Burgin and Holley (2002)는 수리실험을 이용해 Davis and Holley (1988)에 의해 개발된 횡월류량 계산 모형인 SIDEHYDR을 저류지에 적용할 수 있도록 보완해 홍수 조절 효과 분석 기법으로 제시하였다. Kang et al. (2007)은 홍수 범람 해석 모형을 이용해 가상 범람 해석을 수행하고 가상 피해 범위와 홍수조절지에 의한 피해 감소 효과를 검토하였으며, Ahn et al. (2008)은 홍수조절지의 최적 위치를 결정하고자 수문학적 접근 방법을 통해 홍수 조절 효과의 산정 방안을 제시하였다. Baek et al. (2009)은 횡월류위어의 높이를 주요 변수로 추가해 최적 위치와 최적 월류 높이를 함께 분석하였으며, Jun et al. (2010)는 홍수조절지에 의한 홍수 조절 효과를 산정하기 위해 폐합형 수계에 관한 준 2차원 계산 모형을 수립하고 적용하는 연구를 수행하였다. 또한, Forster et al. (2005)는 토지 이용에 대한 경제적 가치를 고려한 수위 별 피해액 등, 비용-편익 분석을 이용한 홍수조절지의 경제성 평가를 수행하였으며, Ahn et al. (2010)은 홍수조절지의 설치 비용과 토지 매입 비용, 습지 가치, 홍수 저감 효과 등을 고려한 경제성 분석을 추가로 고려해 홍수조절지의 최적 위치 선정 방안을 제시하였다. Kim et al. (2011)은 수리실험을 이용해 횡월류위어의 높이와 홍수조절지의 면적 등을 고려한 부정류 흐름을 재현하고 홍수 저감 효과를 검토하였으며, Kim et al. (2012)은 부정류 수리실험을 이용한 강변저류지의 홍수 조절 효과를 측정해 횡월류 흐름이 발생하는 경우 HEC-RAS 모형의 모의 결과와 비교하였다. Cho et al. (2014)은 홍수조절지를 대상으로 1차원 및 2차원 수치해석을 수행해 하천에서의 강변저류지에 의한 홍수위 저감 효과를 분석하였으며, Kim et al. (2014)은 HEC-RAS 모형을 이용해 횡월류위어의 높이와 길이에 따른 홍수 조절 효과를 산정하였다. Rhee et al. (2014)은 수치모형을 이용해 홍수조절지의 홍수 저감 효과와 횡월류위어의 유량계수 범위를 분석하고 적합한 유량계수의 범위를 제안하였으며, Kim et al. (2015)은 정량적인 홍수 조절 효과 산정을 목적으로 불확실성을 줄이고자 HEC-RAS 부정류 수치모형을 이용해 횡월류위어의 길이 변화가 홍수 조절 효과에 미치는 영향을 검토하였다.
홍수조절지는 활용 공간이 크고 시공 후에는 설계 변경이 제한적이기 때문에 시설의 경제성을 고려하고 효과를 극대화하기 위해 홍수조절지의 설계인자 뿐 아니라 최적 위치 선정을 통한 적절한 배치가 매우 중요하다. 또한, 국내 도입된 홍수조절지의 경우 하류의 수문을 연계 구조물로 활용해 하류부 수위 조절을 함께 담당하고 있다. 홍수조절지의 홍수 조절 효과와 최적 위치 검토를 위해 수행된 기존의 연구들은 홍수조절지 단일 운영에 대한 영향만을 고려하였다. 실제 홍수조절지는 수문 등 다른 하천시설물과 연계되어 운영되기 때문에 정확한 성능 검토를 위해서는 시설물의 공조운영에 대한 고려가 필요하다. 본 연구에서는 홍수 시 수문 운영으로 하류 수위가 조절된다는 가정 하에, 홍수조절지로 인해 상류에서 발생되는 홍수 저감 효과를 수리실험을 이용해 검토하였다. 수문 시설의 영향을 고려하고자 홍수조절지의 횡월류위어 하류에 수문 모형을 설치하였으며, 횡월류위어 위치 변화에 따른 수위 저감 효과와 유량 분담 효과를 분석하고 횡월류위어의 위치에 따른 수위 저감율에 대한 경험식을 산정하였다. 수리실험 중 수문 조건은 개방고 9 cm로 고정하였으며, 수문의 다양한 운영 조건 변화에 따른 홍수조절지의 성능 변화는 본 연구에서는 다루지 않았다.
2. 이론적 배경
횡월류위어에서의 횡월류 흐름에 대한 공간변화류 방정식은 Eq. (1)과 같다.
(1)
여기서, y는 본류의 수심(m)이며, x는 횡월류위어 상류단으로부터의 종방향 거리(m), S0는 본류의 바닥경사, Sf는 에너지경사, Q는 본류의 유량(m3/s), A는 본류의 단면적(m2), B는 본류의 폭(m), g는 중력가속도(m/s2)이다. 일반적으로 수로에 설치된 횡월류위어의 길이는 길지 않기 때문에 S0-Sf = 0으로 가정할 수 있다. 즉, 비에너지 E가 횡월류위어 전 구간에 대해 일정하다고 가정할 수 있다. De Marchi (1934)는 횡월류부 길이 방향에 대해 변하지 않는 일정한 크기의 유량계수 CM을 가정하고 본류를 1차원 직사각형 수로로 가정해, 단위길이 당 월류량인 qw (m2/s)를 Eq. (2)와 같이 정의하였다. 따라서 횡월류위어의 총 월류량 Qw (m3/s)는 Eq. (3)과 같다.
(2)
(3)
여기서, Q1은 상류단 유량(m3/s), Q2는 하류단 유량(m3/s), CM은 유량계수, L은 횡월류위어의 길이(m), h는 위어의 높이(m)이다. 비에너지 공식으로부터 횡월류 구간에서 본류의 모든 단면에 대해 본류 유량 Q는 Eq. (4)와 같다.
(4)
Eqs. (2) and (3)을 Eq. (1)에 대입해 정리하면 Eq. (5)와 같다(Henderson, 1966; Subramanya and Awasthy, 1972).
(5a)
(5b)
여기서, Φ는 De Marchi가 제안한 변화류 함수(varied flow function)로 Eq. (6)과 같으며, 길이가 L인 횡월류위어의 유량계수 CM은 Eq. (7)과 같다.
(6)
(7)
De Marchi 이후 제시된 대부분의 횡월류위어 유량계수 산정식들은 이러한 De Marchi의 이론적 접근과 가정에 기초하고 있으나, 일부 연구자들은 실험을 통해 De Marchi의 해석 해가 Fr
0.5가 되면 더 이상 실제 현상에 부합하지 않는다고 주장하기도 하였다(Hager and Volkart, 1986). 본 연구에서는 횡월류위어의 유량 분담량 측정 결과를 검증하기 위해 유량계수 산정식의 가장 기본이 될 수 있는 De Marchi의 횡월류위어 유량계수 제안식을 이용해 유량을 계산하고 실험에서 측정된 유량과 비교하였다.
3. 횡월류위어의 최적 위치 검토
3.1 수리실험 조건
본 연구에서는 홍수조절지의 성능 향상을 위한 횡월류위어의 위치를 결정하기 위해 모형수로를 제작하였다(Fig. 1). 수로의 길이는 10.0 m, 측벽의 높이는 0.5 m, 수로경사는 0.35%이며 하류단에 테일게이트(tail gate)를 제작해 수위를 조절할 수 있도록 하였다. 또한 횡월류위어의 위치를 조절할 수 있도록 수로 측벽을 폭 0.1 m, 높이 0.5 m의 유리판을 사용해 탈부착이 가능하도록 제작하였으며, 횡월류위어의 높이는 0.18 m로 제작하였다. 하류단으로부터 2 m 상류 지점에 2문의 방사형 수문을 제작해 설치하였으며, 수위 측정 구역은 수문으로부터 상류 3 m 구간으로 설정하였다. 수로 내 횡월류위어의 위치 변화에 따른 수위 변화를 측정하기 위해 용량식 파고계를 설치해 수문으로부터 0.1 m 간격으로 총 30지점의 수위를 측정하였다. 횡월류위어의 위치 변화에 따른 분담 유량을 함께 측정하였으며, 수위 저감 효과와 유량 분담 효과를 분석하고 최적 효율을 나타내는 횡월류위어의 위치 조건을 검토하였다. 수로 내 설치되어 있는 수문 개방고를 일정 높이로 고정함으로써, 수위 변화 관측 대상 구역에서 횡월류위어의 위치 변화에 대한 영향만을 관측할 수 있도록 하였다. 분담 유량의 경우, 유량 측정의 편의를 위해 물받이 수조를 추가로 제작하고 횡월류위어로부터 분담되는 유량을 받아 물받이 수조의 사각위어로 유출되는 유량을 측정하였다(Fig. 2).
수문 시설의 영향을 고려한 횡월류위어의 최적 위치 검토를 위해 Table 1과 같이 3가지 유입유량 조건과 6가지 위치 조건에 따른 수위 저감 효과를 검토하였다. Froude 수는 수문 상류 방향 6 m 지점을 기준으로 계산하였다. 수문 시설의 영향을 고려하고자 횡월류위어 하류에 2문의 방사형 수문을 설치하고 수문 개방고를 9 cm로 고정하였다. 횡월류위어는 총 2개소까지 운영해 수위 변화를 측정하였으며, 1개소 운영 시에는 6가지 위치 조건에 대한 수위 변화를 비교하였다. 홍수조절지가 2개인 경우를 가정해, 횡월류위어 1개소 운영결과를 바탕으로 선정한 3가지 위치조건에 대해 2번째 횡월류위어의 위치를 변화시키며 수위 변화를 측정하였다. 횡월류위어 1개소를 운영할 때 수심 변화가 크게 나타나지 않고 유사하게 확인된 세 가지 위치 조건(0.75 m, 1.15 m, 1.55 m)을 2개소 횡월류위어 운영 시 위치 조건으로 선정하였으며, 양안 횡월류위어의 위치 변화로 수심 변동량이 발생하는지 확인하였다.
3.2 수리실험 결과
3.2.1 횡월류위어 위치에 따른 수위변화
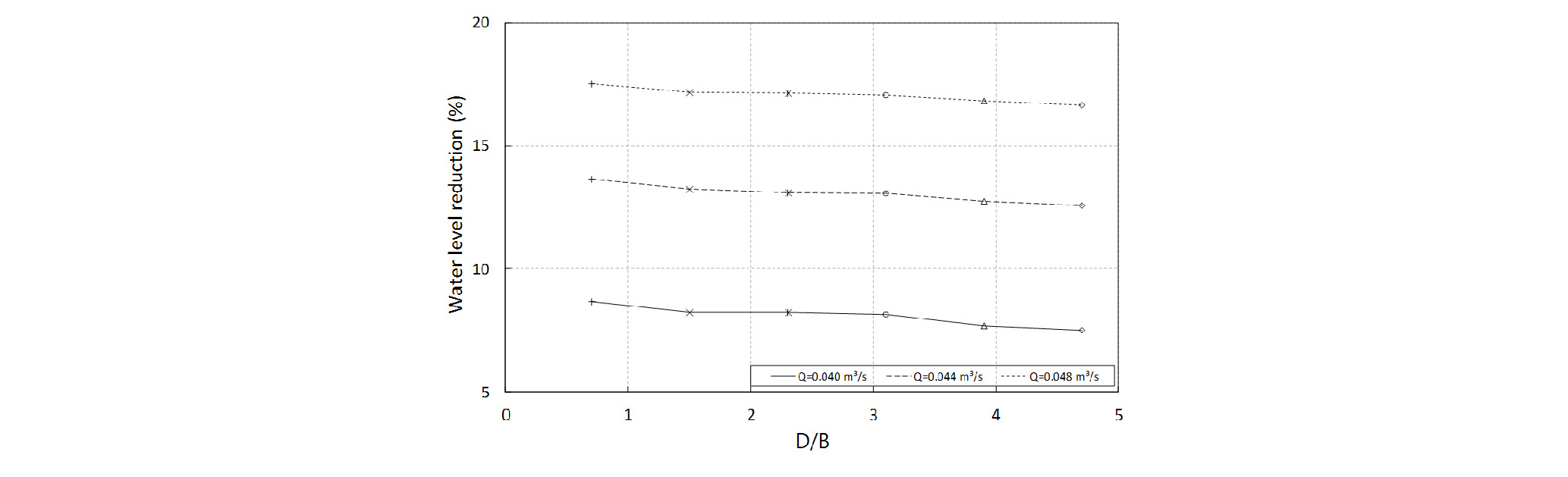
홍수발생 시 제방 월류로 인한 피해를 저감시키기 위해 홍수조절지의 설치에 따른 본류 내 수위 저감 효과를 검토할 필요가 있다. 본 연구에서는 홍수조절지의 수위 저감 효과를 분석하기 위해 횡월류위어를 1개소 설치했을 때 위치 변화에 따른 본류 내 수위 변화를 비교하였다. 횡월류위어의 운영 위치는 수문으로부터 0.35 m 상류지점을 기준으로 0.4 m씩 이동하였으며, 총 6개 지점에 대해 수위 변화를 측정하였다. 수문 상류부에서 측정한 수위 변화를 비교해 횡월류위어의 위치 변화에 따른 홍수조절능력을 검토하였다. Fig. 3은 횡월류위어의 위치 변화에 따른 수위 측정값을 비교한 결과이다. Fig. 3의 결과로부터 횡월류위어 설치에 따른 수위 감소 효과를 확인할 수 있으며, 유입유량이 증가함에 따라 수위가 큰 폭으로 감소하는 것으로 나타났다. 횡월류위어의 위치에 따른 수위 감소 효과를 비교한 결과, 횡월류위어가 하류 수문에 가장 가까이 있을 때(이격거리 0.35 m) 수위 저감 효과가 가장 큰 것으로 확인되었으며, 수문으로부터 멀어질수록 수위 저감 효과가 감소하는 것으로 나타났다. 수위 저감 효과의 정량적 분석을 위해 횡월류위어에서 하류수문까지의 이격거리에 따른 수위 저감률을 Fig. 4에 비교하였다. 유입유량이 0.040 m3/s인 경우 수위저감률이 7.5~8.7%으로 나타났고, 0.048 m3/s으로 증가함에 따라 수위저감률이 16.6~17.5%로 상승하는 것으로 나타났다. 이격거리의 변화에 따른 수위저감률을 비교한 결과, 모든 유입유량 조건에 대해 이격거리가 증가함에 따라 수위저감률이 감소하는 것으로 나타났다. 이격거리가 1.95 m 이상으로 증가할 경우, 수위 저감 효과가 현저하게 감소되는 것을 확인할 수 있다.
횡월류위어 1개소 운영 결과, 횡월류위어가 수문으로부터 가장 가까울 때(이격거리 0.35 m) 수위 저감 효과가 가장 크게 나타났으며, 이격거리 1.95 m 이후에는 수위 저감 효과가 현저하게 감소하는 것을 확인하였다. 홍수조절을 위해 2개소의 횡월류위어를 운영하는 상황을 가정해 좌안과 우안의 횡월류위어 위치 변화에 따른 수로 내 수위 저감 효과를 분석하였다. 횡월류위어 2개소 운영 시의 실험 조건은 횡월류위어 1개소를 운영할 때 수심 저감 효과가 크게 나타나지 않았던 이격거리 0.75 m와 1.15 m, 1.55 m, 세 가지 조건을 선정해 Table 1과 같이 좌안 횡월류위어의 이격거리를 1.15 m로 고정하고 우안의 횡월류위어의 이격거리를 수문 상류방향으로 0.75 m, 1.15 m, 1.55 m로 변화시키며 수위 변화에 변동성이 발생하는지 확인하였다. Fig. 5는 우안에 추가적으로 설치한 횡월류위어의 위치 변화에 따른 수위 변화를 비교한 그래프이다. 그 결과, 횡월류위어를 1개소 운영할 때보다 수위가 감소되었으나, 우안 횡월류위어의 위치 변화에 따른 수위 저감 효과는 크지 않은 것으로 나타났다. Fig. 6은 우안 횡월류위어의 위치 변화에 따른 수위저감률을 비교한 그래프이다. 우안 횡월류위어의 위치가 상류로 이동함에 따라 수위저감률이 점차 감소하였으나, 위치에 따른 차이가 크지 않은 것으로 나타났다. 따라서 2개소의 횡월류위어 운영 시, 횡월류위어의 위치 변화에 따른 수위 저감 효과의 변동은 크지 않지만 1개소의 횡월류위어를 운영할 때 보다 유입유량을 분담할 수 있는 저류공간이 늘어남에 따라 전체적인 수로 내 수위는 더욱 크게 감소한 것을 알 수 있다.
3.2.2 횡월류위어의 유량 분담 효과
홍수조절지의 성능 검증을 위해 횡월류위어로 유출되는 유량을 계산할 필요가 있다. 횡월류위어 1개소 운영 시 위어의 위치 변화에 따른 유량 분담 효과를 비교하고 효율적인 유량 배제를 위한 횡월류위어의 최적 위치를 결정하였다. 휭월류위어로 분담되는 유량을 측정하기 위해 추가적인 물받이 수조를 제작하고 사각위어를 설치해 횡월류위어에서 유입되는 유량을 받아 분담 유량을 측정하였다. 사각위어의 유량공식은 Eq. (8)의 Francis 유량산정 공식을 이용해 분담 유량을 계산하였다.
(8)
여기서, Qw는 분담 유량(m3/s), b는 사각위어의 폭(m), n은 단수축 수(양단수축은 2, 일단수축은 1, 수축이 없으면 0), hs는 사각위어의 월류고(m)이다.
측정된 유량을 검증하기 위해 이론식으로부터 도출된 Eq. (3)의 유량 계산 결과와 비교하였다. Eq. (3)을 이용한 유량 계산을 위해 위어 주변의 수위 변화와 유량계수를 결정할 필요가 있다. 따라서 Fig. 7와 같이 횡월류위어의 위치 변화에 따른 수위 측정 결과와 Eq. (7)의 De Marchi 유량계수 공식을 이용해 유출량을 계산하였다. Table 2는 유입유량 0.044 m3/s 조건에서 횡월류위어의 이격거리 변화에 따른 횡월류위어의 유출량 계산 결과를 비교한 표이다. 물받이 수조의 사각위어의 유량공식을 이용해 계산한 유출량과 Eq. (7)을 이용해 계산한 유출량을 비교한 결과, 0.7~3.3%의 오차로 유출량 계산 결과가 비교적 정확히 계산된 것으로 나타났다.
Fig. 8은 횡월류위어의 위치 변화에 따른 유량 분담률의 변화를 도시한 그래프이다. 그 결과, 유입유량이 증가할수록 횡월류위어를 통한 유량 분담률이 비례해 증가하는 경향을 나타냈다. 횡월류위어 위치에 따른 유량 분담률을 하류 수문에서 가장 가까운 이격거리 0.35 m에서 가장 큰 유량 분담률을 나타내었으나, Table 2의 계산 결과와 같이 횡월류위어 위치 변화에 따른 유량 분담량 변화에는 큰 차이가 없는 것으로 나타났다. 따라서 횡월류위어의 위치 변화로 인한 유량 분담 효과는 크지 않으며 횡월류위어의 위치가 수문으로부터 가까울수록 수문에 의한 배수 효과와 횡월류위어의 유출 효과가 중첩되어 다른 실험조건에 비해 수로 내 수위가 낮아지는 것으로 판단된다.
4. 수위저감율의 경험식 산정
수리실험의 결과로부터 횡월류위어 위치 변화에 따른 유량 분담량의 변화는 미미하였으나, 본류의 수위 저감에 영향을 미친다는 결과를 확인하였다. 따라서 횡월류위어 위치 변화에 따라 발생되는 수위 저감 효과를 예측하고, 홍수조절지 계획 단계에서 횡월류위어의 선정 위치에 따른 홍수 조절 효과에 대한 기초적인 예측자료를 제공하고자 횡월류위어 위치 변화에 따른 수위 저감율에 대해 경험식을 산정하였다. 수위저감율의 경험식 산정을 위한 자료는 횡월류위어 1개소 운영 시의 결과를 이용하였으며, Fig. 4로부터 본류의 수위는 유입유량(Q)과 횡월류위어의 이격거리(D) 변화에 따라 선형적으로 변화하는 결과를 나타냈다. 따라서 경험식 산정을 위해 유입유량을 Froude 수(Fr)로 무차원화하고 수문으로부터 횡월류위어까지의 이격거리를 수로 폭 대비 이격거리(D/B)로 무차원화 해 무차원변수에 대한 수위저감율(Wr, %)의 변화를 확인한 결과, Figs. 9 and 10과 같이 선형적 관계가 있는 것으로 나타났다.
수위저감율의 경험식은 앞서 정의한 무차원변수들을 이용해 산정하였으며, 다중선형회귀분석의 방법을 이용해 경험식의 계수를 결정하였다. 산정된 경험식은 Eq. (9)와 같다.
(9)
여기서, B는 실험수로의 폭(m), D는 수문으로부터 횡월류위어까지의 이격거리(m)이다.
산정된 수위저감율 경험식의 R2를 Eq. (10)을 이용해 계산하였으며, R2가 0.99로 산정되어 높은 적합도를 보이고 있는 것으로 확인되었다.
(10)
Fig. 11은 Eq. (9)의 계산 결과와 실험결과로부터 계산한 수위저감율을 비교한 결과를 나타낸다. 그 결과, 수위저감율 계산값이 실험결과와 일치하지는 않지만 유사한 경향을 나타냈다. 따라서 직선 구간의 하천에 홍수조절지 도입을 고려할 경우, 홍수조절지 하류에 하류부 수위 조절을 위한 수문 시설이 위치해 있고 하천의 유입유량과 하폭, 수문으로부터 횡월류위어의 이격거리를 알고 있을 때 홍수조절지 도입으로 인한 수문 상류부의 수위 저감 효과를 사전에 개략적으로 예측할 수 있을 것으로 판단된다. 그러나 본 연구에서는 수문 하류부 수위 조절을 위한 다양한 수문 운영 조건을 고려하지 않았으며, 직선수로를 대상으로 실험을 수행하였기 때문에 수문 운영이 변화하는 홍수 시와 사행하천과 같이 복잡한 형상의 하천에 홍수조절지를 설치할 경우 Eq. (9)의 적용이 제한될 수 있다.
5. 결 론
본 연구에서는 홍수조절지 횡월류위어의 위치 변화에 따른 수위 저감 효과와 유량 분담 효과를 검토하기 위해 수리모형실험을 수행하였다. 실험수로는 횡월류위어의 설치에 의한 일반적인 수리학적 현상을 분석하고자 직선수로로 단순화하여 제작하였으며, 홍수조절지 하류부 구간의 수위 조절을 목적으로 함께 운영되고 있는 수문 시설의 영향을 고려하기 위해 2문의 방사형 수문을 제작하여 수로에 설치하였다. 방사형 수문 상류 방향으로 횡월류위어의 위치를 변화시키며 수위 변화와 분담 유량을 측정하였다. 횡월류위어 1개소를 운영 할 경우, 횡월류위어의 이격거리가 0.35 m로 수문에서 가장 가까울 때 유입유량에 따라 8.7~17.5%의 가장 큰 수위 저감 효과를 나타냈으며, 수문으로부터 위치가 멀어질수록 이격거리 0.35 m 기준 최대 13%까지 수위 저감 효과가 감소되었다. 횡월류위어의 위치 변화에 따른 분담 유량도 수위 저감 효과와 유사하게 수문에서 가장 가까운 이격거리 0.35 m에서 유입유량에 따라 61.9~65.6%로 가장 큰 유량 분담률을 나타냈지만, 수문에서 가장 먼 이격거리 2.35 m에서 61.4~64.9%의 가장 낮은 유량 분담률을 확인, 유량 분담율의 경우 횡월류위어의 위치 조건과 관계없이 전체적으로 유사한 것으로 확인되었다. 횡월류위어의 위치에 따라 수위가 변화되고 유량 분담량의 변화는 크게 없는 것으로 보아, 횡월류위어의 위치가 수문으로부터 가까울수록 수문에 의한 배수 효과와 횡월류위어의 유출 효과가 중첩되어 전체적인 수로 내 수위가 낮아지는 것으로 판단된다. 2개소의 횡월류위어를 운영할 경우 최대 수위 저감 효과는 유입유량에 따라 12.0~23.3%로 나타났으며, 최소 수위 저감 효과는 11.8~23.2%로 나타났다. 횡월류위어가 2개 이상 운영될 경우, 수문으로 인한 배수 효과가 수로 내 흐름에 영향을 주기 전부터 상류 구간에서 분담 가능한 저류 공간이 크게 늘어나기 때문에 수문 배수와 횡월류위어의 복합적인 흐름 효과가 감소하여 횡월류위어의 위치 변화에 따른 수위 저감 효과에 큰 변화가 없는 것으로 판단된다.
또한, 실험결과로부터 1개소 횡월류위어 운영 시 위치 변화에 따른 수위저감율에 대한 경험식을 제안하였다. 제안된 경험식의 R2는 0.99로 산정되었으며, 경험식을 이용한 계산 결과와 실험 측정값을 비교한 결과, 평균절대백분비오차(MAPE)가 1.85%로 계산되어 매우 높은 적합도를 나타냈다. 본 연구에서 수행한 실험과 동일하게 하류에 수문 시설이 있는 직선형 하도에서 유입유량과 수문으로부터 횡월류위어까지의 이격거리를 알고 있을 경우, 홍수조절지 위치 변화에 따른 수위 저감 효과를 사전에 간략하게 예측할 수 있을 것으로 판단된다. 하지만 횡월류위어의 위치 변화에 따른 수리학적 현상만을 검토하기 위해 실험수로를 직선구간으로 단순화하였으며, 수문 시설의 영향을 확인하기 위해 수문을 설치 후 운영하였지만, 다양한 수문 운영 방안의 변화는 반영되지 않아 실제 국내 도입된 홍수조절지에 적용하기에는 시기상 어려움이 있을 것으로 판단된다. 향후 다양한 수문 운영 조건에 따른 효과 변화와 만곡부에 대한 추가적인 실험 검증 자료를 보완하여 실제 현장 조건에 적용 가능한 경험식 산정으로 홍수조절지 설계 시 위치 조건에 따른 수위 저감 효과를 사전에 예측해 볼 수 있는 의사결정자료를 제공하고자 한다.















