1. 서 론
2. Cosmic-ray 관측시스템 구축 및 운영
2.1 시범 대상유역
2.2 Cosmic-ray 검증시스템 구축 및 운영
3. 분석방법 및 통계
3.1 대표성 분석 방법
3.2 집단 비교 통계 방법
4. 분석 및 결과
4.1 시범지역의 토양기본 특성 분석 및 FDR 센서 현장 검증
4.2 토양수분량 특성 분석
4.3 토양수분량 대표성 분석
5. 결 론
1. 서 론
우리나라에서 토양수분량을 생산하기 위한 국가 차원의 노력은 2005년 「수문조사선진화5개년계획(건설교통부)」에서 찾아 볼 수 있다. 「수문조사선진화5개년계획」에 포함된 조사 지점 수는 25개소로, 2010년 국토해양부는 본 계획을 「국가수문관측망」에 반영하였다. 현재 토양수분량 조사는 「수자원의 조사·계획 및 관리에 관한 법률」에 법적 기반을 두고 수행되고 있다. 그러나 토양수분량 관측방식에 따른 관측소 설치 기준과 조사 방법에 대한 연구개발의 부족과 예산 등 여러 문제로 인해 제한된 지점에서만 자료가 정기적으로 생산되고 있다. 일반적으로 토양수분량의 지상관측은 Time Domain Reflectrometry (TDR)과 Frequency Domain Reflectometry (FDR)과 같은 유전율식 방식이 널리 이용되고 있다. 이 관측방식은 점단위(point scale)의 정량적인 정확성은 높지만, 점 단위의 측정방식의 한계점인 공간적인 대표성을 나타내기에는 많은 제약을 가지고 있다.
최근 자연재해 빈도가 증가함에 따라 방재에 관한 사회적 관심이 높아지면서 지점 기반 토양수분량 관측 및 분석만으로는 부족한 면이 많다. 따라서 공간적인 특징을 나타낼 수 있고 분석 할 수 있는 대안의 기술을 요구되게 되었다. 최근 이러한 필요성에 따라 항공, 인공위성 및 Cosmic-ray를 이용하여 공간적인 토양수분량을 관측하는 연구가 활발히 진행 되고 있다(Choi et al., 2007; Franz et al., 2013). 특히, 인공위성에 탑재되는 센서 중 마이크로파(microwave) 센서의 특성을 이용하여 지표면에서의 수분 변동성을 관측할 수 있는 다양한 위성들이 개발, 발사되었다. 토양수분량 관측에 이용되는 마이크로파는 주로 L-band, C-band, X-band 영역대를 주로 사용하며, 그중 상대적으로 파장이 긴 L-band 영역은 다양한 대기, 기상, 식생 등에 대해 영향을 적게 받아 토양수분량 추정에 가장 최적화되어 있다. 하지만 국내 및 동아시아의 대도시 지역에서는 Radio Frequency Interference (RFI)로 인해 토양수분량 산출 알고리즘에 큰 제약과 한계점을 가지고 있으며, 또한 산지형태로 이루어진 국내 지형의 특성 때문에 산출 값을 보완하는 연구들이 필요한 것으로 보인다(Liu et al., 2012; Paloscia et al., 2006). 위와 같은 방식은 주로 간접적인 방법을 이용하기 때문에 지상에 설치된 지점 값과 비교를 통한 다양한 검증과정이 필요하다(Dorigo et al., 2013).
지상의 관측 지점은 점단위로 되어 있어 인공위성과의 검증의 참 값으로 이용되고 있으나 최근 지상에서 면 단위 측정시스템인 Cosmic-ray 관측시스템은 활발히 연구가 진행되고 있으며 미국, 호주, 영국 등 다양한 나라에서 적용되고 있다. 그러나 이 방법은 자국의 특성에 맞는 Cosmic-ray 관측시스템 구축 방법과 검증 체계 등에 대한 다양한 기준과 기술을 필요로 한다. 면 단위 측정시스템의 설계 기준 등이 정량화된다면 인공위성 등 원격탐사 기법과 연계가 가능해 전국 단위 토양수분량 자료의 생산이 가능할 것으로 판단된다.
한편, 지상에서도 공간 범위의 관측 연구에 대해 활발히 진행되고 있으며, 최근에 가장 많이 이용되는 장비는 Cosmic-ray이다. Cosmic-ray는 지구 밖 천체에서 발생되는 고에너지가 기층을 통과해 고속의 중성자 형태로 지표에 도달되어 토양수분 내에 함유되어 있는 수소원자에 의해 감속되어 수 백 미터 넓이의 대기 중으로 방출되는 고속 중성자의 개수를 활용한 관측 방법으로서 미국, 호주, 영국 등 다양한 나라에서 적용되고 있다(Bogena et al., 2013, Heidbüchel et al., 2016). 이 방법은 자국의 특성에 맞는 Cosmic-ray 관측시스템 구축 방법과 검증 체계 등에 대한 다양한 기준과 기술을 필요로 하며, 특히 70%가 산지로 이루어진 우리나라에서는 산악지역을 대상으로 하는 연구가 선행돼야 할 것으로 판단된다.
신뢰성 있는 공간 토양수분량을 생산하기 위해서는 충분한 수의 지상관측소와 함께 대상유역을 대표할 수 있는 지점에 대한 평가가 선행돼야 한다. 하지만 지점 자료는 불균질한(heterogeneous) 지형에서 평균적인 특성을 찾기가 어렵기 때문에 영역 전체를 대표할 수 있는 자료로 환산하기가 어렵다. 이러한 이유로 TSA 방법은 여러 지점 중 지역을 대표할 수 있는 지점을 선정하는 분석법으로서 많이 이용되었다(Vachaud et al., 1985, Brocca et al., 2009).
따라서, 본 연구는 Cosmic-ray 관측시스템 구축 시 필요한 검증 네트워크 설계 방법 개발에 목적을 두었으며, 설마천 유역에 Cosmic-ray와 FDR 센서(10개소)를 설치하여 운영하였다. 검증 장비인 FDR 센서는 Cosmic-ray 영향원 내에 설치하여 대표성을 지니는 관측지점을 TSA 방법으로 제시하였다.
2. Cosmic-ray 관측시스템 구축 및 운영
2.1 시범 대상유역
본 연구에서 시범지역으로 선정한 설마천 유역은 임진강 하구에서 약 46 km 떨어진 임진강의 제 1 지류로서 동경 126° 52' 44" ~126° 58' 40" , 북위 37° 55' 00" ~37° 58' 05" 에 위치하며, 유역면적 18.56 km2, 유로연장 10.77 km이다. 설마천은 전형적인 급경사 산지 사행하천이며, 경기편마암 복합체로 구성되어 있다. 또한, 유역의 남부에는 호상의 엽리를 보이는 편마암이 우세하고, 북부로 가면서 안구상 편마암이 우세하게 발달되어 있다. 설마천 유역은 절리가 많이 발달되어 있으나, 절리나 단층이 틈이 좁고 연장성이 강하지는 않아서 초기 강우 시 소량의 강우에는 하천의 수위에 큰 변화가 없고, 파쇄대를 채우고 난 이후에는 하천 수위가 급격히 증가하는 현상을 보인다. 설마천 유역의 90% 이상은 주로 20~40년 수령의 침엽수와 활엽수로 구성되었으며 침엽수는 조림수이다. 표토는 얕아서 수분 함양능력이 비교적 낮고 산지 사면에 산재한 다량의 돌과 자갈은 집중호우 시 토석류를 유발할 수 있는 특성을 지닌다(KICT, 2013).
설마천 유역에서는 강우량관측소 6개소(전적비교, 비룡포대, 빈배이, 설마리, 범륜사, 감악산), 수위관측소 1개소(전적비교), 증발산량관측소 1개소, 토양수분량관측소 1개소가 운영되고 있다. 강우량관측소는 최소 관측단위가 0.5 mm(전도형 0.5 mm/0.2 mm, 중량형 0.01 mm)인 장비로 10분의 관측시간 간격으로 운영되고 있다(KICT, 2013). 한국건설기술연구원에서는 전적비교 지점에서 매년 유량측정을 수행하여 수위자료와 함께 유량자료를 생산하고 있다. 증발산량 및 토양수분량 관측소는 Fig. 1에서 알 수 있는 바와 같이 범륜사 인근 산지 사면에 위치하고 있다. 증발산량 관측소는 에디공분산(eddy covariance) 방법, 토양수분량 관측소는 TDR 방식으로 운영되고 있다(Lee et al., 2015).
2.2 Cosmic-ray 검증시스템 구축 및 운영
Cosmic-ray 검증시스템, 즉 유전율식 장비는 Cosmic-ray 영향원을 대표하는 지점에 설치돼야 관측시스템을 효율적으로 운영할 수 있다. 운영적인 측면을 고려하여 증발산량 플럭스 타워에 Cosmic-ray를 장착한 후 영향원 내에 다수의 FDR 센서를 설치하였다(Table 1, Fig. 2). Fig. 2에 나타낸 바와 같이 Cosmic-ray는 증발산 플럭스 타워(지면으로부터 1m)에 설치하였으며, 검증시스템 즉, FDR 센서는 5개 섹터로 구분하여 토심별(10 cm, 20 cm, 30 cm, 40 cm)로 총 10개의 지점을 매설하였다. 검증시스템의 공간적 특성은 가급적 고르게 분포시키려 하였으나 유효토심과 토양형, 접근성과 유지관리 측면, FDR 센서의 활용 한계 등으로 인해 5개 구역(10개소)로 한정하였다.
Table 1. Field Sites, Geographic location, elevation, and sensor depths for FDR soil moisture verification network
3. 분석방법 및 통계
3.1 대표성 분석 방법
Cosmic-ray 관측시스템의 최적 운영에 필요한 FDR 센서의 토양수분량의 대표성을 분석하기 위해 시간 안정성 해석법(temporal stability analysis, TSA)을 적용하였다. Vachaud et al. (1985)이 제안한 TSA는 주로 관심 있는 지역에 설치된 여러 관측 기기 중 그 지역 전체의 토양수분량을 대표하는 지점을 식별하는데 도움을 주는 분석 방법이다(Brocca et al., 2010). TSA 분석은 특정 시간 t에 각 토양수분량 측정 지점과 지역 평균 토양수분량() 사이에서의 상대적 차이(relative difference, δi)를 평가하는 방식이다(Eqs. (1) and (2)).
| $$\overline\theta=\frac1{n_t}\sum_{t=1}^{n_t}\theta_{i,t}$$ | (1) |
| $$\delta_{i,t}=\theta_{i,t}-{\overline\theta}_t$$ | (2) |
여기서, nt는 시간 샘플 개수를 나타내며, θi,t는 특정 시간 t에서 i지점의 토양수분량을 나타낸다. 또한 상대적 차이의 평균(mean of the relative difference, MRD, )과 상대적 차이의 표준편차(standard deviation of the relative difference, SDRD, σ(δi))이다(Eqs. (3) and (4)).
| $$MRD{\overline\delta}_i=\frac1{n_t}\sum_{t=1}^{n_t}\frac{\theta_{i,t}-{\overline\theta}_t}{{\overline\theta}_t}$$ | (3) |
| $$SDRD(\sigma(\delta_i))=\sqrt{\frac1{n_t-1}\sum_{t=1}^{n_t}\left(\frac{\theta_{i,t}-{\overline\theta}_t}{{\overline\theta}_t}-{\overline\delta}_i\right)^2}$$ | (4) |
전체 지역에서 MRD의 총합은 0을 나타내며, 각 지점 i에서의 MRD가 음수일 경우 전체 지역에 비해 평균보다 습윤한 상태이고 양수일 경우 건조한 상태인지 판단할 수 있다. 또한 SDRD가 낮을수록 지점에서의 변동성은 작다.
Jacobs et al. (2004)는 최적의 대표성을 선정하는 지수인 TSI (temporal stability of index)를 영역 평균에 대한 상대적인 차이의 평균인 MRD와 지점 오차범위의 편차인 SDRD를 활용하여 Eq. (5)와 같이 표현하여 가장 적합한 위치를 분석하였다.
| $$TSI(\delta_i)=\sqrt{\overline{\delta_i}^2+\sigma(\delta_i)^2}$$ | (5) |
3.2 집단 비교 통계 방법
피어슨 상관계수(Pearson’s correlation coefficient, R)는 두 연속 변수 사이에 선형관계를 분석하는 기법으로서 한 변수가 증가할 때 다른 한 변수도 선형적으로 증가 또는 감소하는지를 계수로서 관계의 정도를 나타낸다(Eq. (6)). 피어슨 상관계수의 범위는 –1∼1 사이의 범위를 가지며 일반적으로 양의 상관관계는 두 변수가 동시에 증가함을 나타내며 음의 상관계수는 반대로 감소하는 경향을 나타낸다.
평균제곱근편차(root mean square deviation, RMSE)는 추정량을 선택하는 기준으로 0에 가까울수록 정밀함을 나타내며 항상 양수를 갖는다(Eq. (7)). 편향(bias)은 산출한 값이 어느 정도로 치우쳐있는지를 나타낸다(Eq. (8)).
| $$bias=\frac{{\displaystyle\sum_{i=1}^n}(X_i-Y_i)}n$$ | (7) |
| $$RMSE=\sqrt{\frac1n\sum_{i=1}^n(X_i-Y_i)^2}$$ | (8) |
여기서, n은 관측된 자료의 개수를 의미하며, Xi는 검증하고자 하는 자료를 의미하고, Yi는 검증 기준이 되는 자료를 나타낸다.
4. 분석 및 결과
4.1 시범지역의 토양기본 특성 분석 및 FDR 센서 현장 검증
토양의 기본적인 특성을 파악하기 위해 각 지점의 토양 샘플을 채취하여 실내에서 실험을 수행하였다. 실내 실험을 거쳐 얻은 데이터를 구역별로 평균하여 Table 2에 나타내었다. 먼저 미국 농무성(United States Department of Agriculture, USDA)에서 제시한 토양 입자의 크기에 따라 0.05 mm 이상 모래, 0.05∼0.002 mm는 미사, 0.002 mm 이하는 점토로 분류하였다. 이후 분류된 모래, 미사, 점토함량 비율은 다시 USDA에서 제시한 삼각형 토성 분류 다이아그램(soil texture classification triangle)에 기초하여 분류하였다(Fig. 3). Sector 4 (sandy loam)를 제외한 대부분의 구역에서는 Loamy sand의 토성으로 분류하였다. Loamy sand의 경우 반습 시 부셔지기 쉽고 손에 약간의 미사와 점토 등이 묻는 특성을 갖는다.
Table 2. Average soil properties for different sectors within the verification network
한편, 모든 구역의 용적밀도(bulk density, ρ)는 0.67∼1.18 g/cm3의 범위를 보였으며, 평균 용적밀도는 0.92 g/cm3의 값을 보였다. 용적밀도는 자연 토양의 종합된 밀도로서 공기의 유통과 물의 저장능력을 판단하는 기준이 된다. 일반적인 토양의 용적밀도 범위는 1.0∼1.2 g/cm3 범위를 갖는 데에 반해 낮은 용적밀도를 보였으며, 특히 연구지역 중 낙엽수가 위치하고 있는 구역에서 낮은 용적 밀도를 보였다. 이러한 결과는 토양 공극률(porosity)과 반비례함을 알 수 있으며, 57.40∼71.36% 범위의 높은 공극률을 보였다. 즉, 본 연구지역은 비교적 낮은 용적밀도를 나타내며 발달한 공극을 통해 통기성과 투수성이 좋음을 나타낸다. 낮은 용적밀도와 높은 토양 공극률은 연구지역의 낙엽과 같은 유기물들로 인해 발생된 입단화(soil aggregation)작용으로써 추측해 볼 수 있는데, 이는 일반적으로 점토와 유기물, 화학물질, 토양미생물 등에 의해 토양 입자가 뭉쳐져 공극이 균형 있게 배열되어 대공극(macro-pore)과 소공극(micro-pore)이 증대되는 성향을 갖기 때문이다. 본 지형을 함수율과 함께 분석해 볼 때, 식물의 뿌리로 인한 소공극보다는 대공극이 더 발달된 특성을 보였다. 이의 분석 결과를 종합하여 볼 때 본 연구지역은 물을 보유하는 능력보다는 배수 특성이 더 활발할 것으로 판단된다.
다음으로 토양수분량 분석을 위해 대표적으로 많이 활용되는 코어법(soil core sampling)을 적용하였으며, 이 방법은 토양수분량 분석을 위한 가장 원시적이고 직접적인 방법이라 할 수 있다. 본 유역에 설치된 FDR 센서가 지점 토양수분량을 적절하게 반영하여 유효한 값을 관측하고 있는 지를 판단하기 위해 코어를 활용한 용적토양수분량과 비교 검증하였다. 우선 특정시간에 시료를 채취하여 Eq. (9)와 같이 중량토양수분을 용적토양수분으로 변환하여 비교하였다.
| $$VWC=\frac{WW}{SW_{dry}}\times\frac{bulk\;density}{water\;density}$$ | (9) |
여기서, WW는 채취한 표본(sample)에서 물의 질량으로 채취한 무게(SWwet)와 토양을 건조로에서 105℃의 온도로 24시간 이상 건조한 시료 무게(SWdry)를 뺀 값이다.
본 연구에서는 토양의 교란을 최소화하기 위해 10 cm 깊이의 토양을 1회에 3개의 표본을 한 세트로 채취하였다. 채취한 표본은 당시의 FDR 센서와 비교하여 Fig. 4에 산포도와 함께 나타내었다. 아래 Fig. 4에서 알 수 있는 바와 같이 몇몇 표본을 제외한 나머지의 표본은 유효한 범위 내의 관측오차를 보였다. 각 지점별 통계적인 특성, 즉 상관계수, bias, RMSE는 Table 3과 같다. 전체적으로 bias가 음수 값을 가졌으며, 이는 FDR 센서가 코어를 활용한 용적토양수분량에 비해 비교적 과소 산정함을 의미한다. 특히, sector 3 지역에서 가장 높은 RMSE를 보였다. 이는 많은 낙엽의 영향으로 발생된 특성이다. 상관계수는 전체적으로 0.80 정도를 보였으며 bias와 RMSE는 각각 –0.03 m3/m3과 0.03 m3/m3의 특성을 나타내었다. 관측기기인 ECH2O의 일반 교정오차 ±0.03 m3/m3 내에 속하고, 또한 토양수분량 관측기기 검정오차가 ±0.05 m3/m3 이내인 점을 감안하여 볼 때 현장 적용성을 갖는 것으로 판단된다.
Table 3. Summary of evaluation statistics of FDR-measured soil moisture against gravimetric sampling-based soil moisture
4.2 토양수분량 특성 분석
Fig. 5는 2018년 7월부터 12월 중순까지의 토양수분량 시계열 특성을 나타낸다. 모든 지점에서 토양수분량은 강우와 잘 반응하였으며, 강우 이후 감쇄하는 정상적인 추세를 보였다. 특히, 토심 10 cm에서는 FDR 10 지점에서 강우에 민감한 반응을 보였으나, FDR 2, FDR 4, FDR 5 지점에서는 비교적 완만한 특성을 보였다. 이는 작은 규모의 강우 시 식생의 캐노피(canopy)가 강우를 가로막는(intercept) 현상 또는 낙엽의 차단 현상 등으로 발생된 것으로 판단된다. 가장 깊은 40 cm에서는 변동량이 비교적 적지만 강우에 비교적 민감하게 반응하였다. 이는 중력수(gravitational water)와 사면 상단부에서의 유출흐름 영향으로 인해 하부토층의 토양수분량이 빠르게 충전되어 발생된 것으로 분석되었다. 이와 반대로 능선과 가까운 FDR 7과 비교적 평평한 FDR 9 지점은 유출 흐름의 영향을 적게 받아 하부토층의 토양수분량이 완만하게 반응하였다.
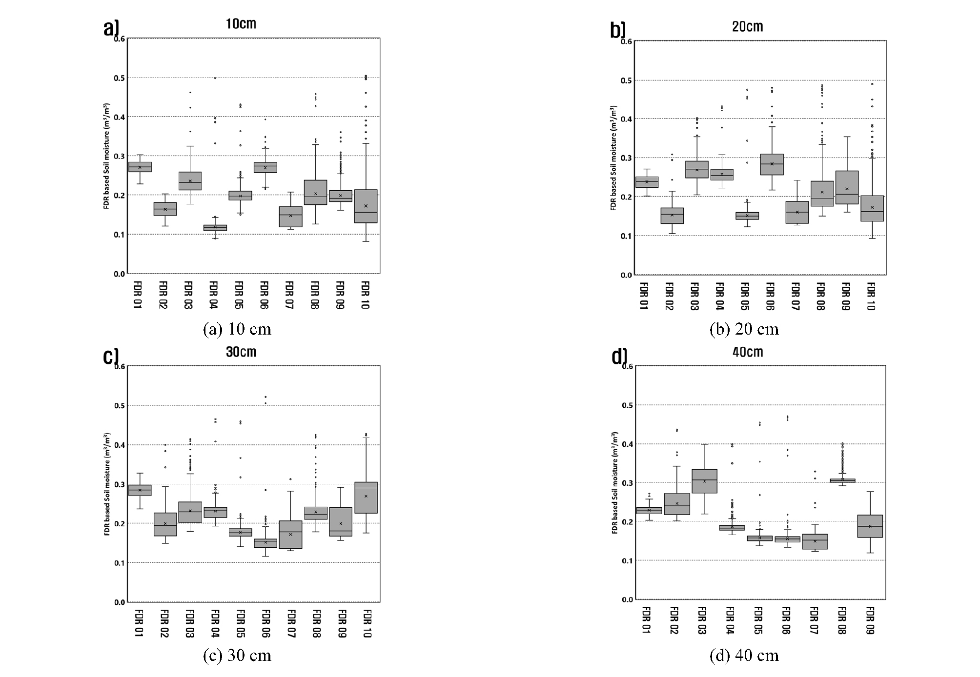
본 연구에서는 Cosmic-ray 영향원 내 토양수분량의 변동성을 파악하기 위해 사분위(IQR) 분석을 수행하여 그 결과를 Fig. 6에 나타내었다. Fig. 6에서 알 수 있는 바와 같이 지점별 토양수분량은 매우 큰 변동성을 보였으며, 얕은 토심일수록 변동의 정도가 큰 것으로 분석되었다. 특히 FDR 10에서는 모든 토심에서 큰 사분위 특성을 나타내었으며, 토양수분량이 적게 유지되는 기간에서도 높은 특성을 보였다. 이러한 분석 결과는 본 연구 지역이 토양수분의 함유능력이 공간적으로 매우 상이함을 의미한다. 또한 대부분의 지점에서 이상점(outlier)을 포함하고 있데 이는 2018년 8월 28일 300 mm 이상의 강우 환경에서 기인되었다.
4.3 토양수분량 대표성 분석
본 연구에서는 TSA 분석을 토심별(10 cm, 20 cm, 30 cm, 40 cm)로 수행하여 MRD를 오름차순으로 나열하여 Fig. 7에 도시화였다. Fig. 6의 MRD를 보면(건조한 지점부터 습윤한 지점으로 나열), 오차범위가 ±10% 이내를 양호한 대표 특성이라고 하였을 때, 10 cm에서는 FDR 5, FDR 8, FDR 9에서 작은 오차를 보였다. 토심 20 cm에서는 FDR 8, FDR 9, 토심 30 cm에서는 FDR 2, FDR 3, FDR 4, FDR 8, FDR 9, 토심 40 cm에서는 FDR 1, FDR 4, FDR 9에서 비교적 양호한 대표 특성을 나타내었다. 모든 토심에서 안정적인 값을 갖고 있지는 않으나 FDR 9는 모든 토심에서 양호한 값을 나타냈다. 이러한 결과는 Jacobs et al. (2004)의 연구결과, 즉 ‘비교적 높은 점토함량과 낮은 경사도를 가질수록 더 좋은 MRD을 가진다’는 선행 연구와도 일치된다
TSI (temporal stability of index)는 0과 가까울수록 가장 시간 안정성이 좋은 범위를 보이는데, 이는 일반적으로 MRD의 패턴과 유사한 지점에서 안정성을 보인다. Fig. 8은 토심별(10 cm, 20 cm, 30 cm, 40 cm)로 가장 대표성이 양호한 지점과 평균 토양수분량(FDR 1∼FDR 10)과의 관계를 판단하기 위한 통계분석 결과이다. 각 토심별로 Fig. 7에서 알 수 있는 바와 같이 토심 10 cm에서는 FDR 5 (R=0.88, bias=–0.001%, RMSE=1.17%)가 가장 우수한 대표 특성을 나타내었으며, 토심 20 cm에서는 FDR 8 (R=0.91, bias=0.001%, RMSE= 2.99%), 토심 30 cm에서는 FDR 2 (R=0.96, bias=–1.50%, RMSE=1.90%), 토심 40 cm에서는 FDR 1 (R=0.73, bias= 1.50%, RMSE=1.90%)에서 각각 가장 우수한 대표 특성을 보였다. 전체적으로 양호한 상관계수와 오차범위를 가졌지만 부분적으로 낮은 통계치를 포함하였다. 이는 토양수분량 관측 지점수의 부족, 다양한 식생(혼효림)의 차단, 사면경사에 따른 유출기작 등으로 발생된 것으로 판단된다.
5. 결 론
본 연구에서는 Cosmic-ray 관측시스템 운영에 필요한 검증 네트워크 구축 기술 개발에 주요 목적을 두고, 설마천 유역에 Cosmic-ray와 FDR 센서(10개소)를 설치하여 일정기간 동안 운영하였다. 또한 분석의 신뢰도를 높이기 위해 코어법을 이용한 용적수분함량과 유전율식 장비를 정기적으로 검증하였으며, 토양수분량의 대표성을 분석하기 위해 시간 안정성 해석법(temporal stability analysis, TSA)을 적용하였다. 본 연구를 통해 도출된 결론은 아래와 같다.
1) 용적수분함량으로 FDR 센서를 검증한 결과, 두 자료의 통계량이 bias는 –0.03 m3/m3과 RMSE는 0.03 m3/m3의 유의한 값을 보였다. 본 분석 결과가 FDR의 일반 교정오차 ±0.03 m3/m3, 토양수분량 관측기기 검정오차(±0.05 m3/ m3)를 만족한 것으로 보아, FDR 장비는 현장 적용성을 가지는 것으로 분석되었다.
2) 토심별(10 cm, 20 cm, 30 cm, 40 cm) 자료를 토대로 TSA로 대표성을 분석한 결과, 토심 10 cm의 경우 FDR 5 (R= 0.88, bias=–0.001%, RMSE=1.17%), 토심 20 cm의 경우 FDR 8 (R=0.91, bias=0.00%, RMSE=2.99%), 토심 30 cm의 경우 FDR 2 (R=0.96, bias=–1.50%, RMSE=1.90%), 토심 40 cm의 경우 FDR 1 (R=0.73, bias=1.50%, RMSE= 1.90%)에서 가장 높은 대표성을 보였다.
3) 테스트 베드의 운영 기간이 짧은 한계가 존재하나 지금까지의 분석 결과를 종합하여 볼 때, Cosmic-ray 관측시스템 구축 시에는 검증 장비로 유전율식의 장비 활용이 가능하고, Cosmic-ray 영향원 내 토양수분량 대표성 분석은 TSA 해석으로 수행하는 것이 바람직할 것으로 판단된다.
Cosmic-ray 검증 네트워크 구축 기술 개발을 목적으로 하는 테스트 베드는 2019년 말까지 운영 계획을 가지고 있으며, 본 기간 동안에 FDR 센서를 추가로 설치하여 대표성 분석의 정도를 높일 예정이다. 또한 Cosmic-ray 자료와 대표성을 가지는 FDR 자료와 관계를 도출하여 Cosmic-ray의 최적 설계 기술과 운영 기법 등을 제시할 예정이다.










