1. 서 론
2. 연구방법 및 대상유역 선정
2.1 연구방법
2.2 대상유역 선정
3. 분석결과
3.1 확률강우량 산정
3.2 PMP 산정
3.3 기후변화고려 PMP 산정
3.4 강우시나리오 비교 ․ 분석
3.5 댐 여유고 평가
4. 요약 및 결론
1. 서 론
우리나라는 안정적인 생 ․ 공용수 공급, 하천유지용수 공급, 수력발전, 홍수피해 경감을 목적으로 1960년대부터 댐 사업이 본격적으로 시작되었다(Choi, 2007; Hong, 2007). 국내 농업용 저수지는 1 ․ 2종 시설물 포함 약 18,000여개이며, 준공 후 30년을 경과한 저수지는 90% 이상을 차지한다. 농업용 저수지의 70%는 1945년 이전에 준공되어 70년 이상 경과된 극심한 노후시설로 분류됨에도 불구하고 시설물 보수 ․ 보강이 충분히 수행되지 않아 재해위험에 매우 취약한 상황이다(Kim, 2017; KISTEC, 2015; Park, 2010). 과거 인구밀도가 낮은 지역에 위치한 농업용 저수지는 산업화로 인해 도시지역에 다수 위치하였으며, 거대태풍 및 집중호우로 인해 급격히 증가하는 유입량은 대규모 인명피해와 재산피해를 발생시킬 수 있다(Lee, 2008; Park, 2015). 1979년 이후 댐 설계기준이 제정되면서 이전에 건설된 댐은 구조기준 및 내진설계가 댐 건설단계에서 반영되지 않았기 때문에 안전위험에 더욱 노출되어 있으며(Kim, 2009), 기후변화에 따른 집중호우의 강도 및 발생빈도 증가, 태풍의 대형화로 인해 댐 유입량 변동 폭이 커짐에 따라서 극심한 홍수, 가뭄이 빈번히 발생하고 있다(Jeong, 2013). 기존의 농업용 저수지 여수로는 PMP 또는 200년 빈도 확률강우량에 의해 설계되었으나 기후변화가 고려되지 않아 미래기간의 PMP 발생에 따른 수문학적인 안전성 검토가 필요한 실정이다.
기후변화를 고려한 미래기간의 PMP 전망에 대한 연구동향을 살펴본 결과, Beauchamp et al. (2013)은 WMO (World Meteorological Organization)에서 개발한 수분최대화법을 기반으로 캐나다 지역에서의 기후변화에 따른 여름철 PMP를 분석하였으며, 2071~2100년 기간의 PMP가 현재보다 약 0.5~6% 증가할 것으로 전망하였다. Kunkel et al. (2013)은 RCP8.5에 따른 기후모형 결과를 이용하여 전 세계적으로 PMP 변화를 간접적으로 추정한 바, 2071~2100년 기간의 PMP가 현재보다 약 20~30% 증가할 것으로 전망하였다. Lee et al. (2017)은 기후변화를 고려한 한반도 미래기간의 PMP를 수문기상학적인 방법으로 산정하였으며, 1981~2005년과 2071~2100년의 기간을 비교한 결과, RCP8.5에서 약 15~30% 증가할 것으로 분석하여 미래 기후변화에 따른 PMP는 의미 있는 증가를 보이는 것으로 나타났다. 기후변화 고려 PMP에 대한 많은 연구 중에서 현재 대비 미래기간의 PMP 증가율이 0.5~6%부터 최대 20~30%까지 증가할 것으로 전망하고 있으며, 다양한 GCMs (Global Climate Models), RCMs (Regional Climate Models)에서 제공되는 기후변화시나리오에 따라 미래기간의 PMP는 다양하게 증가할 것으로 예측된다.
국내에서는 기후변화와 댐 안전, 노후화된 댐 성능개선 및 재개발, 유지관리 효율화 증대 방안 등의 다양한 대비책 마련이 제시되고 있으나, 아직까지 기후변화를 고려한 PMP 산정 및 수문학적 안전성 평가에 관한 연구는 다소 부족한 실정이다. 따라서 본 연구에서는 6개소의 농업용 저수지를 대상유역으로 선정하였으며, 강우시나리오 산정을 위해 대상유역에 대한 확률강우량, 기존에 국토교통부에서 제시한 Present PMP, 그리고 기후변화를 고려한 Future PMP를 산정하였다. 기후변화로 인해 증가하는 강우량을 정량적으로 분석하고, 홍수량산정 및 저수지홍수추적을 통해 농업용 저수지의 여유고를 분석하여 수문학적 안전성을 평가하였다.
2. 연구방법 및 대상유역 선정
2.1 연구방법
본 연구에서는 미래 기후변화를 고려하여 농업용 저수지의 여유고 평가를 실시하였으며, 연구에 대한 방법은 다음과 같다(Fig. 1). 기후변화를 고려한 농업용 저수지의 여유고 평가를 위해 저수지 6개소를 선정하고 강우시나리오를 산정하였으며, 강우시나리오는 기상강우관측소의 관측자료를 이용한 확률강우량, 국토교통부에서 제시한 Present PMP, 기후변화를 고려한 Future PMP로 결정하였다. 강우시나리오에 대한 비교를 위해 기후변화를 고려할 때 증가하는 PMP를 분석하였으며, 홍수량을 산정하기 위해 유역별 홍수량산정모형을 구축하였다. 홍수량산정모형을 구축하기 위해서는 유역에 대한 매개변수(유역면적, Curve Number, 도달시간, 저류상수)를 분석하고, 손실우량방법인 SCS-CN (Soil Conservation Service Curve Number)법과 합성단위도법인 Clark를 이용하였으며, 강우시나리오(확률강우량, Present PMP, Future PMP)를 홍수량산정모형의 강우인자로 입력하여 각 저수지 유역에 대한 홍수량분석을 실시하였다. 강우시나리오에 따른 유역별 홍수량은 저수지홍수추적의 입력 값으로 댐 여유고 평가에 활용되며, 저수지홍수추적모형을 구축하기 위해서는 저수지의 내용적, 여수토 제원 및 저수지관리수위를 입력하였으며, 저수지 운영방법을 Auto ROM으로 결정하였다. 댐 여유고 평가는 저수지의 강우시나리오 별 최고수위를 분석하여 상시만수위, 홍수위, 제정표고, 여유고를 검토하였다.
2.2 대상유역 선정
과거 수해방지종합대책을 위해 실시한 ‘기존 저수지 수문조사 지원사업 조사 보고서(KRC, 2004)’에서는 총 25개소 농업용 저수지의 수문학적 안전성 검토를 수행하였으며, 본 연구에서는 총 25개소의 농업용 저수지 중 1종 댐 시설물인 한강유역의 고삼저수지, 금광저수지, 금강유역의 동부저수지, 미호저수지, 청천저수지, 영산강유역의 광주저수지를 연구대상유역으로 선정하였다(Fig. 2). 수문학적 안전성 평가를 위한 저수지 제원은 다음과 같다(Table 1)
3. 분석결과
3.1 확률강우량 산정
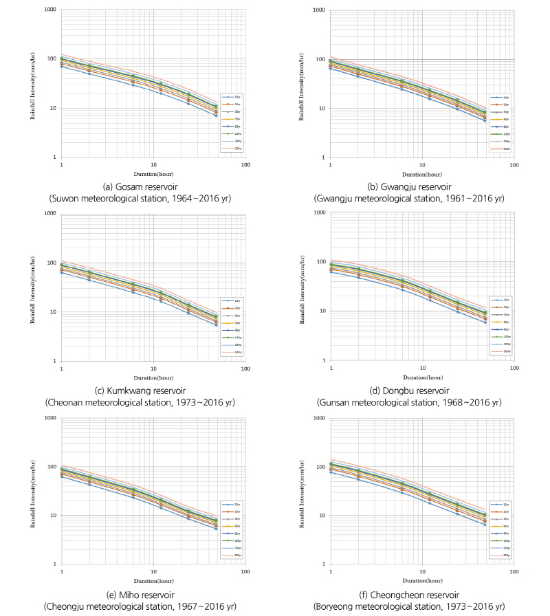
수문 ․ 기상분야에서는 수공구조물의 설계기준이 되는 통계적강우를 확률강우량이라 하며, 확률강우량 산정을 위해서는 기상관측소의 지속시간별 연 최대 강우자료를 추출하고, 확률분포형을 선택하여 추정해야한다. 본 연구에서는 각 저수지 유역에 대한 확률강우량을 산정하기 위해 관측개시일~2016년까지의 기상관측자료를 이용하여 지속시간별 연 최대 강우자료를 추출하고, GUMBEL분포를 이용하여 강우량빈도해석을 실시하였다(Fig. 3). 본 연구에서 사용한 강우관측지점의 강우자료 보유년수는 44~56년으로 강우빈도해석을 위한 충분한 자료를 확보하였다.
3.2 PMP 산정
가능최대강수량(Probability Maximum Precipitation)은 기상학적으로 내릴 수 있는 이론상 최대 강우량 개념으로 범람 시 대형사고가 일어날 수 있는 댐 시설물과 같은 중요한 하천수공구조물의 설계에 필요한 강우량이며, 가능최대강수량은 통계학적으로 약 10,000년 빈도에 해당하는 강우량이다. 본 연구에서는 ‘전국 PMP도 재작성 보고서(MCT, 2004)’에 제시한 가능최대강수량을 활용하였으며, 각 저수지 유역에 대한 지속시간별, 면적별 PMP를 산정한 결과는 다음과 같다(Fig. 4).
3.3 기후변화고려 PMP 산정
본 연구에서는 농업용 저수지의 기후변화를 고려한 PMP (Probability Maximum Precipitation)를 산정하였다. 현재기간 및 미래기간의 PMP에 대한 변화양상에 대해 분석하기 위해서는 기상청 RCP 시나리오별 이슬점 자료를 편의보정하고, Scale Invariance 기법을 이용하여 미래 일 단위 이슬점 자료를 시 단위로 추출하여 100년 빈도의 이슬점을 산정하였다(Lee et al., 2016; Lee et al., 2017a; Lee et al., 2017b). 수문기상학적방법을 이용한 미래 PMP는 수분최대화비(Orographic Transposition Factor), 수직전이비(Vertical Transposition Ratio), 수평전이비(Horizontal Transposition Ratio) 등에 대한 인자를 이용하며, 이는 모두 이슬점을 이용한다(WMO, 2009). 미래 이슬점 변동에 따른 수문기상학적 PMP 산정절차는 다음과 같다(Fig. 5).
1)RCM의 현재기간 모의자료를 이용하여 산출된 100년 빈도 이슬점 자료를 이용하여 수분최대화비, 수직전이비, 수평전이비 값을 산출 후, 현재기간 모의자료의 Present PMP를 5 km 해상도로 산출
2)RCP시나리오로부터 산출된 100년 빈도 이슬점 자료를 이용하여 수분최대화비, 수직이전비, 수평전이비 값을 산출 후, RCP시나리오별 Future PMP 도출
3)현재기간 모의자료의 Present PMP (1)와 RCP시나리오 Future PMP (2)를 비교하여, 현재기간 대비 미래기간의 PMP 변화율 비교
본 연구에서 사용한 기후변화 시나리오는 GCM (Global Climate Model)은 HadGEM2-AO, RCM (Regional Climate Model)은 HadGEM3-RA이며, 공간해상도는 12.5 km이다. 시나리오는RCP2.6, 4.5, 6.0, 8.5, 기준년도는 2040, 2070, 2100년으로 구성되어 있으며, 시간해상도는 현재기간 1981~ 2005년, 미래기간 2006~2100년이다. 본 연구에서 농업용 저수지 수문학적 안전성 평가를 위해 활용된 기후변화 고려 Future PMP의 시나리오형태는 RCP4.5, 기준년도는 2070년이며, 현재 대비 미래기간의 PMP 변화율은 다음과 같다(Fig. 6).
3.4 강우시나리오 비교 ․ 분석
농업용 저수지의 수문학적 안전성 평가를 실시하기 위해 강우시나리오는 200년 빈도 확률강우량, Present PMP, Future PMP이며, 시나리오에 대한 유역별 강우량을 분석하였다. 여기서, 200년 빈도 확률강우량을 선정한 이유는 ‘댐의 농업 생산기반 정비 사업 계획 설계 기준(KRC, 2002)’에서 농업용 댐의 설계홍수량은 200년 빈도 확률홍수량, 기왕최대홍수량, 지역 최대홍수량 중 가장 큰 값을 설계홍수량으로 하며, 붕괴에 따른 인명피해 및 재산피해가 크게 예상 되는 지구는 가능최대홍수량(Probability Maximum Precipitation)을 설계홍수량으로 한다고 명시 되어 있기 때문이다.
본 연구의 강우시나리오의 지속시간 결정을 위해 각 유역에 대한 임계지속시간을 산정하였으며, 저수지유역의 강우시나리오 분석결과는 다음과 같다(Table 2). 유역에 대한 Present PMP, Future PMP를 비교한 결과(Fig. 7), 고삼저수지는 현재 대비 미래기간의 PMP가 17.7% 증가하였으며, 광주저수지 20.1%, 금광저수지 25.7%, 동부저수지 22.8%, 미호저수지 22.4%, 청천저수지 23.9% 증가하였다. 기후변화에 따른 강우증가율이 가장 큰 저수지 유역은 금광저수지, 청천저수지, 동부저수지, 미호저수지, 광주저수지, 고삼저수지 순으로 분석되었으며, 기후변화를 고려한 Future PMP가 기존에 제시된 Present PMP보다 17~23.9% 증가한다는 것은 미래의 기상이변에 따라 댐 월류 위험도가 점차 증가할 것이라고 볼 수 있으며, 이에 대한 대비책이 필요할 것으로 의미된다.
3.5 댐 여유고 평가
농업용 저수지 댐 시설물에 대한 노후화 및 미래 기후변화에 대비하기 위해 저수지홍수추적을 실시한 결과(Fig. 8), 고삼저수지 최고수위는 200년 빈도 확률강우량에서 EL.53.00 m, Present PMP에서 EL.54.13 m, Future PMP에서 EL.54.42 m로 분석되어, 200년 빈도 확률강우량 발생 시 최고수위가 설계홍수위(EL.53.70 m) 이하이며, Present PMP, Future PMP에 따른 최고수위가 설계홍수위(EL.53.70 m) 이상으로 분석되었다. 광주저수지 최고수위는 200년 빈도 확률강우량에서 EL.69.48 m, Present PMP에서 EL.75.07 m, Future PMP에서 EL.76.03 m로 분석되어, 200년 빈도 확률강우량, Present PMP, Future PMP에 따른 최고수위가 설계홍수위(EL.76.40 m) 이하로 다소 안정된 여유고를 갖는 것으로 나타났다. 금광저수지 최고수위는 200년 빈도 확률강우량에서 EL.64.16 m, Present PMP에서 EL.67.91 m, Future PMP에서 EL.69.12 m로 분석되어, 200년 빈도 확률강우량 발생 시 최고수위가 설계홍수위(EL.67.70 m) 이하이며, Present PMP, Future PMP에 따른 최고수위가 설계홍수위(EL.67.70 m) 이상으로 분석되었다. 동부저수지 최고수위는 200년 빈도 확률강우량에서 EL.13.93 m, Present PMP에서 EL.16.29 m, Future PMP에서 EL.16.92 m로 분석되었으며, Present PMP, Future PMP에 따른 최고수위가 설계홍수위(EL.17.00 m) 이하로 분석되어 충분한 여유고를 갖는 것으로 나타났다. 미호저수지 최고수위는 200년 빈도 확률강우량에서 EL.62.42 m, Present PMP에서 EL.63.66 m, Future PMP에서 EL.64.05 m로 분석되었으며, 200년 빈도 확률강우량 발생 시 최고수위가 설계홍수위(EL.63.30 m) 이하이며, Present PMP, Future PMP에 따른 최고수위가 설계홍수위(EL.63.30 m) 이상으로 분석되었다. 청천저수지 최고수위는 200년 빈도 확률강우량에서 EL.38.05 m, Present PMP에서 EL.39.81 m, Future PMP에서 EL.41.24 m로 분석되었으며, 200년 빈도 확률강우량, Present PMP 발생 시 최고수위가 설계홍수위(EL.40.20 m) 이하이며, Future PMP에 따른 최고수위가 설계홍수위(EL.40.20 m) 이상으로 분석되었다. 6개소 농업용저수지의 수문학적 안전성 평가결과(Table 3), 미래 기후변화를 고려한 PMP (RCP4.5, 기준년도 2070년) 발생 시 고삼저수지, 금광저수지, 미호저수지, 청천저수지는 설계홍수위 이상의 수위발생에 따른 여유고 부족으로 수문학적 위험도가 높은 것으로 나타났다. 저수지유역에 현재대비 미래의 PMP 발생에 따른 최고수위를 비교한 결과, 청천저수지(+1.43 m), 금광저수지(+1.21 m), 광주저수지(+0.96 m), 동부저수지(+0.63 m), 미호저수지(+0.39 m), 고삼저수지(+0.29 m)순으로 수위가 증가하여 청전저수지가 기후변화에 따른 수위증가량이 가장 큰 것으로 분석되었다.
4. 요약 및 결론
본 연구에서는 한반도 농업용 저수지 6개소를 대상으로 기후변화를 고려한 수문학적 안전성 평가를 위해서 강우분석을 실시하였으며, 홍수유출모형 및 저수지홍수추적모형을 구축하여 강우시나리오(Probable rainfall, Present PMP, Future PMP)에 따른 농업용 저수지 댐 최고수위를 분석하였다.
강우시나리오에 따른 강우분석을 위해 기상관측자료를 이용한 확률강우량과 기존에 국토교통부에서 제시한 Present PMP, 기상청 기후변화시나리오를 이용한 Future PMP를 산정하였으며, 강우시나리오별 분석을 실시하였다. 강우분석결과, 미래의 기후변화 고려한 유역별 Future PMP가 Present PMP보다 17.7~25.7% (고삼저수지 17.7%, 광주저수지 20.1%, 금광저수지 25.7%, 동부저수지 22.8%, 미호저수지 22.4%, 청천저수지 23.9%) 증가된 경향을 보였다. 각 저수지 유역의 홍수량 산정을 위해 유역매개변수를 산정하였으며, 손실우량방법으로 SCS-CN과 합성단위도법으로 Clark를 채택하였다. 또한, 분석한 강우시나리오를 모형의 강우인자로 입력하여 저수지 유역에 대한 홍수량 분석을 실시하였다. 저수지홍수추적모형을 구축하기 위해 저수지에 대한 내용적, 여수토 제원, 저수지관리수위를 입력하였다. 저수지홍수추적 결과, 기후변화를 고려한 Future PMP (RCP4.5, 2070년) 발생 시 고삼저수지, 금광저수지, 미호저수지, 청천저수지는 설계홍수위 이상의 수위발생으로 월류위험도가 높은 것으로 나타났으며, 현재 대비 미래기간의 최고수위는 청천저수지(+1.43 m), 금광저수지(+1.21 m), 광주저수지(+0.96 m), 동부저수지(+0.63 m), 미호저수지(+0.39 m), 고삼저수지(+0.29 m)순으로 증가하는 것으로 분석되었다. 홍수량 분석 및 저수지홍수추적을 실시한 결과, 기존 댐 시설물에 대한 노후화 및 기후변화로 인해 전반적으로 댐 수문학적 안전성이 낮은 것으로 분석되었다.
본 연구는 한 가지 기후변화시나리오(HadGEM3-RA, RCP 4.5, 2070년)에 따른 분석결과이므로, 향후에는 다양한 GCMs (Global Climate Models) 및 RCMs (Regional Climate Models)에 따른 기후변화시나리오를 이용하여 국내 댐 시설물 수문학적인 안전성 결과를 제시할 것이다.













