1. 서 론
2. 연구방법
2.1 대상유역 및 자료
2.2 기준증발산량 산정방법
3. 연구결과
3.1 강수량 및 평균기온에 대한 3분위 예측확률
3.2 상세화된 기온자료의 예측성 분석
3.3 기온예측정보를 활용한 증발산량 예측결과
3.4 월 기온 및 증발산량에 대한 3분위 확률전망
4. 결 론
1. 서 론
수문순환 과정의 한 요소인 증발산은 수체에서의 증발과 식생에서의 증산에 의해 유역으로부터 물이 제거되는 주요 기작으로서 남극 및 해양지역을 제외한 대부분의 유역에서 유출량보다 크게 나타나며, 전 세계적으로 지면에 내린 강수량의 약 62%가 증발산되고 있다(Dingman, 1994). 증발산은 지하수와 지표수에 대한 물수지 분석에 있어 매우 중요한 인자이며, 국지적 혹은 대륙 규모의 기후변화나 환경변화를 예측하기 위해서도 정확한 측정과 정량적 분석이 필수적이다(Chae et al., 1999). 또한 증발산은 침투, 유출 등과 함께 수문학적 물 순환 과정에 있어 큰 비중을 차지하며(Oh et al., 2002), 농업적 측면에서도 작물의 용수 수요량을 결정하는 핵심적인 인자로서, 효과적이고 지속적인 수자원 관리를 위해서는 증발산량에 대한 정확한 예측이 매우 중요하다.
최근의 연구들에 의하면 미래기간의 증발산량을 예측하는 방법은 크게 2가지로 구분할 수 있다. 하나는 수치모형(numerical weather prediction models, NWPMs)이나 기후모형(global climate models, GCMs)과 같은 역학적 모형에서 도출된 기상인자들과 증발산량 산정 이론식을 이용하는 방법이며, 다른 하나는 전지구 기후지수들이나 지역의 기상변수들과의 상관성을 기반으로 통계적인 관계식을 도출하여 기준증발산량을 예측하는 것이다. 전자의 방법과 같이 수치모형 및 기후모형을 이용한 연구로서 Tian and Martinez (2012)는 National Centers for Environmental Prediction (NCEP)의 Global Forecast System (GFS)에서 예측된 자료를 이용하여 FAO-56 Penman-Monteith (Allen et al., 1998) (이하 FAO PM) 방법으로 미국 남동부의 기준증발산량을 예측하였으며, Tian et al. (2014)과 McEvoy et al. (2015)은 기후예측모형인 CFSv2에서 예측된 자료와 FAO PM 방법을 이용하여 미국 지역을 대상으로 기준증발산량에 대한 수개월 전 예측 가능성을 제시한 바 있다. 또한 Park et al. (2017), Rajabi and Babakhani (2018), Bayatvarkeshi et al. (2020), Liu et al. (2021) 등은 GCM에서 예측된 기상인자를 이용하여 FAO PM과 같은 이론적 산정식에 의해 수십 년 이상의 미래기간에 대한 기준증발산량을 예측한 바 있다. Chirico et al. (2018)은 이탈리아 남부 지역에 대해 수치적 기상예측 모형으로부터 5일 리드타임을 가진 기상자료를 예측하여 잠재증발산량 예측에 활용하기도 하였다. Zhao et al. (2019)의 연구에서는 Australian Community Climate and Earth System Simulator-Seasonal (ACCESS-S1) GCM 모형의 예측값을 활용하여 호주의 3개 지점을 대상으로 FAO PM 기준증발산량을 예측하였으며, Yan and Mohammadian (2020)은 Geophysical Fluid Dynamics Laboratory (GFDL)에서 개발한 Earth System Model (ESM)의 한 버전인 ESM2M에서 도출된 기상인자를 이용하여 주로 과거기간을 중심으로 일 기준증발산량의 예측성을 평가하였다.
후자의 통계적 방법과 관련해서는 Alves et al. (2017)이 브라질의 사탕수수 생산지역을 대상으로 기온자료만을 이용하는 인공신경망 모형을 적용하여 1일 전의 기준증발산량을 매우 정확하게 예측할 수 있음을 제시하였으며, Xu et al. (2019)과 Zhao et al. (2020)은 각각 중국의 장강 지역과 닝샤후이족 자치구 지역을 대상으로 FAO PM으로 산정된 기준증발산량과 글로벌 기후지수들간의 원격상관성을 분석하여 월별 및 계절별 기준증발산량의 예측 가능성을 제시한 바 있다. Ashrafzadeh et al. (2020)의 연구에서는 이란 북부 지역을 대상으로 3가지 통계적 방법(seasonal autoregressive integrated moving average, support vector machine, group method of data handling)과 FAO PM에 의한 기준증발산량을 비교하여 다양한 예측선행기간에 대해 적합한 통계적 방법을 제안하였다. Lu et al. (2020)은 중국의 아열대 지대를 대상으로 extreme gradient boosting (XGBoost) 머신러닝 방법과 Grey Wolf Optimizer (GWO) 최적화 기법을 결합한 하이브리드 GWO-XGB를 제안하고 기존의 머신러닝 방법들과 비교하여 리드타임 1~3개월에 대한 기준증발산량의 예측성을 평가한 바 있다.
상기와 같이 미래 예측기간은 수치모형이나 기후모형의 예측기간 또는 통계적 모형의 예측인자를 구성하는 전지구 기후지수들의 선행기간에 따라 좌우된다. 연구에 따라 길게는 향후 수십 년에 대한 예측성을 평가한 것도 있으며(Park et al., 2017; Rajabi and Babakhani, 2018; Bayatvarkeshi et al., 2020; Liu et al., 2021), 짧게는 하루에서 수일 뒤의 예측성을 평가하기도 하였다(Alves et al., 2017; Chirico et al., 2018). 그러나, 실제 유역에서의 수자원 운영이나 농업용수 관리 등을 위해서는 수개월 또는 계절 규모의 예측이 중요하다. 따라서 이를 위해서는 증발산량 산정에 필요한 기상인자들에 대해 수개월 이후의 정확한 예측자료가 필요하거나, 글로벌 기후인자 및 관련 기상변수들을 이용한 통계적 모형의 예측성 확보가 필수적이다.
본 연구에서는 월 또는 계절 규모의 신뢰성 있는 기상 예측정보를 도출할 수 있는 통계적 모형을 활용하여 예측모형으로부터 도출된 기상자료를 기반으로 기준증발산량을 산정함으로써 월 단위 또는 수개월 이후의 미래기간에 대한 기준증발산량의 예측 가능성을 평가하고자 한다.
2. 연구방법
2.1 대상유역 및 자료
본 연구에서는 기준증발산량에 대한 계절 및 월 단위 예측을 위해 기온자료에 대한 장기예측 정보와 기온기반의 기준증발산량 산정방법을 활용하였다. 대상지역은 Fig. 1과 같이 한강권역으로서 전체 면적은 약 41,947 km2로 한반도 면적의 약 19%를 차지한다. Fig. 1에 표시된 종관기상관측(automated synoptic observation system, ASOS) 지점은 40년 이상의 관측자료를 보유하고 있고 현재도 기상청에서 운영하고 있는 15개 지점들을 나타낸 것이다.
한강권역에 대한 기온예측정보는 Kim et al. (2021)에서 도출한 1992년 1월부터 2020년 12월에 대한 월별 예측결과를 활용하였다. Kim et al. (2021)은 예측인자로서 글로벌 기후지수 39개와 한강권역에 대한 8개의 기상요소를 활용하여 월 평균기온과의 원격상관성을 기반으로 1~12개월에 대한 선행예측이 가능한 통계적 모형을 구성하였으며, 분석기간에 대한 월 평균기온의 예측성을 분석한 결과 PBIAS (percent bias) -1.4~- 0.7%, RSR (ratio of the root mean square error to the standard deviation of the observations) 0.15~0.16, NSE (Nash-Sutcliffe efficiency) (Nash and Sutcliffe, 1970) 0.98, r (Pearson correlation coefficient) 0.99 등의 높은 적합도를 제시한 바 있다.
예측된 월 단위의 기온자료에 대해서는 Kim et al. (2019)의 방법을 이용하여 Fig. 1에 제시한 15개의 기상청 ASOS 관측지점을 대상으로 시공간적인 상세화를 수행하였다. Kim et al. (2019)의 방법은 강수량과 기온의 예측결과에 대한 3분위 확률정보와 상세화 대상지점별 관측된 과거자료의 통계적 특성을 고려하여 강수량 및 기온에 대한 상세화를 수행한다. 3분위 확률정보는 각 예측대상월과 동일한 월에 대한 과거 30년간의 관측값을 크기에 따라 3개 구간(0~33.3%, 33.3~66.7%, 66.7~100%)으로 구분하여 예측결과가 각 구간에 포함될 확률을 분석하여 산정하였다. 상세화 과정에서 먼저 기온에 영향을 미치는 강수량에 대해 기상발생(weather generator, WG) 모형을 구축하여 다양한 시나리오를 생성하고, 생성된 강수 시나리오와 기온의 월 특성에 의해 구축된 기온에 대한 WG를 이용하여 다양한 기온 시나리오를 생성하게 된다. 따라서, 기온자료의 상세화를 위해서는 기온에 대한 3분위 예측확률뿐만 아니라 강수량에 대한 3분위 예측확률이 필요하며, 본 연구에서는 강수량에 대해 Kim et al. (2021)의 연구와 같은 방법으로 장기예측을 수행하였다. 또한 분석기간을 추가하여 1991년 1월부터 2021년 12월까지의 기온 및 강수량에 대한 3분위 예측확률정보를 도출하고 기온자료의 상세화에 활용하였다.
상세화된 결과의 불확실성을 최소화하고 상세화 과정에 따른 계산시간 등을 고려하여 각 예측선행기간별로 1000번의 상세화를 수행하였다. 즉, 상세화 과정을 통해 15개 기상관측지점별로 예측선행기간(1~12개월)에 따라 일 최고기온과 최저기온에 대한 총 1000개의 시나리오를 도출하였으며, 각각의 시나리오에 따라 기준증발산량을 산정하였다.
2.2 기준증발산량 산정방법
증발산량을 직접 계측하는 것은 매우 제한적이기 때문에 통상 경험적이고 이론적인 방법에 의해 기준증발산량을 산정하여 간접적으로 추정하고 있다. 여러 이론적인 방법들 중에서 FAO-56 Penman-Monteith 방법(Allen et al., 1998)은 다양한 조건과 장기간의 자료를 기반으로 개발되었기에 관측값을 대신하여 표준화된 방법으로 많이 적용되고 있다. 그러나 이 방법은 최고/최저기온, 일조시간, 상대습도, 풍속 등 많은 기상인자들을 요구하기 때문에 일부 기상인자의 결측기간이나 미계측지역에 대한 적용을 위해 다양한 대안방법들이 개발되어 활용되고 있다(Kim et al., 2020a).
대안방법들은 사용되는 기상자료의 종류 및 이론식의 형태에 따라 기온기반(temperature-based), 일사량기반(radiation-based), 질량이동기반(mass transfer-based), 조합기반(combination-based) 방법 등으로 구분할 수 있다. 그러나, Droogers and Allen (2002)이 언급한 것처럼 기준증발산량 산정과정에서 상대습도, 풍속, 일사량 등으로부터 발생하는 불확실성이 기온에 의한 불확실성보다 5~25배 정도 크다는 것을 감안할 때, 일부 기상요소가 결측되거나 품질문제가 우려되는 기간에 대해 적용할 경우에는 가장 간단하지만 기온자료만을 이용하는 방법들이 유용하게 활용될 수 있다(Kim et al., 2020a).
Kim et al. (2020a)은 7가지의 대안방법(Hamon, Hargreaves-Samani, Thornthwaite, Hansen, Jensen-Haise, Makkink, Priestley-Taylor)과 FAO PM과의 비교를 통해 우리나라 73개 ASOS 지점에 대해 월별 변동형 보정계수를 도출한 바 있으며, 보정 후 FAO PM 방법과의 월별 편차를 ‑11~+1 mm 이내로 크게 개선시킬 수 있음을 제시하였다. 특히 기온기반의 3가지 방법들(Hamon, Hargreaves-Samani, Thornthwaite)의 편차는 ‑3~+1 mm 이내로 나타났다.
본 연구에서는 기준증발산량 산정방법으로 Kim et al. (2020a)에서 적용한 기온기반의 방법들 중에서 Hamon 방법(Hamon, 1960; 1963)을 활용하였다. Hamon 식을 이용한 기준증발산량 산정방법은 다음과 같다.
여기서, ETo : 일 기준증발산량 (mm/day), k : 보정계수(=1.2), N : 최대가능일조시간(hr), : 포화수증기압(kPa), : 일 평균기온(℃)이다.
Eq. (1)에서 보정계수 는 Kim et al. (2020a)에서와 같이 기존 연구들(Lu et al., 2005; Lang et al., 2017)에서 제시되었던 1.2를 적용하였으며, 최대가능일조시간 N과 포화수증기압 는 Allen et al. (1998)에서 제시한 방법을 이용하여 다음과 같이 산정하였다.
여기서, : 태양적위(rad), J : 쥴리안데이(1부터 365 또는 366), : 일몰시간각도(rad), : 위도(rad), (T) : 기온 T 에서의 포화수증기압(kPa), T : 기온(℃)이다.
Kim et al. (2020a)과 Xystrakis and Matzarakis (2011)에서도 언급한 바와 같이 Hamon 방법을 비롯한 대안방법들은 대부분 특정한 기후조건에서 개발된 경우가 많기 때문에 기후조건이 다른 지역에 적용할 경우에는 먼저 대상지역의 장기간의 자료를 이용한 보정이 필요하다. Kim et al. (2020a)의 연구에서는 다음과 같이 FAO PM 방법과의 비교를 통해 월별 변동형 보정계수를 도출하였다.
여기서, 는 월에 대한 Hamon 방법의 보정계수, 는 Hamon 방법의 월 기준증발산량(mm/month), 는 FAO PM 방법에 의한 월의 기준증발산량(mm/month)이다.
Table 1은 각 지점별로 도출된 월별 변동형 보정계수로서, 보정계수가 1보다 크면 보정하지 않은 Hamon에 의한 기준증발산량이 FAO PM 보다 작게 산정된다는 의미이고, 1보다 작으면 크게 산정됨을 의미한다(Kim et al., 2020a).
Table 1.
Monthly correction coefficient for each site
3. 연구결과
3.1 강수량 및 평균기온에 대한 3분위 예측확률
2.1절에서 기술한 바와 같이 Kim et al. (2019)의 상세화 방법을 적용하기 위해서는 기온뿐만 아니라 강수량에 대해서도 3분위 예측정보가 필요하기 때문에, Kim et al. (2021)에서와 동일한 방법으로 강수량에 대해 월별 예측을 수행하였다.
Fig. 2는 1991~2021년에 대해 예측된 월 강수량 자료의 중앙값을 관측값과 비교하여 예측선행기간에 따라 PBIAS, RSR, NSE, r 등의 적합도(Goodness of fit, GOF)를 분석한 것이다. 월 강수량에 대한 PBIAS는 ‑0.3~+1.7%, RSR은 0.69~0.72, NSE는 0.48~0.52, r은 0.70~0.73으로 Kim et al. (2021)에서 분석한 평균기온에 비해서는 적합도가 떨어지는 것으로 나타났다. 이는 Kim et al. (2020b)에서 제시한 2010~2019년에 대한 한강권역의 월 강수량의 예측성 분석결과와 비슷하다. 통계적 모형의 특성상 선행기간에 따른 적합도의 증감 특성은 나타나지 않았다.
Fig. 3은 예측범위 안에 실제 관측값이 포함될 확률을 산정한 것으로, 푸른색 점선은 모든 월에 대한 평균값을 나타낸 것이다. 7월이 64%로 가장 낮은 적중률을 보인 반면, 4월은 87%로 적중률이 가장 높은 것으로 분석되었다. 모든 월에 대한 평균 적중률은 77.4%로 Kim et al. (2021)에서 분석한 평균기온에 대한 적중률(64.4%) 보다 높게 나타났다.
상세화 과정에 필요한 3분위 예측확률을 도출하기 위하여 예측선행기간(1~12개월)에 따라 산정된 1000개의 예측값을 과거 30년 자료의 3분위 구간(0~33.3%, 33.3~66.7%, 66.7~100%)에 포함될 확률을 분석하여 과거대비 많음/높음(above normal), 과거 수준(near normal), 과거대비 적음/낮음(below normal)에 대한 예측확률을 산정하였다. 예를 들어 Fig. 4는 2019년 12월에 예측된 2020년 1월~12월의 강수량과 평균기온에 대한 3분위 예측확률을 나타낸 것으로, 2020년 5월의 경우 강수량은 과거보다 많이 내릴 확률이 높으며, 평균기온은 과거보다 높거나 과거 수준일 확률이 높음을 의미한다.
3.2 상세화된 기온자료의 예측성 분석
Kim et al. (2019)의 방법에 따라 1991년 1월부터 2021년 12월에 대해 각 월별로 예측된 한강권역의 월 강수량 및 평균기온에 대한 3분위 확률정보를 기반으로 시공간적인 상세화를 수행하였다.
Fig. 5는 15개 지점 중 서울(108) 지점의 월평균 최고기온에 대한 상세화 결과와 관측값을 비교한 것이며, Fig. 6은 월평균 최저기온에 대한 비교 결과이다. Figs. 5 and 6에서 회색음영은 1~12개월 선행기간별로 예측된 결과를 모두 취합한 예측범위를 나타내며, 붉은색 선과 푸른색 점은 각각 예측값의 중앙값과 해당 월의 실제 관측값이다. 예측범위는 연도별 월별로 차이가 크게 나타나고 있으며, 붉은색 선으로 표기한 예측값의 중앙값은 기온자료의 특성상 연도별 큰 차이없이 일정한 경향을 보이고 있다. 예측결과의 중앙값과 관측값을 비교하면 예측결과의 불확실성과 상세화 과정에서의 불확실성 등으로 인해 일부 기간에서 차이가 크게 나타나기도 하지만 대체로 관측값과 유사하게 상세화가 수행된 것을 알 수 있다.
나머지 14개 지점들의 상세화 결과 또한 비슷하게 나타났다. Figs. 7 and 8은 각각 상세화 결과로부터 도출된 월평균 최고기온과 최저기온에 대한 중앙값과 해당 월의 관측값을 비교하여 분석한 적합도(goodness-of-fit) 결과이다. 지점에 따른 적합도 결과는 월평균 최고기온에 대해서는 PBIAS는 1.3~6.9%, RSR은 0.22~0.27, NSE는 0.93~0.95, r은 0.97~0.98이었으며, 월평균 최저기온에 대해서는 PBIAS는 7.8~44.7%, RSR은 0.21~0.25, NSE는 0.94~0.96, r은 0.98~0.99로 PBIAS를 제외하고는 지점간의 차이는 크지 않은 것으로 나타났다. 월평균 최고기온과 최저기온 모두 Kim et al. (2021)에서 제시한 한강권역 전체의 평균기온에 대한 적합도 보다는 다소 낮은 것으로 나타났다.
3.3 기온예측정보를 활용한 증발산량 예측결과
상세화된 기온자료에 의해 산정된 기준증발산량과 실제 관측값을 비교하기 위해 각 지점별 산정된 일 단위의 값을 평균하여 월 단위로 취합한 후 한강권역 전체에 대해 면적평균하였다. 이때 관측값은 타 연구(Lee and Park, 2008; Lee et al., 2008; Droogers and Allen, 2002; Xu and Singh, 2002; Fooladmand and Haghighat, 2007; Ahmadi and Fooladmand, 2008; Cristea et al., 2013; Abd El-Wahed and Abd El-Mageed, 2014; Valipour, 2015a, 2015b; Almorox and Grieser, 2016; Peng et al., 2017; Tegos et al., 2017; Gurski et al., 2018; Chang et al., 2019)에서도 많이 활용하는 것처럼 FAO PM 방법으로 산정한 값을 활용하였다.
Fig. 9는 분석기간(1991~2021년)에 대해 기준증발산량의 예측값과 관측값(FAO PM에 의한 계산값)을 비교한 것으로, 관측값은 2021년 9월까지만 표기되어 있다. 앞선 Figs. 5 and 6에서와 같이 회색음영은 1~12개월 선행기간별로 예측된 결과를 모두 취합하여 도시한 것이며 붉은색 선은 예측값의 중앙값을 나타내고, 푸른색 점은 해당 월의 실제 관측값을 나타낸 것이다. 2014년~2021년 여름철에 대해 예측치의 중앙값이 관측치와 다소 차이를 보이고 있으나 다른 기간에 대해서는 대체로 관측치와 유사한 것으로 나타났다. Kim et al. (2021)의 연구에서는 2014년~2020년 여름철 기온도 관측값과 잘 일치하고 있기 때문에 이 시기의 기준증발산량의 차이는 상세화 과정에서의 불확실성에 의해 기인한 것으로 추측된다.
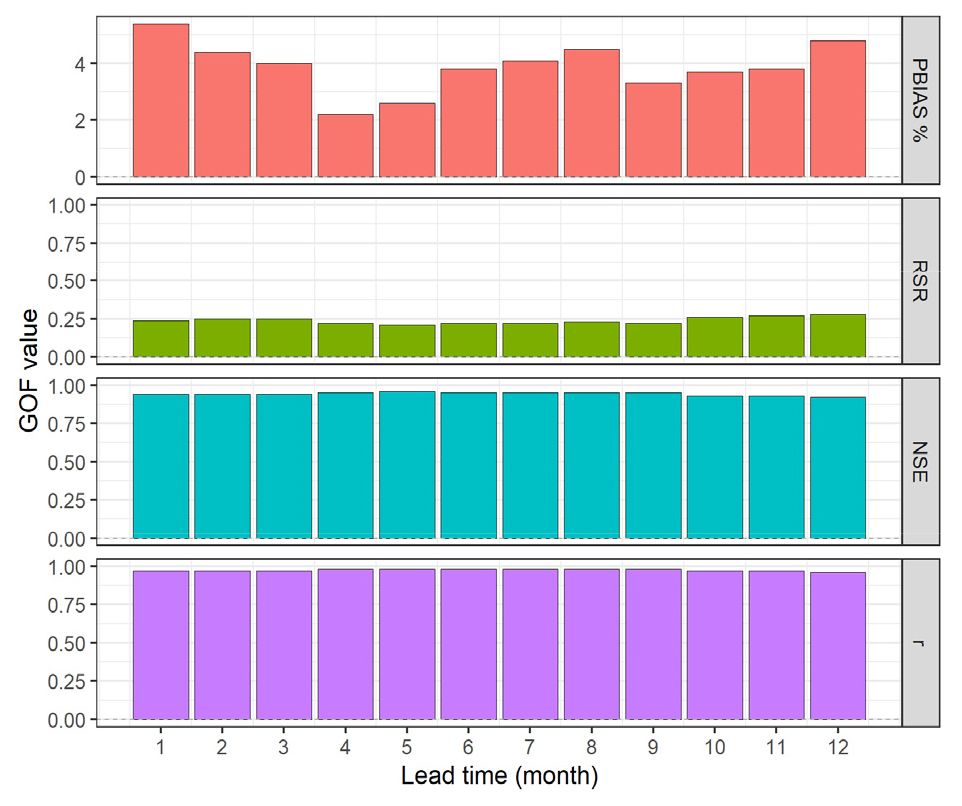
Fig. 10은 예측된 기준증발산량의 중앙값과 관측값을 비교하여 예측결과의 적합도를 예측선행기간별로 분석한 것이다. PBIAS는 2.2~5.4%, RSR은 0.21~0.28, NSE는 0.92~0.96, r은 0.96~0.98로 매우 높은 적합도를 나타내었다. Fig. 10의 결과만으로 판단할 때에는 4~5개월 전에 예측한 결과가 가장 상대적으로 적합도가 높게 나타났으나, 앞서 제시한 Fig. 2의 강수량에 대한 결과나, Kim et al. (2021)에서 제시한 기온에 대한 결과와 같이 선행기간에 따른 적합도의 증감이나 경향은 나타나지 않았다.
Fig. 11은 예측치의 최소~최대 범위 안에 관측치가 포함될 확률을 월별로 분석한 것으로 푸른색 가로선은 모든 월에 대한 평균을 의미한다. 월별로 최소 89.8%(7월)에서 최대 100% (11월), 평균은 94.8%로 Kim et al. (2021)의 연구에서 제시된 평균기온에 대한 적중률(64.4%)보다 높은 것으로 나타났다.
3.4 월 기온 및 증발산량에 대한 3분위 확률전망
마지막으로 예측모형을 활용하여 현재 관측되지 않은 미래의 기간에 대한 예측을 수행하고 예측결과에 대한 3분위 예측확률을 분석하였다. Fig. 12는 2021년 9월에 예측한 2021년 10월부터 2022년 9월에 대한 월별 예측결과와 해당 월을 기준으로 과거 30년간의 관측결과를 비교한 것이다. 회색음영은 과거 자료에 대한 관측범위를 의미하며, 붉은색 박스플롯은 예측범위를 나타낸 것이다. 예측시점인 2021년 9월을 기준으로 2021년 10월은 예측선행기간이 1개월이며, 2022년 9월은 12개월을 의미한다. 즉 Fig. 12와 같이 예측시점을 기준으로 미래 1~12개월에 대한 결과를 제시할 수 있다. Fig. 13은 각 월의 예측결과와 과거자료를 비교하여 3분위 확률로 산정하여 나타낸 것이다. 즉, 2021년 10월~2022년 2월과 2022년 9월은 과거보다 기준증발산량이 증가할 것으로 전망되며, 2022년 5월~7월은 과거보다 감소할 것으로 전망되고 있다.
4. 결 론
유역 내 수문순환 해석 및 수자원 계획, 농업용수 관리 등을 위해서는 계절 또는 월 단위 이상의 장기간의 미래에 대한 증발산량의 정확한 예측이 중요하다. 본 연구에서는 기존 연구(Kim et al., 2021)에서 도출된 한강권역에 대한 월 평균기온 예측정보와 기온기반의 기준증발산량 산정방법(Kim et al., 2020a)을 적용하여 기준증발산량에 대한 장기전망을 수행하였다. 월 단위로 예측된 기온정보를 지점별 증발산량을 위해 필요한 일 자료로 변환하기 위하여 Kim et al. (2019)에서 제시된 시공간적 상세화 방법을 적용하였다. 상세화 과정에서 필요한 강수량과 평균기온에 대한 3분위 확률정보를 도출하기 위해 강수량에 대해서도 기온과 동일한 방법으로 통계적 장기예측을 수행하였다. 기온에 대한 3분위 확률정보는 Kim et al. (2021)의 연구에서 도출된 예측결과를 활용하였다.
강수량에 대한 적합도는 PBIAS는 ‑0.3~+1.7%, RSR은 0.69~0.72, NSE는 0.48~0.52, r은 0.70~0.73 등으로 Kim et al. (2021)에서 분석한 평균기온에 비해서는 적합도가 떨어지는 것으로 나타났으나, 예측범위 안에 실제 관측값이 포함될 확률은 월 평균 77.4%로 평균기온에 대한 적중률(64.4%) 보다 높게 나타났다. 기준증발산량 산정을 위해 직접적으로 활용되는 지점별 상세화된 기온자료는 일부 기간에 대해 관측치와 차이가 크게 나타나기도 하지만 대체로 관측값과 유사하게 상세화가 수행된 것을 알 수 있다. 지점별 상세화된 기온자료의 적합도를 분석한 결과, 월평균 최고기온에 대해서는 PBIAS는 1.3~6.9%, RSR은 0.22~0.27, NSE는 0.93~0.95, r은 0.97~0.98이었으며, 월평균 최저기온에 대해서는 PBIAS는 7.8~44.7%, RSR은 0.21~0.25, NSE는 0.94~0.96, r은 0.98~0.99로 PBIAS를 제외하고는 지점간의 차이는 크지 않은 것으로 나타났다.
과거기간(1991년 1월~2021년 9월)을 대상으로 상세화된 기온자료를 이용하여 Hamon 방법에 의한 기준증발산량을 산정하였으며, 산정한 기준증발산량의 중앙값을 관측값(FAO PM으로 산정한 값)과 비교한 결과, PBIAS는 2.2~5.4%, RSR은 0.21~0.28, NSE는 0.92~0.96, r은 0.96~0.98로 매우 높은 적합도를 나타내었다.
본 연구는 강수량에 비해 상대적으로 높은 평균기온에 대한 예측성, FAO PM 방법과의 편차를 최소화하기 위해 월별 변동형 보정계수를 적용한 기온기반의 기준증발산량 산정방법, 월 단위 예측결과의 상세화에 적합한 시공간적 상세화 방법 등이 종합하여 나타난 결과라고 볼 수 있다. 그러나 통계적 모형의 특성상 과거와 전혀 다른 기온이 관측되는 경우의 예측성 저하, 시공간적 상세화 과정에서의 불확실성 등으로 인해 일부 기간에 대해서는 관측값과 다소 차이를 보이고 있다. 특히 Fig. 1에 나타난 것처럼 상세화 지점들이 주로 대상지역의 중부 및 남부에 위치하고 있어 대상지역 전체에 대한 면적평균값의 도출이나 상세화 과정에서 나타날 수 있는 불확실성이 크게 우려되는 상황이다. 향후 북부의 미관측 지점이나 타 관측지점의 자료를 보완하여 상세화 지점을 확대하는 한편, 월 평균기온 예측과정에서 필요한 과거의 다양한 특성을 반영할 수 있는 예측인자들을 추가함으로써 불확실성을 개선할 수 있을 것으로 생각된다. 본 연구에서 도출된 바와 같이 일부 기간에 대해 예측된 기준증발산량이 관측치와 다소 편차를 나타내기도 하지만 미래기간에 대한 예측결과라는 점을 고려할 때, 미래의 가용수자원에 대한 평가 및 수자원 관리를 위한 지표로 충분히 활용성이 있을 것으로 판단된다.















