1. 서 론
2. 연구방법
2.1 연구지역 및 자료
2.2 기존의 공기동력학적 방법 적용식 검토
2.3 다변량 증발량식 검토
2.4 증발량 산정식 평가
3. 분석결과
3.1 공기동력학적 증발모형 보정
3.2 공기동력학적 증발모형 검정
4. 요약 및 결론
1. 서 론
수문순환과정에서 증발은 가용한 수자원의 최대 손실이며, 특히 최근에 빈번하게 발생하는 가뭄시기에 증발은 수자원관리 차원에서 매우 심각한 문제이다. 따라서 증발과정을 이해하고 증발량을 파악하는 것은 매우 중요하다. 과거 수행되어온 연구결과들에 의하면 증발량을 산정하는 방법에는 다양한 방법들이 있다. 이들 방법에는 물수지 방법(Harbeck et al., 1954; Lapworth, 1965; Gangopaphaya et al., 1966; Guitjens, 1982), 에너지수지 방법(Sene et al., 1991; Stannard and Rosenberry, 1991; Assouline and Mahrer, 1993), 공기동력학적 방법(Meyer, 1915; Horton, 1919; Rohwer, 1931; Penman, 1948; Harbeck et al., 1954; Harbeck, 1958; Romanenko, 1961), 그리고 조합법(Penman, 1948; Priestley and Taylor, 1972; Stewart and Rouse, 1976; Linacre, 1993) 등이 있다.
증발량을 산정하는 방법 중에 하나인 공기동력학적 방법은 수증기가 수표면으로부터 대기 중으로 전이되는 물리적 현상에 기초하여 증발량을 결정하는 방법이다(Harbeck, 1962; Goddard and Pruitt, 1966; Tanner, 1966; Weisman, 1975; Tyrvainen, 1978; Sill, 1981). 또한, 공기동력학적 방법은 증발량을 산정하는 가장 오래된 방법 중에 하나이지만(Dalton, 1802; Meyer, 1915; Penman, 1948), 증발수체 내의 열저류를 고려하고 있지 않으며, 또한 전반적으로 다른 증발량 산정방법들과 비교해서 식이 단순하고 보다 적은 기상자료를 필요로 하는 반면에 적절하게 증발량을 산정하는 것으로 발표되었다(Thornthwaite and Holzman, 1939; Meyer, 1944; Sverdrup, 1946; Sutton, 1949; Jensen, 1973). 따라서 최근까지도 저수지 수표면으로부터의 증발량을 산정하는 방법으로 사용되어지고 있으며, 다양한 형태의 경험공식들이 제안된 바 있다(Meyer, 1915; Horton, 1919; Rohwer, 1931; Penman, 1948; Harbeck et al., 1954; Harbeck, 1958; Romanenko, 1961). 우리나라에서는 Han and Lee (2005)가 해남농경지에 설치된 대형증발접시 증발량 산정을 위해 공기동력학적 방법을 적용한 바 있다.
공기동력학적 방법을 적용하여 증발량을 산정하는 경우 요구되는 기상요소자료는 풍속, 상대습도, 그리고 기온이다. 따라서 과거 연구자들은 연구 대상지역에 이들 기상요소자료들을 이용하여 증발식들의 매개변수를 경험적으로 추정함으로서 공기동력학적 방법을 이용한 지역별 증발량 산정식들을 제안하였으며, 이런 제안식들은 몇 가지 형식으로 구분할 수 있다. 본 연구에서는 과거 제안된 공기동력학적 증발량 산정식들을 몇 가지 형식으로 구분하고 일반화하여 증발량 산정모델을 유도하고, 우리나라에 적용이 가능한지를 분석하였다. 또한, 공기동력학적 방법에 기초한 증발량 산정을 위해 증발량과 기상요소(풍속, 포화미흡량, 기온, 대기압)와의 상관성에 기초한 다변량 선형회귀모델을 유도하고 그 적용성을 검토하였으며, 각 기상요소들의 상대적 중요도를 분석하였다.
2. 연구방법
본 연구에서는 우리나라 56개 연구지역에 대해서 증발량 산정방법 중에 하나인 공기동력학적 방법의 적용성을 검토하였다. 이를 위해 과거 제안된 공기동력학적 증발량 산정식들을 7가지 형식으로 구분하고 일반화하여 증발량 산정모델들을 유도하였다. 또한, 증발량과 기상요소들과의 상관성을 바탕으로 4가지의 다변량 선형회귀모델들을 유도하였다.
2.1 연구지역 및 자료
본 연구에서는 기상청에서 관리하는 기상자료의 가용성을 검토한 후, 우리나라 전국에 위치한 56개 기상관측지점을 선정하였으며, 56개 기상관측지점은 전국에 고루 분포되어 있어 우리나라 지역별 지리적 특성을 반영하고 있다(Fig. 1, Table 1). 본 연구에 사용된 기상자료는 월 자료로서, 소형증발접시 증발량, 풍속, 상대습도, 기온 등이다. 증발량 산정모델들의 보정 및 검정을 위해서 56개 연구지역의 자료기간을 전반부와 후반부로 구분하여 분석에 활용하였다(Table 1). 따라서 전반부 자료를 증발량 산정모델들의 보정에 활용하였고, 후반부자료를 증발량 산정모델들의 검정에 활용하였다.
Table 1. 56 climatological stations (Continue) ![]() | |
First half: data period for model calibration; Latter half: data period for model validation | |
2.2 기존의 공기동력학적 방법 적용식 검토
공기동력학적 방법(mass-transfer approaches)은 저수지증발량 산정을 위해서 폭 넓게 적용되어왔으며, 여러 연구자들에 의해서 다양한 형태의 경험공식이 제안된 바 있다. 공기동력학적 방법은 자유수표면에서 발생되는 증발량에 대한 Dalton (1802)의 이론에 기초한다. Dalton의 이론은 다음 Eq. (1)과 같이 나타낼 수 있다. Dalton (1802)에 의하면 수표면에서의 증발은 수표면 온도에서의 포화증기압(
)이 대기온도에서의 실제증기압(
)에 도달할 때까지 계속되며, 증발률(
)은 상수
에 비례한다. 상수
는 물리적으로 공기동력학적 저항의 의미를 가지고 있고, 풍속, 표면의 거칠기 그리고 열적 유도 난류현상에 의해서 영향을 받는다. 이들 세 요소는 기상요소인 풍속과 밀접한 연관이 있다. Dalton (1802)은 증발표면이 작고 수심이 얕은 수체의 경우에 Eq. (2)를 제안하였고, 증발표면이 크고 깊은 수체의 경우에 Eq. (3)을 제안하였다.
(1)
(2)
(3)
여기서,
는 증발량(in/mon),
는 수표면 온도에서의 포화증기압(inches of Hg),
는 대기온도에서의 실제증기압(inches of Hg),
는 포화미흡량(vapor pressure deficit, VPD)이다.
Harbeck et al. (1954)은 Dalton (1802)의 증발량 산정식을 바탕으로 미국 Mead호에서 수행된 증발량 산정연구에서 다음과 같은 증발량 산정식 (4)와 (5)를 제안하였다. Harbeck et al. (1954)은 Dalton (1802)에 의해 제한된 식과 달리 증발현상에 미치는 공기동력학적 저항의 변동성을 고려하기 위해 풍속을 산정식에 반영하였다.
(4)
(5)
여기서,
는 증발량(in/day),
은 수표면으로부터 8 m지점의 풍속(miles/hour),
는 수표면으로부터 4 m지점의 풍속(miles/hour),
는 수표면 온도에서의 포화증기압(inches of Hg),
는 대기온도에서의 실제증기압(inches of Hg),
는 포화미흡량(inches of Hg)이다.
또 다른 형태의 공기동력학적 증발량 산정식으로 Fitzgerld (1886)는 증발량 산정식 (6)을 제안한 바 있고, Meyer (1915), Kuzmin (1957) 그리고 Penman (1948)은 각각 산정식 (7), (8) 그리고 (9)를 제안한 바 있다.
(6)
(7)
(8)
(9)
여기서,
는 증발량(in/month),
,
,
은 각각 수표면에서의 풍속(miles/hour), 수표면으로부터 2 m 지점의 풍속(miles/ hour) 그리고 수표면으로부터 8 m 지점의 풍속,
는 수표면 온도에서의 포화증기압(inches of Hg),
은 수면으로부터 30 ft 지점 대기온도에서의 실제증기압(inches of Hg),
는 대기온도에서의 실제증기압(inches of Hg),
혹은
는 포화미흡량(inches of Hg)이다.
한편 Rohwer (1931)는 기존의 공기동력학적 방법에서 적용되지 않은 기상요소인 대기압을 포함시켜서 다음과 같은 Eq. (10)을 제안한 바 있으며, Horton (1919)은 Eq. (11)을 제안한 바 있고, Harbeck (1958)은 풍속, 포화미흡량 그리고 평균수면온도와 대기온도의 차이를 이용하여 다음과 같은 증발량 산정식 (12)를 제안하였다.
(10)
(11)
(12)
여기서,
는 증발량(in/day),
는 수표면 온도에서의 포화증기압(inches of Hg),
는 대기온도에서의 실제증기압(inches of Hg),
는 포화미흡량(inches of Hg),
는 수표면에서의 풍속(miles/hour),
는 기압(inches of Hg),
는 평균기온(
+1.9
),
는 평균 수면온도(°C)이다.
Romanenko (1961)는 기온과 상대습도의 관계로부터 증발산량을 산정하는 다음과 같은 증발량 산정식을 제안하였으며, 본 연구에서는 증발접시 증발량 모의정도를 알아보기 위해 식의 적용성을 검토하였다.
(13)
여기서,
는 증발량(cm/month),
는 기온(°C),
는 상대습도(%)이다.
2.3 다변량 증발량식 검토
본 연구에서는 공기동력학적 방법을 이용한 증발량 산정에 필요한 기상요소자료의 상대적 중요도를 파악하기 위해 증발량과 기상요소 간에 다변량회귀(Multiple Linear Regression, MLR)분석을 실시하였다. 다변량회귀분석에 적용된 독립변수는 풍속, 포화미흡량, 기온, 그리고 대기압 등이다(Eqs. (14)~(17)). 또한 적용된 기후요소들은 시계열자료로서 회귀모형을 적용하고자 하는 경우 자기상관(autocorrelation)의 영향이 있는 것으로 알려졌다. 따라서 본 연구에서는 자기상관의 영향을 고려하기 위해 변수들을 차분시켜 회귀분석을 실시하고 자기상관을 고려하지 않은 경우와 비교하였으며, 비교한 결과 결정계수 값에 큰 차이가 없음을 확인하였다. 독립변수 사이에 공선성(collinearity)을 분석한 결과 독립변수 사이에 공선성의 문제는 없는 것으로 나타났다. Eq. (14)의 경우 풍속과 포화미흡량을 독립변수로 적용하였고, Eq. (15)의 경우 풍속, 포화미흡량, 기온을 독립변수로 적용하였다. Eq. (16)의 경우 풍속, 포화미흡량 그리고 대기압을 독립변수로 적용하였고, Eq. (17)의 경우 풍속, 포화미흡량, 기온, 대기압을 모두 독립변수로 적용하였다. 여기서 대기압은 다음 Eq. (18)를 이용하여 계산되었다(Allen et al., 1998).
(14)
(15)
(16)
(17)
(18)
여기서,
는 증발량(mm/day),
는 수면으로부터 2 m지점의 풍속(m/sec),
는 대기 온도에서의 포화증기압(
),
는 대기온도에서의 실제증기압(
),
는 포화미흡량(
),
는 기온(°C),
는 대기압(
),
는 표고(m)이다.
2.4 증발량 산정식 평가
공기동력학적 방법에 기초한 증발량 산정모델들을 유도하기 위해 식의 매개변수를 추정하고 유도된 식의 신뢰도검증을 위해 Nash-Sutcliffe efficiency (NSE)지수를 적용하였다. NSE 지수(Eq. (19))는 -∞에서 1까지의 범위를 가지고, NSE지수가 1인 경우 관측된 증발량과 증발모델로부터 산정된 증발량이 완전하게 일치하는 것을 의미한다. 0보다 큰 NSE 지수는 모델로부터 산정된 증발량이 용인되는 수준으로 판단하며, 반면에 0보다 작은 값은 용인될 수 없는 수준이다(Paul et al., 2011; Mkhwanazi, 2012).
(19)
여기서,
는
번째 월의 관측된 증발접시 증발량,
는
번째 월의 산정된 증발량,
는 전체기간 동안 관측된 증발접시 증발량의 평균값, 그리고
은 총 월 증발량 자료의 수이다.
3. 분석결과
3.1 공기동력학적 증발모형 보정
과거 연구자들에 의해서 제안된 공기동력학적 방법을 이용한 증발량 산정식들을 7가지 형식으로 구분하고 일반화하여 증발량 산정모델들을 유도하고, 우리나라 56개 연구지역의 전반부 기간자료(Table 1)를 모델들에 적용하여 매개변수를 추정하였다(Table 2). 모델 1 형식은 Dalton (1802)에 의해서 제안된 바 있으며, 모델 2 형식은 Harbeck et al. (1954)에 의해서 제안된 바 있다. 모델 3형식은 Fitzgerld (1886), Meyer (1915), Kuzmin (1957) 그리고 Penman (1948)에 의해서 제안된 바 있으며, 모델 4 형식은 Rohwer (1931)에 의해서 제안된 바 있다. 모델 5 형식은 Horton (1919)에 의해서 제안된 바 있으며, 모델 6 형식은 Harbeck (1958)에 의해서 제안되었고, 모델 7 형식은 Romanenko (1961)에 의해서 제안된 바 있다.
위에서 언급된 공기동력학적 방법을 적용한 증발량 산정모델들의 경우 수표면에서의 포화증기압과 대기온도에서의 실제증기압의 차를 포화미흡량으로 적용하고 있으나 본 연구에서는 수표면에서의 포화증기압자료가 존재하지 않아 대신에 대기온도에서의 포화증기압과 실제증기압의 차를 포화미흡량으로 적용하였으며, 수표면 온도 대신에 이슬점온도를 적용하였다. 또한 증발량과 공기동력학적 방법에 필요한 기상요소(풍속, 포화미흡량, 기온, 대기압)들 사이에 상관성을 바탕으로 한 다변량 선형회귀모델(모델 8~11)을 이용하여 증발량 산정식을 유도하였다.
Table 2는 증발량 산정을 위해 우리나라 56개 연구지역에서 공기동력학적 방법을 이용해 유도한 7가지 형태의 모델들(모델 1~7)과 다변량 선형회귀모델(모델 8~11)을 보여준다. 모델 2를 제외하고 모든 모델들이 양의 NSE지수 값을 보였다. 공기동력학적 방법을 이용한 모델들의 경우 모델 3 (NSE = 0.652)이 가장 양호한 증발량 산정결과를 보였다. 반면에 모델 2 (NSE = -0.004)의 경우 가장 낮은 NSE 지수를 보이고, NSE지수가 0보다 작은 값을 보여서 모델로부터 산정된 증발량 값의 신뢰도가 낮은 것으로 판단된다(Paul et al., 2011; Mkhwanazi, 2012). 공기동력학적 모델들과 비교하여 다변량 선형회귀모델의 경우 비교적 양호한 증발량 모의결과를 보였다. 다변량 선형회귀모델 중에서는 모델 11 (NSE = 0.712)이 가장 높은 NSE지수를 보였다. 모델 11의 경우 독립변수로서 풍속, 포화미흡량, 기온, 대기압을 적용하여 유도된 모델이다. 다음으로 풍속, 포화미흡량, 기온을 적용하여 유도한 모델 9 (NSE = 0.709)가 높은 NSE지수를 보였다.
다변량 회귀분석과정에서 발생되는 자기상관의 영향을 고려하면서 공기동력학적 방법에 기초한 증발량 산정에 필요한 기상요소(풍속, 포화미흡량, 기온)의 상대적 중요도를 파악하기 위해 증발량과 기상요소(풍속, 포화미흡량, 기온) 자료를 차분하여 다변량 선형회귀(Multiple Linear Regression, MLR)분석을 실시하였다(Tables 3 and 4). Table 3은 56개 지역의 전체 연구기간 중 전반부 자료를 이용하였으며, Table 4는 56개 연구지역의 전체 연구기간 자료를 이용하였다. Tables 3 and 4는 증발량과 기상요소(풍속, 포화미흡량, 기온) 자료를 차분하여 유도된 다변량 선형회귀모델(MLR 모델 8~11)로부터 증발량을 산정하는 경우 독립변수인 기상요소들의 상대적 중요도와 다변량 선형회귀모델의 적절성을 보여준다. 전반적으로 모든 형태의 MLR 모델에서 상당히 높은 F-값(F- value)과 결정계수 값을 보였고, p-값(p-value) 역시 0.000을 보여서 다변량 선형회귀모델이 종속변수인 증발량을 산정하는데 유용하다고 할 수 있다. 특히 Table 3의 경우 Table 2에서 적용된 차분(data differencing)하지 않은 자료를 이용한 MLR모델과 비교하여
값에 큰 차이가 없는 것으로 나타났다.
Table 4에서 보는 바와 같이 모델 8의 경우
는 0.693이고, 독립변수인 포화미흡량과 풍속 중에서 포화미흡량이 표준화계수
= 0.836을 보여서 표준화계수
= 0.063을 보인 풍속보다도 더 증발량 산정에 영향력이 큰 것으로 나타났다. 모델 9의 경우
는 0.697이고, 독립변수인 포화미흡량, 기온 그리고 풍속의 표준화계수(
)가 각각 0.783, 0.087, 0.077을 보여서 포화미흡량이 증발량 산정에 영향력이 가장 큰 것으로 나타났다. 모델 11에서 보는 바와 같이 모든 기상요소자료(풍속, 포화미흡량, 기온, 대기압)를 독립변수로 적용하는 경우 포화미흡량이 가장 중요한 기상요소인 것으로 나타났고, 다음으로 기온, 풍속 그리고 대기압인 것으로 나타났다. 또한 대기압을 제외한 기상요소(풍속, 포화미흡량, 기온)들이 증발량 산정에 통계적으로 유의한 것으로 나타났다. 또한 모델 11의 경우 모델 9와 비교하여 독립변수로서 대기압이 추가되었지만
값이 개선되지 않는 결과를 보였다. 따라서 연구지역의 고도에 영향을 받는 대기압의 경우 증발률에 큰 영향을 미치지 않는 것으로 판단된다.
Table 5는 11개 증발모델들의 매개변수 보정과정에서 56개 연구지역의 전반부기간 기상요소자료를 이용하여 산정된 월 증발량과 관측된 월 증발접시 증발량의 통계치를 보여준다. 56개 전 연구지역의 전반부기간 평균 월 증발접시 증발량은 101.49 mm/month이고, 표준편차는 46.67 mm/month, 그리고 왜곡도계수는 0.577을 보였다. 11개의 모델 중에서 모델 8, 9, 10이 증발접시 증발량과 가장 유사한 월 증발량 산정치를 보였다. 반면에 모델 2의 경우 전체 평균 월 증발량이 82.69 mm/month를 보여서 증발접시 증발량과 가장 다른 산정치를 보였다.
3.2 공기동력학적 증발모형 검정
Table 6은 11개 증발모델들의 매개변수 보정과정에서 56개 연구지역의 후반부기간 기상요소자료를 이용하여 산정된 월 증발량과 관측된 월 증발접시 증발량의 통계치를 보여준다. 56개 전 연구지역의 평균 월 증발접시 증발량은 98.12 mm/month이고, 표준편차는 43.98 mm/month, 그리고 왜곡도계수는 0.470을 보였다. 11개의 모델 중에서 모델 5가 증발접시 증발량과 가장 유사한 월 증발량 산정치를 보였다. 반면에 모델 6의 경우 전체 평균 월 증발량이 84.93 mm/month를 보여서 증발접시 증발량에 비해서 가장 큰 차이를 보였다.
Table 7은 우리나라 56개 전 연구지역의 후반부 기간자료와 개별 연구지역의 후반부 기간자료(Table 1)를 이용하여 11개의 증발량 산정모델들을 검정한 결과를 보여준다. Dark italic 숫자는 증발모델들로부터 산정된 증발량과 관측된 증발량으로부터 얻어진 NSE 지수를 순서대로 나열하였을 때 두 번째까지의 NSE지수 값을 보여준다. 56개 전 연구지역을 대상으로 증발모델을 검정한 경우에 11개 모델 중에서 모델 11이 가장 높은 NSE지수를 보였고 다음으로 모델 9가 높은 NSE지수를 보였다. 반면에 모델 2와 6의 경우 음(-)의 NSE지수 값을 보였다. 공기동력학적 방법에 기초한 모델들만 비교했을 때 Romanenko (1961)에 의해서 제안된 모델 형식이 가장 양호한 증발량 산정결과를 보였다.
Table 7. Evaluation of monthly pan evaporation estimates based on Nash-Sutcliffe efficiency (NSE) coefficient ![]() |
개별 연구지역에 대해서 11개의 증발모델들을 검정한 결과로 판단할 때, 공기동력학적 방법을 이용한 증발모델들은 연구지역별로 각기 다른 정도의 모의수준을 보이는 것으로 나타났다. 모델 1의 경우 56개 연구지역 중에서 8개 연구지역이 Dark italic 숫자로 표시되었으며, 모델 2의 경우 1개 연구지역, 모델 3의 경우 7개 연구지역, 모델 4의 경우 8개 연구지역, 모델 5의 경우 2개 연구지역, 모델 6의 경우 1개 연구지역 그리고 모델 7의 경우 5개 연구지역이 포함되었다. 또한 모델 2와 6의 경우 가장 많은 지역에서 음(-)의 NSE지수 값을 보이는 것으로 나타났다.
반면에 다변량 선형회귀모델들(MLR 모델 8~11)의 경우 56개 전 연구지역을 대상으로 증발량을 모의할 때와 각각의 연구지역을 대상으로 모의할 때 모든 경우에서 모델 11이 증발량을 가장 잘 모의하는 것으로 나타났다. 모델 11은 풍속, 포화미흡량, 기온 그리고 대기압 등을 독립변수로 포함하고 있다. 또한 모델 11에 적용된 기상요소자료 중에서 대기압이 포함되지 않은 모델 9 역시 증발량을 잘 모의하는 것으로 나타났다. 이러한 결과는 Table 3의 모델 11에서 보는 바와 같이 대기압이 다른 기상요소들과 비교하여 가장 작은 표준화계수 값을 보여서 증발량 산정에 중요도가 가장 낮은 것에 기인한다.
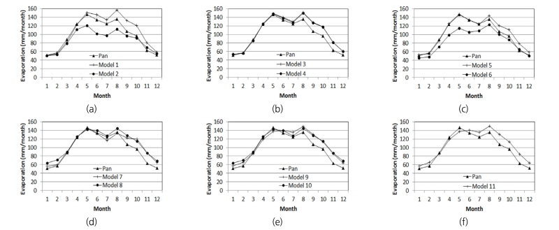
Fig. 2는 11개 증발 모델들의 검정과정에서 각각의 모델들로부터 산정된 월 증발량과 관측된 월 증발량과의 상관관계를 보여준다. 그림에서 보는 바와 같이 모델들로부터 산정된 증발량과 관측된 증발량 사이에 매우 높은 상관성이 있음을 알 수 있다. 특히 모델 매개변수 추정과정에서 보여준 바와 같이 모델 5가 가장 큰 결정계수 값(
)을 보여서 증발접시 증발량과 산정된 증발량사이에 매우 높은 상관성이 있음을 알 수 있다. 반면에 모델 11이 가장 작은 결정계수 값(
)을 보였다. 모델 2와 6은 모델로부터 산정된 월 증발량이 관측된 월 증발량과 비교하여 증발접시 증발량이 많은 경우 증발접시 증발량을 과소하게 산정하는 것으로 나타났고, 모델 7, 8, 9, 10, 11은 증발접시 증발량이 작은 경우 증발접시 증발량을 과대하게 산정하는 것으로 나타났다. Fig. 3은 모델들의 검정과정에서 각각의 모델로부터 산정된 증발량과 관측된 증발접시 증발량의 월 변화를 보여준다. 월 증발량 모의결과를 비교할 때 대체적으로 모델 2와 6을 제외하고 산정된 증발량이 관측된 증발량을 적절하게 모의하고 있는 것으로 판단된다. 하지만 대부분의 모델에서 전반적으로 8, 9, 10, 11, 12월에 증발량을 과다 산정하고 있는 것으로 나타났다.
4. 요약 및 결론
본 연구에서는 증발량 산정방법 중에 하나인 공기동력학적 방법에 기초한 경험식들을 7개의 모델 형식으로 일반화하고 모델 보정과 검정을 실시하여 그 적용성을 분석하였다. 모델 보정과 검정은 전국 56개 연구지역을 대상으로 실시하였으며, 분석결과에 의하면 모델 보정과정에서는 Fitzgerld, Meyer, Kuzmin 그리고 Penman 등에 의해서 제안된 바 있는 모델 형식이 가장 양호한 증발량 산정결과를 보였고, 반면에 모델 검정과정에서는 Romanenko에 의해서 제안된 모델 형식이 가장 양호한 증발량 산정결과를 보였다. 모델들의 보정과 검정과정에서 산정된 월 증발량과 관측된 월 증발량 사이에 매우 높은 상관성이 있는 것으로 나타났다.
또한, 공기동력학적 방법에 적용된 기상요소자료들을 독립변수로 이용하여 다변량 선형회귀모델을 유도하고 그 적용성을 검토하였으며, 각 기상요소들의 상대적 중요도를 분석하였다. 기상자료들의 자기상관의 영향을 고려하기 위해 변수들을 차분시켜 회귀분석을 실시하였고 자기상관을 고려하지 않은 경우와 비교한 결과 결정계수 값에 큰 차이가 없음을 확인하였다. 다변량 선형회귀모델의 경우 공기동력학적 방법에 기초한 경험식들과 비교하여 상대적으로 양호한 모의결과를 보였고, 다변량 선형회귀식에 이용된 기상요소(풍속, 포화미흡량, 기온)들은 대기압을 제외하고 모두 증발량 산정에 통계적으로 유의한 것으로 나타났으며, 적용된 기상요소들 중에서 포화미흡량이 가장 중요한 기상요소이고, 다음으로 기온, 풍속 그리고 대기압의 순이었다.














