1. 서 론
2. 연구대상 및 방법
2.1 기후변화 시나리오
2.2 저류용량-신뢰도-수요량 관계
2.3 RBSN의 성능 평가
3. 결과 및 분석
3.1 RCP 시나리오 하에서의 RBSN의 시스템 거동 변화
3.2 미래 기후변화 조건하 RBSN의 지역별 거동 변화
4. 결 론
1. 서 론
최근 도시 물관리 이슈에서 지속가능한 대응 방안으로 그린인프라 및 저영향개발기법(LID)이 필수적으로 대두되고 있다. 저영향개발기법 중 하나인 빗물집수시스템(rainwater harvesting system)은 지붕이나 지표면의 불투수층을 타고 흐르는 빗물을 컨테이너, 레인배럴(rain barrel) 등 다양한 형태의 저장소로 빗물을 저장하고, 저장된 빗물을 사용하거나 방류하는 시설로 일종의 빗물저류시설에 해당한다(Pacey and Cullis, 1986). 빗물집수시스템 설치는 지표수 유출과 첨두유량을 감소시킬 뿐만 아니라, 불규칙한 물 수요에 대해 유연한 대응을 가능케 하며, 지속 가능한 수자원 관리를 포함하여 물부족으로 인한 수재해 시 물안보에 기여할 수 있는 장점이 있다(Helmreich and Horn, 2009).
빗물집수시설에 대한 연구는 국내외에서 활발하게 이루어지고 있다. 국내에서 주로 불투수면의 증가로 인한 유출감소와 집수된 빗물의 수질정화 중심의 연구가 주로 이루어지는 반면, 국외에서는 대체 수자원으로서의 빗물에 초점을 맞추어 우수저장시설의 크기 최적화에 대한 연구가 주로 이루어져왔다. 빗물집수시스템의 성능과 안정성 향상을 위해서는 적절한 설계와 평가가 필수적이다(Mun and Han, 2012). 빗물집수장치를 개발하여 최대 집수능을 산정하여 이를 소규모 관개용수 확보 및 단기적 물부족 해소에 활용할 수 있으며(Choi et al., 2018), 실질적인 빗물 재이용을 위해 수요패턴과 장기강우패턴을 고려한 빗물이용시설 설계방법을 제시하였다(Kang et al., 2015). 빗물집수시설과같은 수자원 시스템은 용도와 규모에 따라 다양하게 분류되며 이들에 대한 재해 발생 시 적절한 대응능력과 그 성능에 대한 평가와 검증 또한 필수적이다(Kang et al., 2013).
빗물집수시설은 집수한 장소에서 별도의 이수나 처리없이 물 공급이 가능하다(Han, 2003)는 점을 제외하면 하천과 저수지, 다목적댐과 유사한 시스템을 가진다. 다목적댐의 물 공급 안정성 등과 같은 수자원 시스템의 성능을 정량적으로 평가하기 위해 신뢰도 등의 지표가 이용되고 있다(Lee et al., 2014). 저장고의 최적 용량을 결정하기 위해 SRY (Storage-Reliability-Yield) 관계 또는 빗물 공급과 수요를 저류시설에 연결하는 3차원 모델과 같은 접근방식을 사용한다. Asadieh and Krakauer (2016)는 강수량 분포의 변화가 빗물집수시스템(RWHS)의 신뢰도에 미치는 영향을 평가하였고, 강수량 분포가 일정하지 않은 지역의 물 공급 신뢰도가 감소함을 확인하였다. Jafarzadeh et al. (2017)는 GCM 시나리오를 사용하여 크리깅을 통해 대상지역의 위치에 보간된 월평균 강우량으로 빗물집수시스템의 성능을 평가했다. Haque et al. (2016)은 미래기후 시나리오를 통해 빗물집수시스템의 최적의 저류용량을 도출하여 그 성능은 우기보다 건기에 더 크게 나타날 것으로 평가했다.
단일 빗물집수시스템은 빗물의 저장과 사용이 동시에 가능하므로 이를 다수의 시스템과 상호 연결시켜 공유 네트워크(RBSN, Rain Barrel Sharing Network)를 구성할 수 있다. 각각의 빗물 저장소를 공유하게 되면 저장 가능한 총 용량이 늘어나며, 유동적인 재이용 또한 가능해진다. Seo et al. (2012, 2015)은 4개의 개별 빗물집수시스템으로 이루어진 가상의 RBSN을 구성하였으며, 연결망이 늘어날수록, 즉 연결의 정도가 커질수록 RBSN의 신뢰도가 증가하는 것을 확인하였다.
본 연구에서는 RBSN를 구성하는 빗물집수시스템이 연결 수에 따른 성능을 평가하기 위해 용수공급 시스템의 상태를 평가할 수 있는 신뢰도(reliability), 회복탄력도(resiliency) 및 취약도(vulnerability) 세 개의 지표를 사용하였다(Hashimoto et al., 1982). 이를 통해 빗물집수시스템의 물 수요에 따른 공급이 중단되는 상황이 얼마나 자주 발생되는지(신뢰도), 정상적인 시스템으로 전환되기까지 걸리는 시간이 얼마나 걸리는지(회복탄력도), 빗물집수시스템의 가동 중단으로 인한 피해가 얼마나 큰지(취약도)를 정량적으로 나타내어 기후변화 하에서 RBSN의 성능을 평가하고자 한다. 이러한 성능 기준을 우리나라 17개 시도(8개의 특, 광역시, 9개의 도)를 대상지역으로 선정하여 관측자료 및 RCP 기반 기후변화 시나리오별로 비교 분석하였다. 신뢰도는 위험도를 평가할 때 흔히 사용되는 중요한 지표이지만 단순히 물 공급이 중단되는 빈도만으로 평가하기보다는, 일정 수준의 신뢰도를 만족한다면 피해의 규모를 나타내는 취약도를 감소시키거나, 정상 시스템으로 전환되는 척도인 회복탄력성을 높이는 것이 타당하다고 할 수 있다.
2. 연구대상 및 방법
2.1 기후변화 시나리오
본 연구에서는 기상청에서 제공하는 HadGEM3-RA (해상도 12.5 km)의 결과를 활용하여 서울특별시 및 세종특별자치시를 포함한 8개의 특광역시와 경기도, 강원도 등 9개의 도의 지역 기후변화 시나리오로 구분된 기후변화 자료 중 강우량 자료를 사용하였다(Fig. 1). 본 연구의 분석에 사용한 기후변화 시나리오로는 IPCC 5차 보고서에 제시된 RCP (Representative Concentration Pathways)시나리오 중에서 현재와 같은 수준으로 온실가스 배출을 지속했을 시의 시나리오인 RCP 8.5와 실현 가능한 온실가스 감축 정책을 시행했을 때의 시나리오인 RCP 4.5를 사용하였다(Table 1).
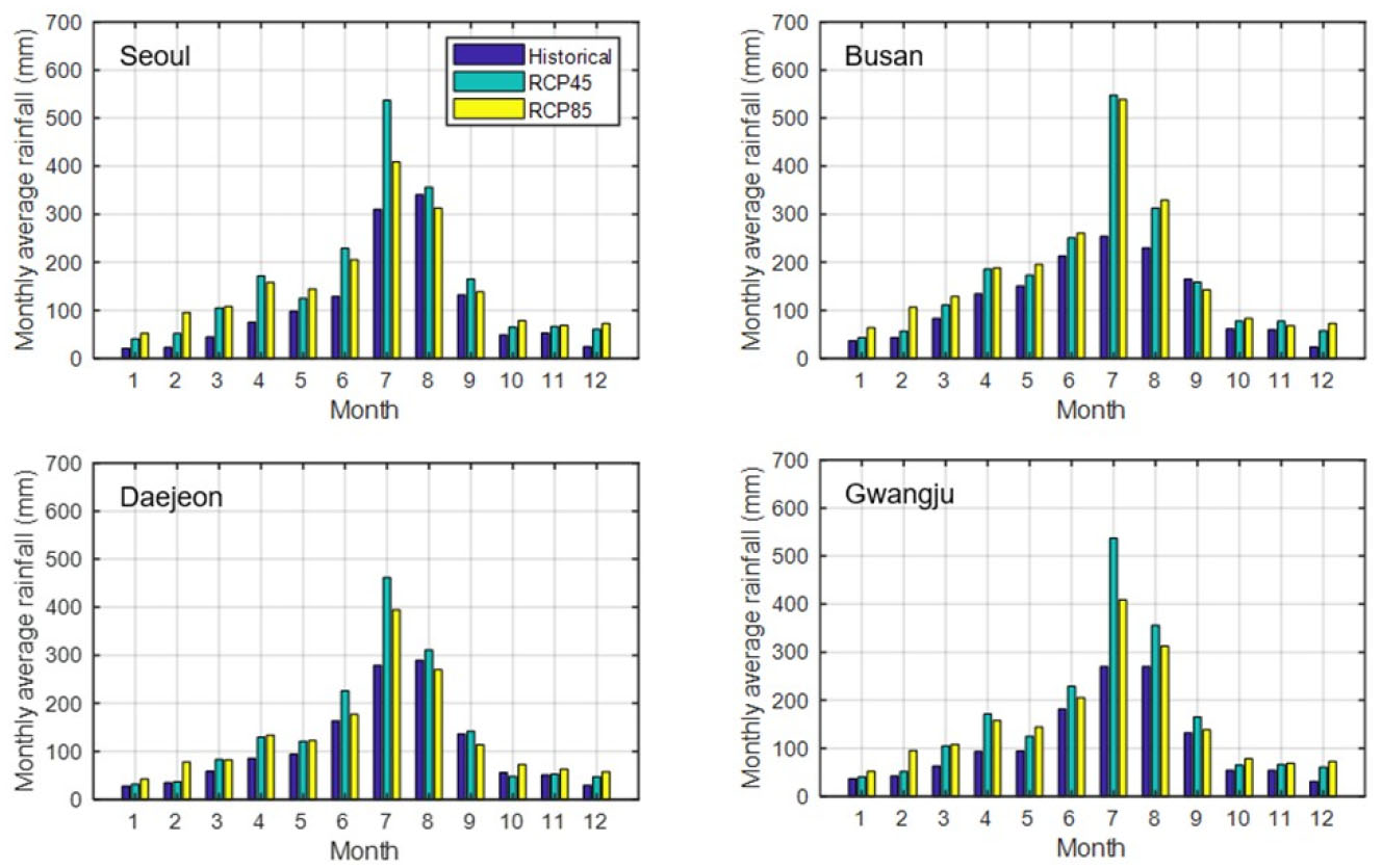
주요 특광역시의 관측자료 및 기후변화 시나리오별 월평균 강우량을 비교한 결과 온실가스 배출의 영향과는 무관하게 증가할 것으로 나타났다(Fig. 2). 특히 RCP 4.5 및 8.5에서 서울의 7월 평균 강우량이 각 199%, 186%씩 증가함을 확인할 수 있었다. 부산, 대전, 광주를 포함한 나머지 지역에서도 이와 유사한 결과를 보이고 있으며, 집중강우 및 태풍 발생 확률이 낮은 동절기에도 강수량이 증가하는 추세를 보이고 있음을 확인할 수 있다. 특히 RCP 4.5 시나리오를 가정한 경우 월별 강우량의 증가폭이 RCP 8.5 시나리오하의 증가폭 보다 오히려 크게 나타나는 것을 알 수 있었다.
Table 1.
Description of the representative concentration pathways (RCP) scenarios (IPCC, 2014)
2.2 저류용량-신뢰도-수요량 관계
빗물집수시스템의 저류용량 혹은 저수량은 물 수요와 강수량의 차이의 누적 합계로써 양수로 유지한다. 저류용량 Sr이 0미만이 되거나, 필요 용수량을 공급하지 못한다면 실패(failure) 상태가 되므로 시스템이 중단됨을 의미한다. 물 수요, 신뢰도 및 강수량을 결합하여 빗물집수시스템 저류용량을 계산하기 위해 질량보존 관계를 사용하여 다음과 같이 나타낼 수 있다.
주어진 목표 신뢰도에 필요한 저류용량을 계산하기 위하여 저류용량-신뢰도-수요량(Storage-Reliability-Yield, SRY)관계곡선을 사용하였다(Hanson et al., 2009). Eq. (1)에서 Sr은 단위면적당 빗물집수시스템의 저류용량(mm/m2)이고, X는 물 사용량 혹은 수요량으로서 마찬가지로 단위면적당 수심(mm/m2)으로 가정하였다. R은 시스템의 목표 신뢰도, P는 일별 강수량을 의미한다. 아래 식은 실제 모형에 적용된 무차원화된 수요량으로서 일평균강수량에 대한 비(α)로 나타냈다.
여기서 D는 일 수요량(mm/day), Ac는 집수면적(m2), 는 대상 지역의 일평균강수량(mm/day)과 같다.
여기서 Srreq는 목표 신뢰도를 달성하기 위한 빗물저류시스템의 용량의 크기(mm/m2), Sri는 i번째 사용자에게 필요한 빗물저류시스템의 용량(mm/m2), Ci는 RBSN에 속한 사용자들의 수요량의 합으로 얻어진 새로운 수요량이다. 이러한 새로운 수요량은 실제 사용자들이 어떻게 빗물저류시스템의 공유하는지에 따라 달라진다.
Fig. 3는 서울과 부산지역의 SRY 관계곡선을 비교한 것이다. 일반적으로 수요량이 증가함에 따라 같은 빗물집수시스템의 저류용량에 대해 신뢰도가 감소하는 것을 확인할 수 있다. 반대로 목표 신뢰도를 달성하기 위해서는 수요량이 증가함에 따라 더욱 큰 저류용량이 필요한 것을 알 수 있다. 앞서 언급한 바와 같이 수요량(α)은 해당지역 일평균 강우량의 비로 나타내므로 지역별 강우량의 차이와 상관없이 SRY곡선에는 강우의 시간적 분포 특성을 반영한 시스템 특성을 보여준다. 같은 비의 용량이라도 서울과 부산에서 얻을 수 있는 신뢰도에 다소 차이가 있음을 결과에서 알 수 있다. 예를 들어 단위 면적당 저류용량이 10 mm 일 경우 α가 0.1일 경우 서울 지역의 신뢰도는 80% 이상을 나타내는 반면, 부산지역의 신뢰도는 70%에 가까운 것을 알 수 있다. 반면 사용량이 많아지는 경우, 즉 α가 커질수록 부산지역의 신뢰도가 서울보다 높아지는 것을 알 수 있다.
실제 수요량은 다양한 목적과 다양한 사용 시기 및 주기를 가진 용수 사용량의 합으로 나타낼 수 있다. 이러한 고유의 수요량 변동성을 고려하는 것은 실제 수자원 시스템의 운용에 있어 매우 중요하다. 따라서 본 연구에서는 수요량을 일정한 값이 아니라 수요량의 변동성을 고려하여 정규대수분포를 가진 난수(random variable)로 생성하였다. 단 이때에도 평균 공급량(yield ratio)는 일평균 강우량에 대한 다양한 비로 가정하였다.
앞서 Eq. (3)에서는 RBSN을 고려한 공식을 제시한 바 있다. Fig. 4에 나타난 바와 같이 본 연구에서는 네 개의 빗물집수시스템을 공유하는 경우의 RBSN을 가정하였다. 이 경우 가능한 수요의 조합은 모두 14개이다. 총 인원인 4명 중 2명만이 공유하는 경우(N = 1)는 6가지 경우가 있으며, 4명 중 3명이 공유하는 경우(N = 2)는 7가지 경우가 있다. 마지막으로 4명 모두 서로의 빗물집수시스템을 다른 사용자와 공유하는 경우(N = 3)는 1가지 경우가 있다. Table 2에서는 위와 같이 주어진 모든 경우에 대해 정리하였다. 여기서 N은 공유하는 사용자를 서로 잇는 가상의 연결선(link)의 개수를 의미한다. 예를 들어 N = 1일 경우 두 명만 공유하는 경우를 의미한다.
Table 2.
Possible combination of demands (C1, C2 …) in a hyperthetic RBSN composed of four perspective users
2.3 RBSN의 성능 평가
개개인이 빗물집수시스템을 개별적으로 운용하는 것과 비교하여 이를 상대방과 서로 공유하는 RBSN을 평가하기 위해서는 다양한 평가 지표의 관점을 통해 과연 RBSN이 수자원으로서 전체 스템의 거동을 향상 또는 악화시키는지 판단하는 것이 매우 중요하다. 본 연구에서는 이를 위해 세 가지 평가 지표로서 신뢰도(reliability), 회복탄력도(resiliency) 그리고 취약도(vulnerability)를 이용하였다. 이러한 세 가지 지표는 저수지와 같은 수자원 시스템의 거동 평가를 위해 일반적으로 사용되는 지표이다(Hashimoto et al., 1982). 신뢰도(R)는 성공(sucess) 상태의 비율로서 다음과 같이 정의된다.
여기서 n 모의에 사용되는 총 일 수를, nf, ns는 각각 실패 혹은 성공에 해당하는 상태의 일 수를 나타낸다. 회복탄력도(γ)는 연속되는 실패 상태에 해당하는 일 수의 평균에 역수를 취한 값과 같으며 다음과 같이 정의된다(Hashimoto et al., 1982).
여기서 신뢰도 R은 Eq. (4)에서 구한 신뢰도를 나타내며 rf는 전체 모의 일수에 대한 성공상태에서 실패상태로 바뀌는 날 수의 비율을 나타낸다. RBSN의 취약도(ν)는 다음과 같이 정의할 수 있다(Hashimoto et al., 1982).
여기서 F는 실패 상태의 집합이며, sj는 실패 상태의 심각도(severity)를 나타내는 지표(indicator)이며, ej는 sj의 발생 확률이다. 본 연구에서는 수요 부족량을 sj로 고려하였다. 이러한 측면에서 RBSN의 취약도는 평균 수요 부족량(mean deficit amount of demand)과 같이 정의할 수 있다.
3. 결과 및 분석
3.1 RCP 시나리오 하에서의 RBSN의 시스템 거동 변화
Figs. 5 ~ 7은 대전 지역의 신뢰도, 회복탄력도, 취약도를 과거 강우자료일 경우(historical rainfall conditon) (Fig. 5), RCP 4.5 시나리오 조건일 경우(Fig. 6), 그리고 RCP 8.5 시나리오 조건일 경우(Fig. 7), 공유를 하지 않는 경우(N = 0), 두 명만 공유하는 경우(N = 1), 세 명이 공유하는 경우(N = 2), 그리고 모든 구성원이 공유하는 경우(N = 3)에 대해 나타낸 것이다. 과거 강우자료의 경우 특별시 및 직할시의 경우 모두 1971-2000 사이의 30년 기간 강우자료를 이용하였으며, RCP 시나리오의 경우 이보다 100년 후인 2071-2100 사이의 30년 기간 자료를 분석에 이용하였다.
우선 주목할 점은 Fig. 5(a)에 나타난 바와 같이, 공유의 정도가 높아질수록 즉 N이 증가할수록 시스템의 신뢰도가 증가하는 점이다. 물론 저수량이 작아 적정 신뢰도가 확보되지 않는 구간에서는 공유의 정도가 신뢰도에 미치는 영향이 크게 나타나지는 않는다. 그러나 60%이상의 신뢰도 구간에서 구성원 모두가 공유할 때(N = 3) 일괄적으로 신뢰도가 향상되는 결과를 보여주고 있다. 또한, 이 같은 결과는 대전 뿐 아니라, 본 연구에서 검토한 우리나라의 모든 지역에서 동일하게 나타나고 있다(3.2절 Table 3 참조). RBSN으로 인한 신뢰도의 향상은 즉각적인 이익으로 환원할 수 있다. 즉, 일정한 목표 신뢰도를 만족하는 빗물집수시스템을 설계할 경우 소요되는 저수량의 크기를 줄일 수 있으며, 이는 소요 저수량을 확보하는데 필요한 탱크 제작 비용 등의 저감으로 이어진다. 결과에 나타난 바와 같이 본 연구에서는 RBSN의 최대 인원인 4명이 모두 공유할 경우(N = 3) 이익을 최대화 할 수 있다. 그러나 이를 넘어서 그 이상의 더욱 많은 사람들이 공유에 참여할수록, 즉 RBSN의 규모가 더욱 더 커질수록 이익 또한 더욱 더 커질 수 있다는 것을 쉽게 예측할 수 있다.
이에 반해 회복탄력도는 신뢰도와는 상반되는 결과를 보여주고 있다. Fig. 5(b)는 회복탄력도가 저류용량의 증가에 따라 향상되는 모습을 보여준다. 그러나 공유의 정도가 높아질수록 즉 N이 증가할수록 시스템의 회복탄력도는 오히려 감소하는 결과를 보여준다. 이는 신뢰도의 결과와는 상반되는 결과이다. 이러한 결과에 대한 원인으로는 공유 인원이 늘어남으로써 새로운 수요를 SRY 관계식에 적용하게 되면서 상대적으로 개별적으로 사용할 경우 개별 사용량의 변동성에 따라 회복이 쉽게 될 수 있는 경우와 비교하여 수요량의 규모가 증가하며 새로 조합된 수요의 변동성이 오히려 감소함에 따라 시스템 전체의 회복속도에는 부정적 영향을 줄 수 있는 것으로 유추할 수 있다. 또한 이러한 결과는 지역에 상관없이 일관되게 나타나고 있다. 마지막으로 시스템 취약도는 저류용량의 변화보다 공유정도(N)에 크게 영향을 받는 것으로 나타났다. 저류용량에 대한 취약성의 변화는 공유정도(N)에 대한 변화에 비해 비교적 미세한 차이를 보이고 있다. 이는 공유 인원이 최대(N = 3)일 때 취약도가 크게 감소함을 확인할 수 있다(Figs. 5(c), 6(c), 7(c)). 시스템 취약도의 거동은 신뢰도와 유사하게 나타나고 있지만 신뢰도는 공유정도(N)에 비해 저류용량이 미치는 영향이 크고, 취약도는 저류용량보다 공유정도(N)에 크게 영향을 받는 점에서 차이를 보이고 있다. 즉, 더욱 많은 사람들이 공유에 참여할수록 취약도가 감소하고 있음을 알 수 있다. 그러나 신뢰도 혹은 회복탄력도가 저수량의 크기에 비례하여 증가하고 있는 것과는 달리, 취약도는 빗물집수시스템의 저수량과 큰 상관없이 일정한 값을 보여주고 있음을 알 수 있다.
Figs. 6 and 7은 각각 RCP 4.5 및 RCP 8.5 시나리오 하에서 RBSN의 거동을 나타낸 것이다. Fig. 5와 비교하여 신뢰도와 회복탄력도에서는 눈에 띄는 큰 변화가 없는 것으로 파악되나 취약도에 있어서는 매우 큰 증가가 나타나고 있다. Fig. 8은 완전히 결합된 상태 즉 모든 구성원이 공유하고 있는 RBSN에서의 지표 거동 변화를 그림으로 도시한 것이다. 기후 변화시나리오 하에서 신뢰도는 대부분 구간에서 상승하고 있는 것으로 나타나고 있으나 80%이상의 고 신뢰도 구간에서는 오히려 신뢰도가 하강하는 거동을 보이고 있다. 이에 반해 회복탄력도의 경우 전 저수량 구간에서 증가하는 경향을 보여주고 있으며 또한 저수량이 높을수록 기후 변화 하에서의 회복탄력도가 높게 나타나고 있음을 알 수 있다. 취약도의 경우 또한 모든 구간에서 상승하고 있는 것으로 나타났으며 빗물저류시스템의 저수량이 높은 구간에서는 취약도의 증가가 두드러지게 감소하는 것을 알 수 있다.
3.2 미래 기후변화 조건하 RBSN의 지역별 거동 변화
본 절에서는 목표 신뢰도에 대한 소요 저류량의 감소로 나타나게 되는 RBSN의 효과에 대하여 지역적인 차이를 파악하고자 과거 강우 조건, RCP 시나리오 조건에 대해 전국 17개 특별시 및 광역시, 도에 대한 저류량 감소효과에 대한 분석을 수행하였다(Table 3). 목표 신뢰도 95%부터 50%까지 5개 케이스의 신뢰도를 설정하여 RBSN의 효과를 검증하였다. 예를 들어 서울 지역의 경우 모든 구성원이 공유에 참여하여 RBSN의 효과가 가장 크게 나타나는 상태(fully connected)를 가정했을 때, 과거 강우 조건 하(historical)에서 95%의 신뢰도를 목표로 보장하는 경우 기존 시설의 저류용량을 52.84%까지 줄이는 것이 가능함을 보여준다.
Fig. 9는 95% 신뢰도 목표 상태에서의 RBSN으로 인한 소요 저수량의 감소 비율을 전국 각 지역에 대해 과거 강우 조건(historic data) 및 기후변화 조건(RCP 4.5 및 RCP 8.5)에 대해 도시한 것이다. Table 3과 Fig. 9에 나타난 바와 같이 과거 강우조건하 우리나라에서의 RBSN의 효과는 매우 크게 나타나고 있다. 이는 Seo et al. (2012)의 미국 6개 대도시 지역 적용 사례(소요 저류 용량 약 30% 감소)와 비교해서도 매우 높다. 서울의 경우 저감 효과가 53%정도 나타나는 반면 남부 지역에서는 이보다 더욱 크게 나타나, 약 70%에 가까운 소요 저수량의 저감 효과를 보여주고 있다. 기후변화하에서의 RBSN의 효과는 충남과 전북(RCP 4.5), 강원(RCP 8.5)에서 타 지역보다 높게 나타나고 있음을 알 수 있다.
Table 3.
Storage reduction ratio for sharing network (Nc=3) depending on the region, target reliability, and climate change scenario
Fig. 10는 80% 신뢰도 목표 상태에서의 RBSN으로 인한 소요 저수량의 감소 비율을 전국 각 지역에 대해 도시한 것이다. 95% 목표 신뢰도 결과와 비교하여 다소 상이한 결과를 보이고 있는 것을 알 수 있다. 80% 목표 신뢰도 하에서는 경기 및 서울 지역이 다른 지역에 비해 상대적으로 높은 RBSN 효과를 나타내고 있다. 또한 기후변화 조건 하에서도 강원도와 서울, 인천(RCP 4.5), 서울 및 경기(RCP 8.5) 등이 다른 지역에 대해 높은 RBSN 효과를 보여주고 있다.
Figs. 11 and 12는 RBSN의 효과(storage size reduction)가 기후변화로 인해 어떻게 변하는지를 각각 목표 신뢰도 95% 및 80%에 대해 도시한 것이다. 결과에 나타난 바와 같이 기후 변화로 인한 RBSN의 효과는 목표 신뢰도에 관계없이 전반적으로 줄어들 것으로 예상된다. 다만 95% 목표 신뢰도 조건에서 강원, 경남, 제주(RCP 4.5) 및 강원, 제주(RCP 8.5)에서는 기후변화로 인하여 오히려 RBSN의 효과가 증가하는 것으로 파악되었다. 80% 목표 신뢰도 조건에서는 대부분 지역에서 RBSN의 효과가 감소하는 것으로 나타났다.
4. 결 론
본 연구에서는 개별적으로 운영되는 빗물수집시스템을 사회적인 합의를 통해 공유하는 RBSN을 소개하였다. 그리고 이를 이용한 전체 수자원 시스템의 효율성 평가를 통해 보다 합리적인 빗물 이용을 지향하고자 하였다. 또한 미래 기후변화 시나리오 하에서의 평가 지표의 변화를 검토하여 향후 지속적인 효용성 제고를 검토하였다. 검토결과 현 기후조건하에서도 RBSN을 통해 평균 60%이상의 빗물집수시설의 필요 저류용량을 저감할 수 있는 것으로 검토되었으며, 기후변화 조건하에서는 이러한 효용이 지역별로 다른 양상으로 나타났다. 우리나라에서의 RBSN으로 인한 소요 저수용량의 감소는 전반적으로 그동안 수행되었던 국외 지역 적용 연구 결과와 비교하여 매우 큰 것으로 나타나 우리나라 국내 강우 조건하에서 레인배럴 및 RBSN의 높은 효용성을 검증할 수 있었다. 물론 이러한 효용성의 편차가 지역적으로 다소 크게 나타나는 점은 있으나 전국적으로 RBSN의 높은 효용성을 확인하였다. 또한 기후변화 시나리오 조건하에서도 RBSN은 여전히 높은 소요 저수량 저감 효과를 보여주었다. 레인배럴(rain barrel)로 대표되는 빗물수집시스템은 우리나라에서는 아직 생소한 개념이나 미국과 유럽과 같은 선진국 뿐 아니라 중동, 아시아, 아프리카에 이르는 개발도상국에 이르기까지 폭넓게 대체 수자원으로 널리 활용되고 있는 시스템이다. 아직 국내에서의 적용성 및 대체 수자원으로서의 가능성에 대한 연구는 외국에 대해 많이 부족한 실정이긴 하나, 최근 서울 등 지방자치단체에서 도입을 위한 조례 제정 등 법적 절차를 통한 적극적인 준비를 하고 있는 상황이다. 이에 따라 국내에서도 이에 대한 본격적인 검토와 효율적인 도입 방안을 강구할 필요할 것으로 사료된다. 본 연구의 결과를 통해 유형의 인프라 구축 뿐 아니라 대체 수자원 공유와 같은 무형의 새로운 문제 해결 접근 방식을 통해 보다 효율적인 수자원 이용에 기여할 수 있을 것으로 기대된다.














