1. 서 론
2. 연구방법
2.1 연구대상지 및 빗물 관리 목표량 선정 방법
2.2 SWMM 구축 및 그린인프라 규모 산정
3. 결 과
3.1 연구대상지 및 강우 시나리오별 유출량 분석
3.2 그린인프라 시설 적용에 따른 유출저감 효과
4. 결 론
1. 서 론
전지구 온난화 전망에 따라 2026년~2050년 기후변화를 예측한 결과 한반도 강수량의 변동성 증가로 인해 가뭄과 호우와 같은 극한 강수 현상이 빈번해질 것으로 전망하였으며, 21세기 후반 미래에 평균강수량뿐만 아니라 극한 강수와 빈도가 증가하는 것으로 전망하였다(KMA, 2020). 또한, 자연재해로 인한 재산 및 인명 피해 중 호우·태풍으로 인한 피해가 가장 많이 발생한다. 호우·태풍으로 인한 재산 피해액은 총 피해액 4,419,281백만원 중 4,119,011백만원(93.2%)을 차지하며, 인명 피해는 총 290명 중 183명(63.1%)으로 나타났다(MOIS, 2021). 이러한 피해는 도시 지역에서 산업화 이후 도시개발로 인해 불투수 면적이 증가하면서 물순환 건강성 훼손은 다양한 연구를 통해 증명되고 있다. 경기도 내 급속한 도시화로 불투수면적률이 증가한 도심하천을 대상으로 불투수면적률이 증가할수록 유출계수는 증가하는 것으로 나타났으며(Noh et al., 2017), 불투수면적의 증가가 도시 지역의 유출량 증가에 미치는 영향을 분석하기 위해 학교와 상업지구를 포함한 유역을 대상으로 불투수면적을 38.4%에서 50% 및 100%로 증가했을 경우 유출량은 평균적으로 48.8%, 124% 증가하는 것으로 나타났다(Lee, 2009).
도시 내 우수유출량 증가, 침투량 감소, 지하수위 감소 등과 같은 물순환 문제를 친환경적으로 개선하기 위해 기반시설을 이용하여 인간 삶의 질을 개선하는 그린인프라(Green Infrastructure, GI) 또는 저영향개발(Low Impact Development, LID) 기법이 주목되는 실정이다. 환경부에서는 광주광역시, 대전광역시, 울산광역시, 경북 안동시, 경남 김해시 총 5개 도시를 물순환 선도도시로 선정하여 물순환 왜곡을 개선하기 위해 강우 시 침투 및 저류를 통해 자연계 물순환에 미치는 영향을 최소화하는 빗물 관리기법을 도입하여 사업을 추진하고 있다. 빗물 관리기법 관련 연구사례는 최근에도 다양하게 진행되고 있으며, Mattos et al. (2021)은 상업과 주거지역이 대부분으로 이루어진 유역을 대상으로 RCP 4.5와 RCP 8.5 2가지 시나리오의 경우 21세기 후반까지 기후변화에 따른 투수포장, 침투트렌치, 빗물집수 기술을 이용하여 첨두유출저감 특성을 분석하였고, Abduljaleel and Demissie (2021)는 대부분 상업 건물로 이루어진 도시 유역을 대상으로 침투트렌치, 투수성포장, 식생체류지, 빗물정원, 빗물통을 이용하여 요소기술별 조합 방법에 따른 첨두 유출 저감특성을 분석하였으며, Kim and Kim (2021)는 83%의 농업지역인 수변도시를 대상으로 개발에 따른 유출량 변화와 투수성포장, 식생수로, 빗물정원, 식물재배화분, 옥상녹화 기법 적용에 따른 유출저감을 분석하였다. 이러한 빗물 관리기법은 다양한 연구를 통해 물순환 개선에 대한 효과는 검증되었다.
빗물 관리기법을 적용하기 위해서 각 지자체 및 기관 등에서는 다양한 설계방법을 제시하고 있다. 서울시에서는 시설별 빗물분담량(공공·교육 6.0, 공원·녹지 7.5, 교통·기반 5.0, 민간(대규모) 5.5, 민간(소규모) 3.5 mm/hr)을 통해 빗물 관리시설의 규모를 산출하였으며(SMG, 2013), 행복도시에서는 도시개발 전·후의 유출량 변화(445,539 m3)를 통해 최근 10년간 강우자료의 백분위수 분석 결과를 바탕으로 빗물 관리 시설의 규모를 적용하였다(LHI, 2017). 또한, 광주광역시는 불투수면적률 25%에 대한 물순환을 기준으로 10, 15, 20 mm 강우-유출 분석을 통해 기준에 부합하는 빗물 관리 기법의 물순환 관리 목표량(15 mm)을 선정하였으며(GMC, 2018), 울산광역시에서는 30년간 일 단위/시 단위 강우자료의 백분위수 분석을 통해 수질관리 및 물순환 개선 효과를 고려한 85 백분위수일 때의 강우량(25 mm) 및 강우강도(4.2 mm/hr)를 물순환 목표량으로 설정하였다(UMC, 2018).
수공구조물을 설계하기 위해 목표 강우량을 설정하는 것은 중요하다. 치수구조물의 경우 설계홍수량 산정은 가장 기초가 되는 과정이며, 설계홍수량 산정을 위한 설계빈도는 국가하천의 주요구간에서 200년 빈도 이상, 국가하천에서 100~200년 빈도, 지방하천에서 50~200년 빈도를 결정하게 된다(MOLIT, 2012). 하수도 시설물별 최소 설계빈도는 강우자료 분석을 통해 지선관로는 10년, 간선관로는 30년, 빗물펌프장 30년으로 하며, 기후변화 및 지리적 특성 등을 고려하여 설계빈도를 변경할 수 있다(ME, 2022). 행정안전부 고시에 따르면 우수유출저감시설은 현재 기후변화로 인해 우(하)수관거 및 하도의 초과하는 우수유출량과 개발로 인해 증가되는 우수유출량 2가지로 저감 목표를 분류(MOIS, 2018)하고 있지만 잘 적용되고 있지 않으며, 도시개발로 인한 우수유출량 변화 데이터를 수집하기 부적합하거나 신뢰성이 높지 않을 경우와 신규 개발 예정지의 경우 우수관거와 그린인프라를 동시에 설계하는 경우 다소 어려움이 존재한다. 이처럼 빗물관리 목표량 설정은 도시개발 계획·설계과정에서 기초과정이지만 명확한 기준이 부재한 실정이다.
빗물 관리시설인 옥상녹화, 투수성포장, 식생수로에 의한 물수지 개선은 극한 강우 사상보다 낮은 강우강도의 강우를 나타내는 평상시 강우 사상에서 더 효과적이며(Yoo et al., 2015), 그린인프라는 우수유출량, 지하수위, 비점오염, 도시열섬현상 등과 같이 다양한 문제의 개선을 목적으로 적용되고 있으므로 극한 강우보다는 일반적인 강우에 대해 설계하는 것이 적합하다. 본 연구에서는 신규 도시 개발사업 시 그린인프라 설계 방법론을 위해 빗물 관리 목표량에 따른 정량적 데이터를 제시하고자 한다. 빗물 관리 목표량 설정을 위해 인근 부산관측소에서 2011년에서 2020년(10년)까지의 강우량 자료를 이용하여 특성을 분석하였으며, 10년 강우자료의 특성에 따른 강우량과 강우 지속시간을 시나리오별로 구축하였다. 강우 시나리오에 따라 그린인프라 시설을 설계하고 SWMM 모형을 이용하여 장기 강우(10년)-유출 모의를 수행하였으며, 그린인프라 규모에 따른 유출 저감 효율성을 정량적으로 분석함으로써 빗물 관리를 위한 목표량의 적정 범위를 제시하고자 하였다.
2. 연구방법
2.1 연구대상지 및 빗물 관리 목표량 선정 방법
본 연구에서는 부산광역시 강서구 명지동 일원으로 낙동강에 인접한 친수도시 조성이 계획된 유역을 대상지로 선정하였다. Fig. 1에서 연구대상지를 점선으로 표시하였으며, 대상지를 바탕으로 SWMM 모형을 구축하여 유출저감 특성을 분석하고자 하였다. 대상지의 토지이용은 주거, 공공, 상업, 녹지, 도로, 주차장으로 구성되어 있으며, 토지이용별 면적은 Table 1에서 자세하게 나타내었고 대상지 전체 면적은 413,941.3 m2이다.
Table 1.
Components of land use in the study site
| Component | Residential | Public | Commercial | Green | Road | Sidewalk | Parking |
| Area (m2) | 64,900.4 | 163,214.4 | 4,225.9 | 73,957.8 | 57,538.4 | 39,299.1 | 10,805.5 |
| Occupancy (%) | 15.7 | 39.4 | 1.0 | 17.9 | 13.9 | 9.5 | 2.6 |
연구대상지 내 그린인프라의 규모 산정을 위한 목표량은 강우량, 강우 지속시간, 강우분포를 결정함으로써 설정할 수 있으며, 대상지 인근 부산관측소에서 2011~2020년(10년) 시 단위 및 일 단위 강우자료를 분석하였다. 시 단위 강우자료는 무강우시간(Inter-Event Time Definition, IETD)을 이용하여 독립강우사상으로 추출된다(Fig. 2). Lee and Chung (2017)의 연구에 따르면 부산관측소의 40개년(1975년~2015년) 강우자료 중 우기(5월~10월)를 이용하여 자기상관분석 및 변동계수분석을 수행하였으며, 95% 신뢰구간에 해당하는 무강우시간은 11시간으로 나타났다.
본 연구에서는 독립강우사상을 추출하기 위해 시 단위 강우자료는 무강우시간 11시간을 적용하였으며, 일 단위 강우자료는 하루 24시간을 기준으로 강우사상을 추출하였다. 시 단위 및 일 단위 강우사상을 이용하여 백분위수 분석을 수행하였으며, 일 단위 강우자료의 분석결과 시 단위 강우자료 대비 강우량이 평균적으로 42.1% 작게 산정되는 것으로 나타났다. 일 단위 강우자료는 연속성이 제한된 자료이며, 실제 강우 이벤트를 표현하기 부적합하다고 판단하였다. 본 연구에서 강우량은 시 단위 강우자료 분석 결과를 통해 Table 2와 같이 60, 70, 80, 90 백분위수에 따른 4가지 시나리오를 선정하였다.
Table 2.
Percentile analysis by rainfall data (10 year) (Unit : mm)
| Component | Percentile | Rainfall data (hour) | Rainfall data (day) |
| Scenario A | 60 | 12.3 | 6.9 |
| Scenario B | 70 | 22.5 | 12.5 |
| Scenario C | 80 | 37.0 | 23.2 |
| Scenario D | 90 | 65.6 | 37.5 |
강우 지속시간을 선정하는 방법은 각 강우량의 실제 강우와 유사한 지속시간을 산정하기 위해 10년 강우자료 중 강우 목표량 ± 5~10 mm 범위 내 강우사상들의 지속시간을 추출하고자 하였다. 60 백분위수 강우량(12.3 mm)에서 5 mm~20 mm, 70 백분위수 강우량(22.5 mm)에서 15 mm~30 mm, 80 백분위수 강우량(37.0 mm)에서 30 mm~45 mm, 90 백분위수 강우량(65.6 mm)에서 55 mm~75 mm의 강우사상들의 강우 지속시간을 추출하였다. 해당 범위 내 강우사상들의 강우 지속시간을 분석하기 위해 지속시간에 대한 정규분포 그래프를 나타내었으며, 강우 지속시간의 평균값을 중심으로 50% 확률 이내 범위 값을 산정하여 목표 강우량별 지속시간의 범위 11구간을 선정하였다(Fig. 3). 강우 지속시간에 따른 유출량을 SWMM 모형으로 분석하여 최적의 강우 지속시간을 산정하고자 하였다. 강우의 분포는 실무에서 많이 이용되는 Huff 3분위 분포로 산정식 Eq. (1)을 이용하였다. 또한, 증발산 데이터는 부산관측소 10개년도(2011~2020년) 일 단위 증발자료의 평균값을 단기 강우 모의에서 적용하였으며, 장기 강우 모의에서는 월별 평균값을 산정하였다.
여기서, x는 무차원 누가강우지속시간, y는 무차원 누가강우량을 나타낸다. 이와 같은 산정식을 통해 44개의 강우 지속시간별 강우사상을 산정하였다.
2.2 SWMM 구축 및 그린인프라 규모 산정
본 연구에서 이용한 SWMM 모형은 미환경부(Environmental Protection Agency, EPA)에 의해 개발되었으며, 도시 내의 우수관망을 통한 우수유출을 장·단기 강우사상에 따라 종합적인 모의가 가능하다. SWMM 모형은 각 유역의 수문학적 매개변수(투수, 불투수, 폭, 경사, Manning 계수, 저류, 침투 등)에 따른 물순환 모의를 그린인프라와 연계하는 것이 가능하다.
본 연구에서는 SWMM을 이용하여 연구대상지를 구축하고자 하였으며, 대상지의 실시설계 자료(우수계획·유역도, 종·평면도, 수리계산서)를 바탕으로 Fig. 4와 같이 대상지를 구축하였다(K-water, 2015). Table 3에서 나타낸 정보와 같이 평균 유속 공식에서 적용되는 불투수, 투수 내 조도계수(N-Imperv, N-Perv)는 각각 0.015, 0.25를 적용하였으며, 저류 깊이는 불투수면(Dstore-Imperv)에서 2.54 mm, 투수면(Dstore-Imperv)에서 5.08 mm를 적용하였다. 불투수면적률은 토지이용별 불투수면적률에 관한 연구사례(Oh et al., 2015; Choi and Koh, 2008)를 참고하여 토지이용별 불투수면적률(%Imperv)의 평균값을 적용하였다.
Table 3.
Parameter value of land use within the study site
연구대상지 내에 적용된 그린인프라 요소기술은 투수블럭, 투수아스콘, 수목여과박스, 침투통을 이용하였다. 투수블럭은 보도 지역, 투수아스콘은 도로 지역, 수목여과박스는 폭이 넓고 녹지 분리대가 구축되는 도로 지역에서 적용하였으며, 해당 그린인프라 기술은 각 유역에서 발생하는 유출량을 처리한다. 침투통은 도로 지표면 하부에 적용하여 주거, 상업, 공공, 녹지, 주차장 지역에서 발생하는 우수유출량을 처리하도록 하였다. 그린인프라 규모 산정은 환경부(ME, 2016)에서 제시한 빗물 처리용량 산정식 Eq. (2)을 이용하였다.
여기서, V는 빗물 처리용량(m3), Vt는 시설의 체적(m3), n은 시설 내 충전재의 공극률(충전재 정보 불충분 시 0.32), k는 하부토양의 침투속도(13~210 mm/h 범위 내), Tt는 유입시간(해당 자료가 없는 경우 2시간), Aa는 하부토양과 접하여 침투를 유도하는 면적(m2)을 나타낸다. 산정식을 이용하여 그린인프라의 단위면적에 따른 빗물 처리용량을 산정하였으며(Table 4), 그린인프라 규모는 강우 시나리오에 따른 토지이용별 유출량을 수용할 수 있도록 면적을 산정하였다.
Table 4.
Rainwater treatment capacity of GI in the study site
3. 결 과
3.1 연구대상지 및 강우 시나리오별 유출량 분석
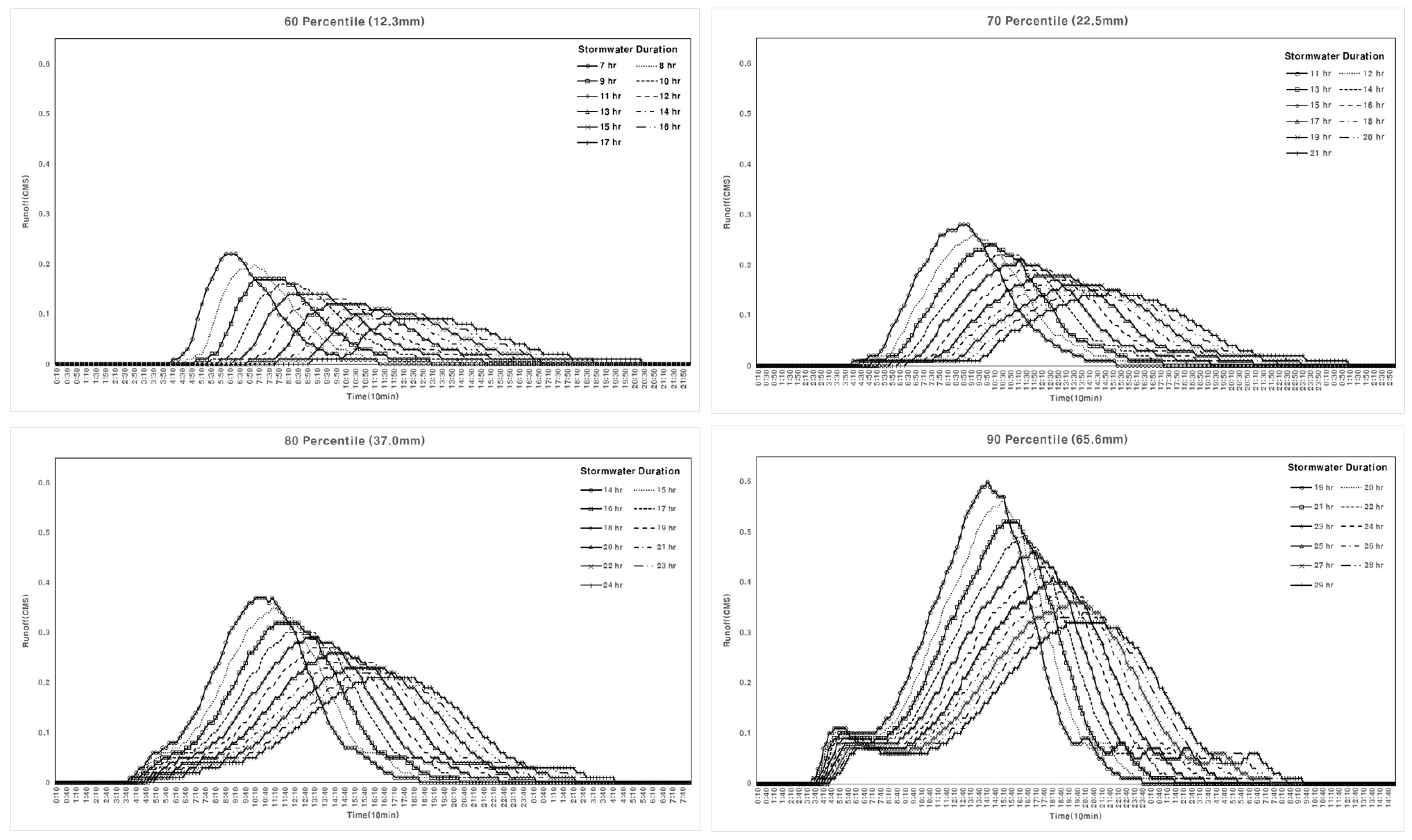
강우 지속시간별 특성을 분석하기 위해 60, 70, 80, 90 백분위수 강우량별로 11구간의 지속시간을 적용하여 SWMM 모형으로 유출량을 모의하였다(Fig. 5). 그 결과 총 유출량이 강우 지속시간 증가에 따라 감소하는 경향은 유의미한 차이로 나타났으며, 강우 지속시간별 유출량의 결과는 12.3 mm 강우량 대비 4.6(37.1%)~5.5(44.5%) mm, 22.5 mm 강우량 대비 10.2 (45.5%)~11.2(49.6%) mm, 37.0 mm 강우량 대비 18.6(50.2 %)~19.6(53.1 %) mm, 65.6 mm 강우량 대비 35.5(54.1%)~40.3(61.5%) mm로 다양하게 나타났다. 강우 지속시간별 침투량은 60, 70 백분위수의 강우량에서 변화가 크지 않았으며, 80, 90 백분위수에서의 침투량은 37.0 mm 강우량 대비 14.3(38.7%)~15.0(40.4%) mm, 65.6(90 백분위수) mm 강우량 대비 21.6(32.9%)~25.4(38.8%) mm로 나타났다.
이와 같은 결과는 강우량뿐만 아니라 강우 지속시간의 설정 방법에 따라 물순환 관리시설 설계에 많은 영향을 미친다는 것을 의미한다. 적절한 지속시간 선정을 위해 연구방법 2.1에서 나타낸 정규분포 그래프를 이용하여 평균값을 중심으로 50% 확률 이내 최대 빈도의 값을 강우량별 지속시간으로 산정하였으며, 강우 지속시간은 강우량(12.3, 22.5, 37.0, 65.6 mm)별로 각각 12, 16, 16, 25시간을 선정하였다.
3.2 그린인프라 시설 적용에 따른 유출저감 효과
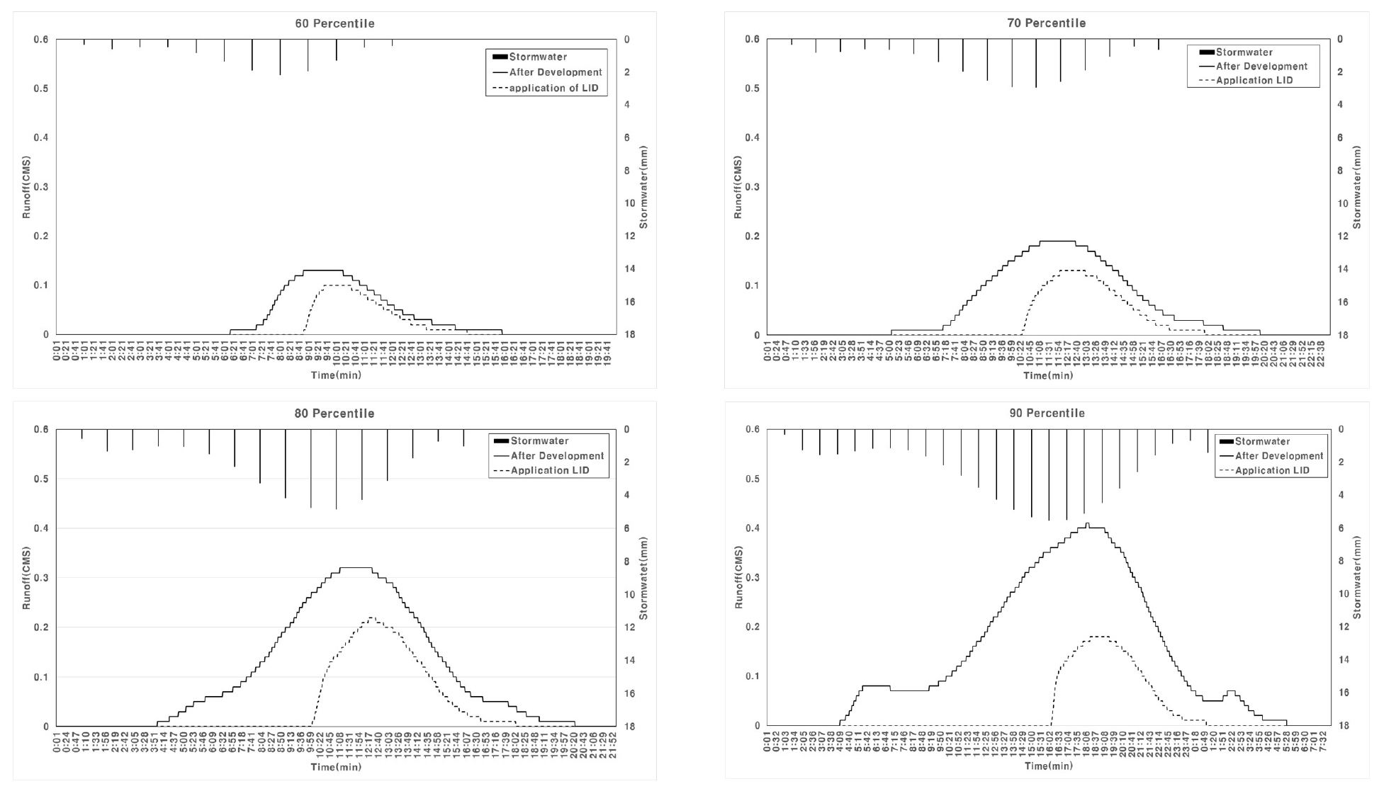
선정된 강우 지속시간을 적용하여 강우-유출 모의를 수행하였으며, 연구대상지의 토지이용별 유출량을 Table 5에서 나타내었다. 그린인프라 시설 규모 결정을 위해 128개 소유역별 토지이용에 따른 유출량을 고려하였으며, 연구방법 2.2에서 설명한 바와 같이 그린인프라 규모를 빗물 처리용량 산정식 Eq. (2)을 통해 Table 6과 같이 산정하였다. 시나리오별로 산정된 그린인프라 시설의 효율성 분석을 위해 SWMM 모형을 이용한 강우-유출 수문곡선을 Fig. 6에서 나타내었다. 유출저감 효율성은 12.3, 22.5, 37.0, 65.6 mm 강우량별로 각각 48.1, 58.3, 62.2, 79.3%로 나타났다. 또한, 첨두유출량 저감 효율성은 12.3, 22.5, 37.0, 65.6 mm 강우량별로 각각 24.1, 31.1, 33.2, 56.2%로 나타났다. 그린인프라 규모 설계방법은 동일하지만 설계 강우량에 따라 유출저감 효율성이 높은 것으로 나타났다.
Table 5.
Runoff according to land use by subcatchments (Unit : mm)
Table 6.
Total area GI according to runoff
분석결과와 같이 도시 물순환 개선을 목적으로 빗물 관리시설을 적용할 경우 적용 면적이 확대될수록 유출저감 효율성 증가는 다양한 연구사례를 통해 증명되었다. 도시 물순환 개선을 위해 이와 같은 시설은 무분별하게 규모를 설계하는 것은 수문학적 측면에서 좋은 방향성이 될 수 없다. 본 연구에서는 합리적인 강우 목표량 설정 기준을 위해 강우량별 시설 규모에 따라 장기 강우 모의를 수행하였으며, 강우-유출 저감 효율성을 분석에 따라 강우 목표량의 적절성을 평가하였다.
SWMM을 이용한 장기 강우 모의를 위해 2011~2020년(10년) 실제 강우 이벤트를 적용하여 그린인프라 규모별 적용에 따른 유출 저감 효율성을 분석하였으며(Table 7), 결과를 바탕으로 빗물 관리 목표량에 대한 합리적인 강우량 선정 방법을 제시하고자 하였다. 10년 강우 모의에 의한 강우 시나리오별로 총 유출량 저감 효율성은 각각 13.1, 22.9, 34.7, 52.1%로 나타났으며, 첨두유출량 저감 효율성은 각각 8.3, 8.7, 9.4, 10.9%로 나타났다.
분석결과를 바탕으로 그린인프라 요소기술의 면적과 총 유출량 저감 효율성의 관계에서 4차 다항식 그래프로 나타내었으며(Fig. 7), 유출(총 유출량, 첨두유출량) 저감 효율성 그래프의 변곡점을 통해 빗물 관리 목표량 범위를 산정하고자 하였다. 총 유출량 저감 효율성 그래프에서 변곡점에 해당하는 그린인프라 규모는 10,446.7 m2으로 나타났으며, 85 백분위수의 강우량(46.8 mm)을 목표로 하여 그린인프라 규모를 설계할 경우 면적은 11,865.7 m2으로 나타났다. SWMM 모형을 이용하여 그린인프라 면적 11,865.7 m2을 적용한 장기 강우 모의를 수행하여 유출 저감 효율성은 43.1%, 첨두유출저감 효율성은 9.9%로 나타났다. 첨두유출량 저감 효율성 그래프에서 변곡점에 해당하는 그린인프라 규모는 9,154.5 m2으로 나타났으며, 두 변곡점은 포함되는 백분위수 구간은 80~85이다. 도시 물순환 개선을 위해 빗물 관리시설 설계 시 강우량 목표를 위와 같은 구간으로 설정하는 것이 적절하다고 판단하였다.
Table 7.
Runoff according to land use by subcatchments (10 year)
4. 결 론
본 연구에서는 도시에서 유출 및 비점오염 저감을 위해 적용되는 그린인프라 기법의 설계 최적화를 위해 강우특성을 분석하였으며, 빗물 관리 목표량 설정을 위해 강우특성 분석결과를 바탕으로 강우량 시나리오를 이용하여 SWMM 모형을 통해 유출 특성 및 저감 효율성을 분석하였다.
도시지역에서 배수 시스템은 빗물과 가장 많은 연관성을 지니며, 유출 저감을 위해 강우량을 합리적으로 설정하는 것은 중요하다. 따라서, 연구대상 지역의 2011~2020년(10년) 시 단위 강우자료를 백분율로 분석하였으며, 60~90 백분위수에 해당하는 강우량(12.3, 22.5, 37.0, 65.6 mm)을 선정하였다. 또한, 강우 지속시간을 설정하기 위해 강우량별로 ± 5~10 mm 범위의 강우사상들에 대한 지속시간의 특성을 분석하여 정규분포 그래프 50% 확률 이내의 값을 선정하였다. SWMM 모형을 통해 강우량에 따른 지속시간별 유출 모의 결과 강우량 대비 총 유출량은 37.1~61.5%까지 차이가 있는 것으로 나타났다. 이와 같은 결과는 도시 설계 시 빗물 관리를 위해 적절한 강우 지속시간을 설정하는 과정이 필요하다고 판단하였다. 본 연구에서는 실제 강우 이벤트와 가장 유사한 모의를 위해 시 강우 자료(10년)의 강우 지속시간 데이터를 통해 평균값을 중심으로 정규분포 그래프의 50% 확률 범위 이내에서 최대 빈도의 강우 지속시간을 강우량(12.3, 22.5, 37.0, 65.6 mm)별로 12, 16, 16, 25시간을 선정하였다.
그린인프라 규모별 유출 저감 효율성을 분석하고자 대상 유역을 SWMM 모형으로 구축하였으며, 그린인프라 규모 산정에 따른 강우-유출을 모의하였다. SWMM 모형을 통해 강우량별 유출 및 첨두유출 저감을 분석하였으며, 강우량(12.3, 22.5, 37.0, 65.6 mm)별로 총 유출저감 효율성은 48.1~79.3%, 첨두유출저감 효율성은 24.1~56.2%로 나타났다. 또한, 2011~2020년(10년) 실제 강우자료를 적용하여 빗물 관리 목표량(12.3, 22.5, 37.0, 65.6 mm)별 그린인프라 적용에 따른 총 유출량 저감 효율성이 13.1~52.1%, 첨두유출량 저감 효율성은 각각 8.3~10.9%로 나타났다. 이러한 결과를 바탕으로 그린인프라 면적-유출 저감 효율성에 대한 점선 그래프를 통해 다항식을 도출하였으며, 그래프상의 변곡점을 통해 80~85 백분위수의 범위 내 목표량을 설정하는 것이 적절하다고 판단하였다.
본 연구에서는 도시 내 빗물 관리를 위해 적용되고 있는 그린인프라 기법을 활용하였으며, 최적화된 설계 목표량을 설정하기 위해 강우 시나리오별로 그린인프라 규모를 산정하였으며, SWMM 모형을 통한 유출량을 분석을 통하여 정량적 데이터를 제시하였다. 신규 도시개발 과정에서 물순환 모형이 검증에 대한 문제점이 존재하지만, 물순환 개선 계획단계에서 빗물 관리 목표량 설정을 통해 시설의 효율성을 반드시 검토하는 과정이 필요하다. 신규 도시개발 지역에서 기존 유출량 자료가 전무하거나 우수침투가 잘 이루어지지 않는 수변지역과 같은 경우 본 논문에서 제시한 방법으로 그린인프라의 규모를 설계하는 과정이 필요하다. 향후 도시개발 완료 시 모형 검증을 통한 유출저감 효율성 분석 및 기후변화 시나리오와 경로에 따른 강우 변화를 적용한 그린인프라 설계에 대한 기초자료로써 기대되며, 건전한 물순환 체계 구축에 대한 기준 정립을 위한 기초자료로써 활용될 것으로 판단된다.









