1. 서 론
2. 방법론경
2.1 펌프운영 최적화 모형
2.1.1 모형의 개요
2.1.2 목적함수 및 제약조건
2.2 네트워크 간략화
2.3 민감도 분석
2.3.1 펌프장 건설비용 및 운영비용
2.3.2 배수지 건설비용
3. 적용 네트워크
4. 적용 결과
4.1 네트워크 간략화 결과
4.2 민감도분석 1 - 송수펌프용량에 따른 비용 분석
4.3 민감도분석 2 - 배수지용량에 따른 비용 분석
4.4 민감도분석 3 - 송수펌프 및 배수지용량에 따른 체류시간 분석
5. 결 론
1. 서 론
상수관망시스템(Water Distribution System, WDS)은 양질의 용수를 적절한 압력으로 수요지까지 공급하는 것을 목적으로 하는 사회기반시설이며, 관로, 펌프(송수펌프 및 In-line펌프), 밸브, 배수지 등으로 구성되어 있다. 그 중, 펌프는 수압이 부족한 지역에 용수를 공급하기 위해 총 수두를 증가시키는 역할을 한다. 일반적으로 상수관망 시스템에 사용되는 펌프는 In-line펌프와 송수펌프로 구분할 수 있다. 이 중 송수펌프는 정수장에서 처리한 용수를 고지대에 위치한 배수지로 송수하기 위한 펌프 및 펌프 운전 장치를 의미하며 일반적으로 2대 이상의 펌프를 병렬로 운전한다. 송수펌프의 운영에 있어 용수공급의 안정성을 확보함과 동시에 비용을 최소화하도록 노력한다. 현재 대부분의 송수펌프장에서는 다년간의 운영 자료를 기반으로 배수지의 수위를 일정수준으로 유지하기 위해 펌프가동 여부를 결정하고 있다. 이러한 운영방식은 비상상황(갑작스러운 대규모 수요발생, 화재 등)에 대비하려는 경향이 커 배수지 수위를 필요이상으로 유지하기 위해 빈번한 펌프가동과 비효율적인 에너지 사용을 초래하고, 또한 배수지 내 수질이 악화되는 문제점이 지적된다.
최근 도시지역의 확대로 인한 꾸준한 용수 수요증가와 함께 자체 취수의 어려움이 있는 일부지역에서는 장거리 상수원을 이용하는 경우가 많아지고 있다. 그에 따라 공급지역이 넓어지고 있어 안정적인 용수공급을 위해 많은 양의 물을 배수지에 저장하고 공급하는 추세이다. 따라서 효율적인 송, 배수시스템의 운영을 위해서는 적정 펌프용량 및 배수지규모를 결정하여 용수공급의 안정성을 확보하면서 송수를 위한 펌프운영 비용의 최소화 및 적정 수질을 확보해야 한다.
관련된 기존 연구를 살펴보면, Boulos et al. (2000), Babayan et al. (2005), Pasha and Lansey (2010), Abdelmeguid and Ulanicki (2012), Giacomello et al. (2013), Jung et al. (2015)등의 연구자들은 최적화 알고리즘을 사용하여 상수관망 시스템의 효율적인 펌프운영을 연구하였다. 또한, Ostfeld and Tubaltzev (2008)는 펌프에 의해 가압이 되는 송, 배수관망을 대상으로 Maier et al. (2003)이 제시한 개미군집 알고리즘을 수정하여 송, 배수시스템의 최소비용설계를 위한 최적 관경과 펌프운영 비용의 최소화를 제안하는 모델을 개발하였다. 효율적인 펌프운영 뿐만 아니라 배수지 및 펌프의 적정용량을 결정하기 위한 연구도 주목할 필요가 있다. 경제적인 상수관망 설계를 위해 Alperovits and Shamir (1977)는 선형계획법(Linear programing)과 유전자알고리즘을 적용한 바 있다. 이 후, Murphy et al. (1994), Walters et al. (1999), Farmani et al. (2004), Ostfeld (2005), Farmani et al. (2005), Vamvakeridou- Lyroudia et al. (2007), Prasad (2007) 등의 연구자들은 다양한 최적화 알고리즘을 이용하여 펌프 및 배수지의 최적 설계방안과 펌프운영 비용의 최소화를 제시하였다. 또한, Batchabani and Fuamba (2012)는 상수관망 시스템의 용수공급 신뢰성과 효율성 측면에서 배수지의 중요성을 강조하였으며, 기존의 다양한 논문을 통해 제시된 배수지 최적설계 방법과 현재 실무에서 적용 중인 설계 방법과의 격차를 줄여야 한다고 강조하였다. 최근 Schwartz et al. (2016)는 펌프 및 배수지의 적정용량을 결정하고 동시에 에너지 비용 최소화를 위한 연구를 제안하였다.
이와 같이 상수관망 시스템의 최적 펌프운영과 펌프 및 배수지의 적정용량 산정을 위해 다양한 연구가 진행되어 왔다. 그 중에서도 특히 최적화 기법을 적용하여 시설물의 용량을 직접 산정하기 위한 연구가 다수 진행된 것으로 조사되었다. 본 연구에서는 최적화 기법을 이용한 시스템 설계에 앞서 해당 시설물(송수펌프 및 배수지)의 규모 및 용량변화가 건설비용 및 장기간 운영비용에 미치는 영향과 시스템 전반의 체류시간 변화를 분석하였다. 이를 위해 국내에서 운영 중인 대규모 지방상수도 시스템을 대상으로 송수펌프 및 배수지의 용량변화에 따른 설계/운영비용과 수요절점에서의 체류시간의 민감도 분석을 실시하고, 적정 펌프 및 배수지 용량의 범위를 제안하고자 하였다.
2. 방법론
2.1 펌프운영 최적화 모형
2.1.1 모형의 개요
송수펌프의 운영비용 산정을 위해서는 펌프의 운전상황을 모의하여야 한다. 본 연구에서는 송수펌프의 시간별 가동여부를 결정하기 위해 Jung et al. (2015)에서 개발된 펌프운영 최적화모형을 이용하였다. 적용한 최적펌프운영 모형은 펌프운영비용 최소화를 목적함수로 두고, 결정변수는 1시간 간격으로 송수펌프의 가동여부(On = 1 / Off = 0)를 결정하도록 한다. 실제 용수공급시스템의 운영상황을 반영하기 위해 다양한 제약조건을 모형에 포함하고 있으며, 최적화 알고리즘은 유전자 알고리즘(Genetic Algorithm, GA)을 적용하였다. 최적화 과정 중 발생하는 최적해의 적합성을 판단하기 위해 EPANET2.0모형(Rossman, 2000)과 연동하여 수리해석을 수행한다. 본 연구에서는 민감도 분석을 수행함에 있어서 다양한 송수펌프와 배수지규모의 조합별로 해당 최적화모형을 이용하여 송수펌프의 최소 운영비용을 산정하였다. 해당 모형에 대한 간단한 내용은 아래에 서술하였으며, 자세한 정보는 Jung et al. (2015)을 참고하기 바란다.
2.1.2 목적함수 및 제약조건
최적화를 수행하기 위해서는 먼저 목적함수와 제약조건 그리고 결정변수를 설정하여야 한다. 본 연구에서 적용한 최적펌프운영 모형의 목적함수는 1일 펌프운영비용의 최소화이며, 안정적인 용수공급을 위해서 최소요구압력조건 등 다양한 제약조건을 고려하였다. 목적함수는 다음 Eq. (1)과 같이 나타낼 수 있다.
(1)
여기서,
는 1일 펌프운영비용,
는 전체 모의시간(24시간),
는 펌프대수,
는 펌프의 소요동력(
),
는 펌프효율,
는 토출량(
),
는 총양정(
),
(Energy Cost)는 시간대별 전력단가(
)이다.
모형에 적용된 제약조건은 다음과 같다. (1) 각 펌프시설별로 순간 전력사용량이 계약된 상한 값을 넘어서는 안 되는 조건으로 Eq. (2)와 같이 설정할 수 있다. (2) 빈번한 펌프 운전상태 변화는 펌프시스템의 마모를 야기하게 되므로 이를 방지하기 위해 펌프가 한번 작동을 시작하면 최소 2시간 상태를 유지해야 하는 제약조건을 고려하였다. (3) 안정적인 용수공급을 위해 수요절점의 최소 허용 압력수두를 28 m로 설정하였다. (4) 상수관망 시스템의 경우 보통 24시간을 기준으로 반복적으로 수요량이 변동하고 그에 맞춰 운영된다. 따라서, 24시간을 시뮬레이션 기간으로 할 경우 시뮬레이션 시작 시점과 종료 시점의 배수지 수위는 거의 일치하여야 한다. 따라서, 모의 시작 후 24시간 이후의 배수지 수위가 초기수위의 ±10 cm 이내 이어야 한다는 제약조건을 Eq. (3)과 같이 반영하였다. (5) 마지막으로, 펌프의 가동여부에 따라 변동하는 배수지 수위가 운영자가 지정한 상한 및 하한수위 범위 내에서 유지되도록 Eq. (4)와 같이 제약조건을 수립하였다.
(2)
(3)
(4)
여기서,
는 i시간의 순간 전력사용량(
),
은 계약전력 상한값(
),
와
는 각각 i시간과 i + 24시간의 배수지 수위,
은 배수지 운영을 위한 상한 및 하한수위이다.
2.2 네트워크 간략화
본 연구에서 적용된 펌프운영 최적화모형은 많은 수리해석을 동반한 최적화를 수행해야 하며 전역해(Global Optimal Solution)에 최대한 가까운 최적 운영해를 도출하기 위해서는 많은 가능해(Possible Solutions)를 발생 및 검증해야 한다. 하지만 대규모 상수관망의 경우 관로(Pipe) 및 절점(Node)의 수가 수 천에서 수 만개에 달해 수리해석에 많은 시간이 소요된다. EPANET을 이용한 상수관망의 수리해석시간은 결국 관로와 절점 등 구성요소의 개수에 따라 증가한다. 따라서, 모형의 계산시간 단축을 위한 가장 효과적인 방안으로 실제 네트워크의 수리거동에 영향을 미치지 않는 범위에서 해당 시스템을 간략화(Simplification) 혹은 골격화(Skeletonization) 하는 것이 필요하다. 상수관망 간략화에 대한 연구는 Eggener and Polkowski (1976)에 의해 처음 시도되었으며, 시스템 전반적인 압력수두 또는 주요 절점의 압력수두에 또는 주요 절점의 압력수두에 큰 영향을 주지 않는 범위에서 관로와 절점을 간략화 할 수 있다는 것을 증명하였다.
일반적인 상수관망의 간략화 과정을 Fig. 1에 도시하였다. 본 연구에서는 원본 시스템을 지역 별로 구분하여 수리해석에 큰 영향을 미치지 않는 소 유량, 소구경 관을 삭제하거나, 특정 구역의 여러 수요절점을 하나의 수요절점으로 통합하는 방법으로 네트워크를 단순화하였다. 수요패턴(Demand Pattern)이 동일한 절점의 기준수요량(Base Demand)을 간략화를 실시할 주 절점의 기준수요량에 합하여 적용하고, 서로 다른 수요패턴을 가진 절점들은 가중평균을 이용해 새로운 수요패턴을 주 절점에 적용하여 통합하였다. 지역별로 간략화 절차를 수행하였으며, 간략화 전, 후 수리해석 결과를 비교하여 동일 절점의 압력수두가 동일함을 확인한 후, 다음 지역의 간략화를 진행하였다.
2.3 민감도 분석
본 연구에서는 송수펌프와 배수지 용량에 따른 건설비용과 운영비용의 변화 및 체류시간변화에 대한 민감도 분석을 수행하였다.
2.3.1 펌프장 건설비용 및 운영비용
일반적으로 송수펌프의 용량결정은 계획수요량, 필요양정, 비상시 예비펌프 대수, 펌프 설치공간, 펌프 가동 ․ 정지빈도 등을 고려하여 결정한다. 다양한 펌프용량에 따른 민감도 분석을 실시하기 위해 기존에 설치되어 운영 중인 펌프용량을 기준값(Base)으로 설정하고, -10 ~ +20% 까지 펌프용량(토출량 및 양정)을 변화시켜 각 용량별로 건설비용, 운영비용과 시스템 내 체류시간 변화 등을 분석하였다. 펌프 건설비용은 국내 설계 시 적용 중인 상수도 개략공사비를 참고하여 적용하였으며 펌프시설비, 기계비용 등을 고려하였다. Table 1에 펌프 용량 및 양정에 따른 송수펌프 건설비용을 정리하였다.
민감도 분석을 위해서 Table 1에 제시된 용량 및 양정에 따른 건설비용을 다중회귀분석을 통해 Eq. (5)와 같은 회귀식으로 유도하였으며, 이는 0.98의 상관계수를 나타내어 각각의 설계안에 따른 펌프의 건설비용 추정이 타당한 것으로 판단하였다.
(5)
여기서,
는 송수펌프 건설비용(원),
는 펌프양정고(
),
는 펌프토출유량(
) 이다.
펌프의 운영비용은 펌프의 수명을 30년으로 가정하고, 매년 발생하는 연간 운영비용을 현가분석을 통해 현재가로 환산하여 적용하였다. 사용된 현가분석 식은 Eq. (6)과 같고, 이자율은 1.5%로 가정하였으며, 매년 발생하는 연간 운영비용은 30년간 동일하다고 가정하였다.
(6)
여기서,
는 n년 간 펌프운영비용(현재금액),
는 이자율(1.5%),
은 운영연수(년),
는 연간 펌프운영비용을 나타낸다. 이때, 연간 펌프운영비용(PumpAOC)은 아래 Eq. (7)과 같이 산정할 수 있다.
(7)
여기서,
는 펌프운영 최적화모형을 통해 계산된 1일 펌프운영비용(Eq. (1)),
는 월 기본요금(= 기본요율(
) ×
(
))을 나타낸다.
펌프의 운영비용 계산을 위해 적용한 전력단가 및 기본요율은 Table 2에 나타낸 바와 같이 국내 산업용전력단가(KEPCO, 2012)를 적용하였다.
2.3.2 배수지 건설비용
일반적으로 배수지의 용량은 시간변동 조정용량, 비상시 대응용량, 소화용수량 등을 고려하여 일 최대급수량의 12~36시간 내에서 지역의 특성, 시설의 규모, 수도시설의 전반적 배치 등을 종합적으로 검토하여 결정하도록 한다. 본 연구에서는 국내 상수도시설기준(2010)을 토대로 배수지의 용량을 일 최대급수량의 9~60시간 내로 변화시켜 각 용량별로 배수지 건설비용, 펌프장 운영비용과 시스템 내 체류시간 변화 등을 분석하였다. 배수지의 건설비용은 국내 상수도 개략공사비를 참고하여 적용하였다. 배수지 건설비용은 구조물공사 및 구내배관공사 비용 등으로 구분하며 배수지 용량에 따른 건설비용은 Table 3에 정리하였다.
Table 3의 자료를 이용하여 배수지 용량에 따른 건설비용의 회귀식을 Eq. (8) 및 Fig. 2(b)와 같이 산정하고 상관계수를 제시하였으며, 이 때 상관계수는 0.99로 나타났다. 또한, 배수지의 형태는 Fig. 2(a)와 같이 원통형으로 가정하였으며, 용량 변화를 위해 높이는 고정한 채로 배수지의 직경을 조정하여 산정하였다.
(8)
여기서,
는 배수지 건설비용(원),
는 배수지 용량(
) 이다.
3. 적용 네트워크
송 ․ 배수 시스템의 규모는 크고 복잡하며, 시시각각 변하는 용수사용량 때문에 안정적이고 경제적인 시스템 운영이 매우 까다롭다. 본 연구에서 적용한 네트워크는 국내 P시의 지방 상수도시스템으로 정수장 1개소(MS Reservoir), 배수지 4개소(JS, BW, GT, TH Tanks), 관로 8,953개, 그리고 배수지로 용수를 송수하기 위한 송수펌프장 4개소 등으로 구성되어 있다. 해당 네트워크의 정수장 및 배수지/송수펌프의 위치를 나타낸 전체 관망도는 Fig. 3과 같다.
적용 네트워크에 설치된 배수지는 1개소를 제외한 나머지 3개의 배수지 규모가 대체로 일정하며, 송수펌프장 4개소의 토출량은 약 85~120
로 조사되었다. 해당 네트워크의 배수지 및 송수펌프의 구체적인 용량 및 규모는 Table 4에 정리하였다. 송수펌프의 경우 각 펌프장별로 동일한 2개의 병렬펌프가 운영 중이다. 송수펌프의 경우 각 펌프장별로 동일한 2개의 병렬펌프가 운영 중이다. 해당 수치는 민감도 분석을 위한 기준값(Base)으로 사용하였다.
4. 적용 결과
4.1 네트워크 간략화 결과
시스템의 간략화는 송수펌프 운영 최적화 계산시간의 단축을 목적으로 하되, 간략화 전, 후 동일절점의 수압이 동일하도록 네트워크를 단순화 하였다. 네트워크 구조 상, 배수지 이후 각 배, 급수구역은 개별적으로 수리 거동을 하기 때문에 배수지 이후의 배, 급수지역은 수요량을 통합하여 하나의 절점으로 나타내었다. 간략화 전, 후로 수리계산의 오차가 발생하지 않도록 단계별로 간략화를 진행하였으며, 간략화 전, 후 네트워크는 Fig. 4에 도시하였다.
간략화 전, 후 대상 네트워크의 구성요소의 개수변화와 동일절점의 수압을 비교한 결과를 Table 5에 정리하였다. 간략화 후 대상 네트워크의 구성요소 수가 현저히 감소하였으며(관로수 95%, 절점수 96% 감소), 반면 동일절점에서의 수압은 거의 유사하거나 동일한 값을 나타내었다. 간략화 전, 후의 해당 네트워크의 수리해석 시간을 비교하기 위해 각각 1000회 반복 수리해석을 실시한 결과, 원본 네트워크 2,053초, 수정 네트워크 38초의 계산시간이 소요되었으며, 약 98% 수리해석시간이 단축되었음을 알 수 있었다.
4.2 민감도분석 1 - 송수펌프용량에 따른 비용 분석
송수펌프용량 변화에 따른 1일 펌프운영비용(PumpDOC)과 펌프 가동률의 변화는 Fig. 5와 같다. 펌프용량이 기준용량(Base)대비 -10%로 가장 작은 경우 운영비용과 펌프가동률이 가장 높게 나타난 것을 알 수 있으며, 반대로 펌프용량이 기준용량 대비 +20%로 가장 큰 경우 운영비용과 펌프가동률이 가장 낮게 산정되었다. 이와 같은 결과는, 배수지 크기와 수요공급량이 동일한 상황에서 용량이 작은 송수펌프를 사용할 경우 펌프 가동이 빈번하게 발생하고, 따라서 전력단가가 높은 시간대에도 펌프운전이 불가피하므로 전반적으로 전력비용이 상승하는 것으로 분석되었다. 반면, 펌프용량이 넉넉한 경우에는 전력단가가 높은 시간대를 피해서 배수지로 송수를 함으로써 전력비용을 절감할 수 있는 것으로 나타났다.
송수펌프 용량변화에 따른 펌프 건설비용과 30년간 운영비용, 그리고 총 비용(건설+운영)의 변화는 Fig. 6과 같다. 송수펌프의 건설비용과 운영비용은 방법론에서 제시한 Eqs. (5) and (7)을 토대로 각각 계산하였다. 그림에서 보는 바와 같이, 송수펌프의 용량을 크게 할수록 펌프운영비용이 감소하지만, 건설비용의 증가폭이 상대적으로 더 크기 때문에 총 비용은 전체적으로 상승하는 것을 알 수 있다. 펌프의 장기간 운영비용은 펌프의 수명, 고장 및 수리여부, 전력단가, 이자율, 수요량의 변동에 따라 변화폭이 크지만, 분석결과 적용 네트워크의 경우에는 건설비용이 차지하는 비중이 운영비용에 비해 상대적으로 크다는 사실은 큰 변화가 없을 것으로 판단된다.
4.3 민감도분석 2 - 배수지용량에 따른 비용 분석
배수지용량 변화에 따른 1일 펌프운영비용과 펌프 가동률의 변화는 Fig. 7과 같다. 배수지 내 저류가능용량이 증가할수록 송수펌프 운영비용과 펌프가동률이 감소하는 것을 알 수 있다. 이는 송수펌프 크기와 수요공급량이 동일한 상황에서 배수지 규모가 작은 경우, 배수지 내 수위변동이 잦아 그만큼 펌프의 운전횟수가 증가하고, 반대로 배수지 내 저류용량이 클수록 수위변동이 크지 않아 전력단가가 낮은 시간대 위주로 펌프운전이 가능하기 때문인 것으로 해석된다. 이러한 해석결과를 통해 배수지의 크기가 송수펌프의 운영에 영향을 미칠 수 있음을 확인하였다.
다음으로, 배수지용량에 따른 배수지 건설비용과 송수펌프의 30년간 운영비용, 그리고 총 비용의 변화는 Fig. 8과 같다. 배수지 건설비용은 2장 방법론에서 제시한 회귀분석식(Eq. (8))을 이용하여 산정하였다. 그래프를 통해 알 수 있듯이 배수지의 용량을 크게 할수록 펌프운영비용을 절감할 수 있지만, 배수지 건설비용의 증가폭이 펌프운영비용의 감소폭에 비해 월등히 크기 때문에, 배수지의 규모를 일정 수준 이상 크게 할 경우 비경제적임을 알 수 있다. 펌프용량의 민감도 분석결과와 마찬가지로 본 연구에서 적용한 네트워크의 경우에는 배수지의 건설비용이 차지하는 비중이 펌프장 운영비용에 비해 큰 것으로 확인되었다.
4.4 민감도분석 3 - 송수펌프 및 배수지용량에 따른 체류시간 분석
송수펌프 및 배수지용량에 따른 수질변화의 민감도분석을 위해 용수의 시스템 내 체류시간(Water Age)을 이용하였다. 일반적으로 용수의 체류시간이 짧을수록 잔류 염소농도가 유지되어 수질이 양호한 것으로 판단할 수 있다. 체류시간 산정은 원본 네트워크를 이용하여 계산하였으며, 각 배수지 후단에 위치한 임의의 절점 중 체류시간이 상대적으로 긴 네 곳의 절점을 선정하였다. 총 체류시간 모의기간은 168시간(1주일)으로 설정하였고, 24시간 주기로 동일한 펌프패턴과 수요패턴을 적용하였다. 절점별 평균 체류시간은 총 모의기간 중 마지막 24시간의 체류시간을 평균하여 산정하였다.
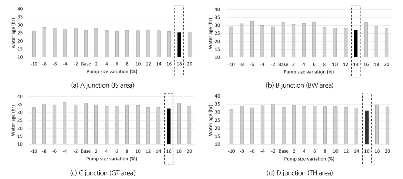
송수펌프용량 변화에 따른 시스템 내 용수의 평균 체류시간은 Fig. 9와 같다. 그림에서 보는 바와 같이, 송수펌프의 용량이 기준용량 대비 14~18% 증가하였을 때 용수의 체류시간이 대체로 짧은 것을 알 수 있지만, 일정한 경향성을 띄지는 않는 것으로 판단되어, 송수펌프 용량과 시스템 내 수질은 큰 상관성이 없는 것을 알 수 있었다.
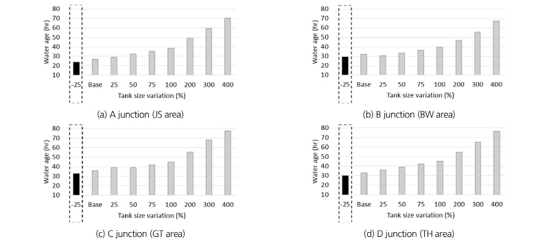
배수지용량 변화에 따른 시스템 내 용수의 평균 체류시간은 Fig. 10과 같다. 배수지 크기와 용수의 체류시간은 직접 비례하고 있음을 알 수 있다. 송수펌프용량 및 공급수요량이 동일한 상황에서 배수지의 규모가 증가할수록 용수가 배수지에 체류하는 시간이 길어지고 따라서, 시스템 전반적으로 수요절점에서의 수질이 악화될 수 있음을 확인하였다. 따라서, 배수지의 적정규모 선정에 있어서 비용분석과 더불어 시스템 전반적인 체류시간 분석을 함께 고려할 필요가 있음을 알 수 있다.
5. 결 론
본 연구에서는 송수펌프 및 배수지의 규모가 송, 배수시스템의 건설비용 및 장기간 운영비용에 미치는 영향과 시스템 전반의 수질에 미치는 영향을 민감도 분석을 통해 확인하였다. 송수펌프 운영비용의 산정을 위해 펌프운영 최적화 모형을 적용하였으며, 국내에서 운영 중인 대규모 지방상수도 시스템을 대상으로 분석을 실시하였다. 분석결과의 신뢰도를 높이기 위해 국내에서 설계 시 적용하고 있는 상수도개략공사비와 산업용 전력단가표를 이용하였으며, 시설물의 제원(기준용량)도 실제 값을 이용하였다. 민감도 분석결과와 결론을 정리하면 다음과 같다.
1)송수펌프용량 변화에 따른 민감도 분석 결과, 송수펌프의 용량을 증가시킬 경우 건설비용은 상승하는 반면, 펌프운영비용은 감소하는 것을 알 수 있었다. 이러한 결과는 용량이 큰 송수펌프를 이용할 경우, 전력단가가 높은 시간대를 피해서 펌프운영이 가능하기 때문인 것으로 분석된다. 적용 네트워크의 경우, 송수펌프의 용량 증가에 따른 건설비용의 증가폭이 운영비용의 감소폭에 비해 상대적으로 큰 것으로 나타났으며, 이는 시스템마다 상이하게 나타날 수 있으므로 펌프용량의 결정에 있어 건설비용과 운영비용을 동시에 고려하여 적정용량을 산정해야 할 것으로 판단된다. 송수펌프용량 변화에 따른 시스템 내 용수의 체류시간을 비교한 결과, 뚜렷한 상관성을 보이지는 않는 것으로 분석되었다.
2)배수지용량 변화에 따른 민감도 분석 결과, 배수지의 용량 증가에 따라 건설비용은 상승하고, 반대로 송수펌프의 운영비용은 감소하는 것으로 나타났다. 이러한 결과는 배수지의 저류용량이 커질수록 송수펌프의 가동율을 낮추어 운영하는 것이 가능하기 때문인 것으로 분석된다. 하지만, 적용 네트워크의 경우, 배수지의 건설비용 증가폭이 펌프운영비용의 절감 폭에 비해 월등히 크기 때문에 일정 규모 이상의 배수지는 비경제적임을 알 수 있었다. 또한, 배수지 규모가 증가할수록 시스템 내 용수의 체류시간이 길어지고 수질이 악화되는 것으로 나타났다. 따라서, 배수지의 적정규모를 산정함에 있어 비용과 수질을 동시에 고려해야 할 것으로 판단된다.
3)상수관망의 경제적이고 안정적인 운영을 위해서는 초기 시스템의 설계 단계에서 장기간 건설 및 운영비용과 시스템 내 용수의 수질을 동시에 고려하여 적정용량을 산정할 필요가 있을 것으로 판단된다. 따라서, 향후 연구에서는 민감도 분석 결과를 바탕으로 송수펌프와 배수지의 적정용량 및 수질안정화를 위한 염소 재투입 시설물의 운영을 동시에 고려한 최적화 모형을 개발하여 국내 상수도 시스템에 적용할 계획이다.
용어설명
(Basic Cost) : 월 기본 전기요금(= 기본요율(
) ×
(
))
(Pump Daily Operation Cost) :
1일 펌프운영비용(원)
(Pump Annual Operation Cost) :
연간 펌프운영비용(원)
(Pump Operation Cost) :
n년 간 펌프운영비용(원)
(Pump Construction Cost) : 펌프 건설비용(원)
(Tank Construction Cost) : 배수지 건설비용(원)

















