1. 서 론
2. TELEMAC-2D
3. 수치모형의 적용성 검증
4. 수치모형의 적용 및 분석
4.1 분류유량비 계산
4.2 흐름분리구역 변화
4.3 분류부 흐름특성의 변화
5. 결 론
1. 서 론
분류흐름(Flow bifurcation)은 혈관, 망상하천과 하중도, 관개수로, 상하수도 등에서 매우 광범위하고 일반적으로 나타나는 흐름의 일부이며, 수자원시스템의 구성 및 관리에 영향을 미치는 중요한 요소이다. 특히 개수로 분류부에서는 분류흐름의 불안정성, 분류되는 두 하도로 홍수배제 유량배분, 분류부 주변 토사퇴적 등 다양한 문제가 발생하며(Schielen et al., 2008), 주수로 상류 유입유량(Qs)과 분류수로로 분류되는 유량(Q3)의 비율인 분류유량비(Qr=Q3/Q1)는 분류흐름을 해석하는데 가장 중요한 매개변수 중 하나이다(Hager, 1992).
Fig. 1과 같이 개수로 분류부 흐름은 분류수로 시점부에서 흡입압에 의해 측방향으로 가속되어 주수로와 분류수로로 분리된다. 이때 주흐름 방향으로 분류흐름 경계층이 만곡을 형성하며 분류수로 내에서 시계방향으로 2차류 흐름을 일으키는 원심력과 전단력, 횡압력경사 사이에서 흐름의 불균형이 발생한다. 2차류 흐름은 분류수로 벽면을 따라 발생하는 흐름분리구역(Zone A)과 상호작용을 하며, 주수로의 흐름분리구역(Zone B)은 분류유량비(Qr)에 따라 발생유무가 결정된다(Neary and Sotiropoulos, 1996).
국내 하천설계기준(MLTMA, 2009)과 하천기본계획 수립지침(MOLIT, 2015)은 하천 분류부에서 손실수두를 무시할 수 있는 경우 1차원 홍수위 계산방법을 제시하고 있으며, 흐름이 복잡하고 손실수두를 무시할 수 없는 구간에서는 2차원 흐름계산 또는 수리모형 실험을 통한 흐름특성을 파악하도록 하고 있다. 그러나 하천계획 및 관리를 함에 있어서, 분류부에서 정교한 수리학적 해석이 많이 요구되고 있으나 국내에서 분류부 흐름특성에 대한 연구가 거의 전무한 실정이며, 하도나 관개수로망 내의 분류부 관리에 대한 중요성도 간과되고 있는 실정이다.
분류유량비 계산을 위해 Rao and Sridharan (1967), Barkdoll et al. (1998)은 실험식을 제안했고, Ramamurthy et al. (1990), Hsu et al. (2002)은 이론공식을 제안하였다. 하지만 대부분의 분류부 연구는 이차류(secondary flow)에 대한 고려 없이 수학모형의 개발, 실내실험을 통한 분류 유량비 변화, 실험수로 내 2차원 수심분포, 분류부 에너지손실을 파악하는데 초점이 맞추어졌으며(Hsu et al., 2002), 분류흐름 실내실험들은 각각의 연구목적에 따라 차원, 흐름, 경계조건들이 다르며(Herrero Casas, 2013), 다양한 개수로 흐름과 하도관리에 이들 연구결과를 적용하기 위해서는 후속 연구가 반드시 필요하다.
2차원 수치모형을 이용하여 실내실험의 한계를 보완하고 평면적인 분류부 흐름특성에 대한 연구는 Chen and Lian (1992), Shettar and Murthy (1996), El Kadi Abderrezzak and Paquier (2009), Ghostine et al. (2013)에 의해 진행되었다. 특히 El Kadi Abderrezzak and Paquier (2009)는 90° 분류수로 상류흐름(subcritical flow)에서 Ramamurthy et al. (2007)의 실내실험, 3차원 수치모의 결과를 이용하여 2차원 수치모형이 분류유량비와 분류부 수면형(water surface profiles)을 양호하게 모의하였다. Ghostine et al. (2013)은 90° 분류수로 천이흐름, 상류흐름, 사류흐름에서 1·2차원 수치모형의 분류유량 계산오차에 대해 연구하였으며, 2차원 수치모형의 분류유량 계산오차는 0.66~2.52%이고, 1차원 수치모형은 2차원 모형보다 2.6~6.6배 큰 계산오차를 나타냈다. 하지만 각 연구자들마다 적용 수치모형과 수치기법이 상이하고, 선행연구자들이 적용한 수치모형들은 공개 여부와 상용 여부에 따라 후속 연구자들의 접근성도 다르다.
따라서, 본 연구에서는 프랑스 연구기관인 EDF (d’Électricité de France)에서 개발한 오프소스(Open Source) 수치모형인 TELEMAC-2D에 대하여 분류부 흐름에 대한 수치모형의 적용성을 검증하고, 수치실험을 통해 분류유량비 계산을 위한 실험식과 이론식의 비교분석, 분류유량비 변화에 따른 수심평균 유속분포와 흐름분리구역 변화, 분류수로 종방향 흐름특성 변화를 분석하였다.
2. TELEMAC-2D
TELEMAC-2D는 유한요소법과 유한체적법을 선택하여 적용할 수 있는 장점이 있지만, 유한체적기법 적용시 측벽효과(sidewall effect)를 무시할 수 없는 흐름에서는 이를 고려한 계산이 이루어지지 못하는 한계가 있다(Jung et al., 2016). 따라서 본 연구에서는 Eqs. (1)~(3)과 같이 비보존형 2차원 천수방정식을 SUPG 유한요소법으로 해석영역을 이산화하고, 난류응력과 모멘트 확산응력을 고려한 수치모의를 수행하였다. SUPG기법은 불연속적인 흐름 계산시 수치진동 발생을 방지하기 위해 소산(dissipative)성이 적용되어 있으며, 댐붕괴나 홍수량 유입과 같이 급격하게 흐름조건이 변화하는 경우나 천이류가 발생하는 경우, 충격파의 전달과 같은 흐름해석에 있어서 기존의 유한요소기법보다 안정된 해를 도출한다(Song and Seo, 2012).
| $$\frac{\partial h}{\partial t}+\mu\;\cdot\overrightarrow{\nabla\;}(h)+hdiv\overrightarrow{(u)}=S_h$$ | (1) |
| $$\frac{\partial u}{\partial t}+\overrightarrow u\cdot\;\overrightarrow{\nabla\;}(u)=-\frac{\partial Z}{\partial x}+S_x+\frac1hdiv(hv_t\overrightarrow{\nabla\;}u)$$ | (2) |
| $$\frac{\partial u}{\partial t}+\overrightarrow u\cdot\;\overrightarrow{\nabla\;}(v)=-g\frac{\partial Z}{\partial x}+S_y+\frac1hdiv(hv_t\overrightarrow{\nabla\;}v)$$ | (3) |
여기서, h는 수심, t는 시간, u와 v는 x, y 방향으로 수심 평균된 유속, g는 중력가속도, vt는 와점성계수, Z는 자유수면 수위, Sh, Sx, Sy는 유체의 생성 또는 소멸항이다. 와점성은 난류점성에너지 k (turbulent kinetic energy)와 난류소산에너지 Ɛ (turbulent dissipation)의 이송을 모의하는 k-Ɛ모델을 적용하여 모형에서 직접 결정하도록 할 수 있다.
3. 수치모형의 적용성 검증
본 연구에서는 Shettar and Murthy (1996)의 90° 분류흐름 실내실험 결과와 이 실험결과를 이용한 Lai (2010)의 2차원 수치모의 결과를 이용하여 수치모형을 검증하였다. 실험수로는 폭이 0.3 m로 전구간이 동일하며(Fig. 2), 상류유입량(Q1)은 0.00567 m3/s, 하류단 경계조건은 주수로와 분류수로 수심을 각각 5.47 cm와 4.65 cm를 적용하였고 분류유량비(Qr)는 0.52, 상류유입유량의 프루우드 수(F1)는 0.54 이다(Table 1). Lai (2010)는 4,800개의 정렬격자를 이용하여 유한체적기법을 적용한 분류흐름 모의를 수행하였으며 수로바닥 조도계수는 0.012를 적용했다. 본 연구에서는 해석영역의 비정렬격자 17,818개를 구성하였으며 수로바닥 조도계수는 0.012를 적용하였다. 또한, 실내실험 조건이 수로 폭과 수심의 비(B/h)가 약 5.2~7.2이므로 측벽효과(Sidewall Effects)를 고려할 필요가 있다. 측벽과 수로바닥 사이에 조도의 차이에 의한 난류의 비등방성이 증가할 경우, 이차류 흐름은 조도계수가 동일한 경우보다 더 강하게 생성하게 되므로(Nezu and Nakagawa, 1993) 분류부의 이차류 흐름특성을 고려한 근사모의를 위해 축벽 조도계수(nw)를 0.013으로 적용하였다.
Table 1. Flow conditions for physical experiments
| B (m) | Slope (m/m) | Q1 (m3/s) | Qr (Q3/Q1) | F1 | B/h | |
| Main channel | Branch channel | |||||
| 0.300 | - | 0.00567 | 0.52 | 0.54 | 5.18~6.79 | 5.28~7.20 |
TELEMAC-2D 모의결과는 Fig. 3에서 보여주고 있는 것처럼, 측벽 조도계수를 고려한 경우 수심평균 유속분포를 매우 양호하게 모의하고 있으며, 분류수로의 좌측벽 흐름분리구역에서 주흐름의 역방향 유속크기를 실내실험 결과와 잘 일치하였다. 반면 측벽 조도계수를 고려하지 않은 경우 분류수로로 흐름이 분리되면서, 주수로 하류 우측벽면 주변의 유속저하 현상을 모의하지 못함에 따라 실험결과와 상이한 결과가 계산된다.
Fig. 4에서 보여주고 있는 것처럼, 분류부 실내실험에서는 주수로에서 분류구간 전후에서 수면저하와 상승, 분류수로 입구 주변 편수위 분포가 나타났다. 주수로 상·하류의 수로 폭은 동일하므로 분류부에서 주수로 하류와 분류수로로 흐름이 분리되고, 유량이 재 배분됨에 따라 주수로 하류는 총유량과 단위 폭 당 유량이 상류에 비해 감소한다. 이에 따라 분류부에서 유속과 프루우드 수가 급격하게 감소하고, 수면형은 상승하게 된다(Fig. 4(a)). 또한 분류수로의 수심이 급격하게 저하되는 것은 분류수로 입구부터 흐름분리구역이 형성됨에 따라 수위가 낮아지고 하류로 내려갈수록 수위가 회복되기 때문이다(Fig. 4(b)).
TELEMAC-2D 모의결과 수심에 대한 RMSE 오차는 주수로와 분류수로 각각 0.072 cm, 0.071 cm이고, 총 RMSE 오차는 0.071 cm이다. Lai (2010)의 모의결과는 주수로와 분류수로, 총 RMSE 오차는 각각 0.083 cm, 0.065 cm, 0.075 cm로 나타났다. Fig. 4와 같이 두 수치모의 결과는 주수로에서 분류구간 전후의 수면저하와 상승, 분류수로 입구 주변 편수위 분포가 실험결과와 잘 일치하며, 각 수치모형의 지배방정식 형태, 경계조건 차이, 격자해상도, 벽면마찰, 이산화공식에서의 절단오차 등에 의해 모의결과의 차이가 발생한 것으로 판단된다. 하지만, Lai (2010)의 모형은 상용프로그램임에 비해 TELEMAC-2D는 포트란 언어로 작성된 오프소스(Open Source) 프로그램이므로 국내외 연구자들이 목적에 맞게 수정하여 지속적으로 연구에 활용할 수 있는 장점이 있다.
4. 수치모형의 적용 및 분석
4.1 분류유량비 계산
분류유량비를 산정하기 위하여 1차원 이론식과 실내실험을 이용한 경험식이 많이 제안되었지만, Table 2 and Fig. 5에서 보여주고 있는 것처럼, 연구자들마다 흐름계산을 위한 기준점과 실험조건이 상이하여 분류유량비를 산정하기 위하여 제시된 공식들은 일관성이 부족하고 체계적이지 못한 한계가 있다. 따라서, 본 연구에서는 수치실험을 통해 산출된 분류유량비와 과거 선행연구자들이 제안한 공식을 비교분석하였다. 비교대상 공식으로는 90° 분류각을 가진 직사각형 단면 동일수로 폭 개수로에서 수로경사가 없는 조건에 대해 연구한 Rao and Sridharan (1967), Ramamurthy et al. (1990), Hsu et al. (2002)의 제안 식을 선정하였다.
Table 2. Flow conditions for physical experiments
Rao and Sridharan (1967)은 587회의 실내실험 결과를 이용해 Eq. (4)와 같이 계산식을 제안했다.
| $$\log Q_r+1.11F_{2RS}^{0.095}=0$$ | (4) |
여기서, Qr=Q3/Q1이고, F2RS는 분류부 하류 주수로 시점 프루우드 수이다(Fig. 5).
Ramamurthy et al. (1990)은 분류부 상류의 프루우드 수(F1R)이 0.75 이하의 흐름에 대해 운동량보존공식을 이용하여 Eq. (5)와 같이 이론 공식을 제시하였다.
| $$\frac{Q_r}{40}F_{1R}^4+\left(\frac16+\frac56(1-Q_r)-(1-Q_r)^2R_h\right)F_{1R}^2+\frac{R_h^2-1}{2R_h^2}=0$$ | (5) |
여기서, Qr=Q3/Q1, Rh=h2/h1, h1, h2는 분류수로로부터 수로 폭만큼 떨어진 지점의 수심이다. F1R은 분류수로 시점으로부터 수로 폭만큼 상류지점의 프루우드 수이다(Fig. 5).
Hsu et al. (2002)은 에너지공식, 운동량보존공식, 질량보존원리에 근거하여 Eq. (6)을 제안하였다.
| $$\left(\frac1{R_h}\right)^3-\left[1+\frac12F_{2H}^2\right]\left(\frac1{R_h}\right)^2+\frac1{2(1-Q_r)^2}F_{2H}^2=0$$ | (6) |
여기서, Qr=Q3/Q1, Rh=h2/h1, h1, h2는 분류수로부터 수로 폭의 4배 떨어진 지점에서 수심이다. F2H는 분류수로로부터 하류방향으로 수로 폭의 4배 떨어진 지점의 프루우드 수이다(Fig. 5).
본 연구에서는 Shettar and Murthy (1996)의 실내실험에 대한 수치모형의 검증결과(RUN-5)를 이용하여 Table 3과 같이 주수로 상류 유입유량(Q1)만을 70~140% 범위 내에서 변화시키며 프루우드 수(F1) 0.34~0.74의 흐름을 설정하여 분류유량비 변화에 대한 수치실험을 수행하였다. 상류 유입유량이 감소하면 분류수로 방향 흡입압과 횡압력경사가 주수로 하류방향 관성력보다 상대적으로 더 커지기 때문에 분류유량비는 증가하게 된다. 하지만, 임의의 유속 이하 저유량이 유입되면 주수로 하류방향으로 흐름이 발생하지 않고 분류수로로만 흐름이 집중되는 현상이 발생되게 되므로 분류흐름이 형성될 수 없다. 따라서, 분류흐름의 물리적 발생가능성을 확인하고, 수치실험 조건의 타당성 검증이 필요하다. Hsu et al. (2002)은 Fig. 6과 같이 실험결과와 이론식을 통해 분류흐름의 물리적 발생가능 한계조건을 분류부 하류 주수로에서 프루우드 수(F2H)와 분류유량비(Qr) 관계를 이용하여 제시하였다. 본 수치실험 흐름조건은 Fig. 6에 나타낸 바와 같이 분류유량비 약 0.3~0.9에 걸쳐 Hsu et al. (2002)의 물리적 분류흐름 발생가능 조건을 만족하는 것으로 확인되었다.
Table 3. Flow conditions for numerical experiments
| CASE | Q1 (l/s) | F1 |
| RUN-1 | 7.94 | 0.74 |
| RUN-2 | 7.37 | 0.69 |
| RUN-3 | 6.80 | 0.63 |
| RUN-4 | 6.24 | 0.58 |
| RUN-5* | 5.67 | 0.52 |
| RUN-6 | 5.10 | 0.46 |
| RUN-7 | 4.97 | 0.45 |
| RUN-8 | 4.54 | 0.40 |
| RUN-9 | 3.97 | 0.34 |
Fig. 7과 같이 수치실험을 통하여 분류유량비를 계산한 결과, RUN-8~RUN-9에서는 분류유량비가 0.7을 초과하였다. 위 세 공식 제안자들은 분류유량비가 0.7을 초과하는 경우 주수로의 분류부 하류지점에서 흐름분리구역(Fig. 1에서 Zone B)이 발생함에 따라 분류유량비 변화의 선형성을 잃게 되기 때문에 분류유량비 0.7 이하로 적용을 제한하고 있다.
RUN-1~RUN-7 모의결과 대비 Ramamurthy et al. (1990)의 공식은 23.5~37.3%, Hsu et al. (2002)의 공식은 16.8~58.9% 분류유량비를 과소 계산하였다. Rao and Sridharan (1967)의 분류유량비 계산공식은 RUN-1~RUN-7 모의결과와 0.8~ 7.2%의 분류유량비 차이를 나타내 금회 비교대상 공식 중 가장 정확한 계산결과를 나타냈다. Ramamurthy et al. (1990)과 Hsu et al. (2002) 공식은 실험결과를 이용하여 검증되었음에도 불구하고, 본 수치실험을 통한 분류유량비 계산결과와 큰 차이를 나타냈다. 이 원인은 Table 2와 같이 실내실험의 하류단 경계조건의 영향, 수로 폭과 수심의 비율(B/h), 조도계수 등 실험조건이 상이하기 때문에 발생하는 것으로 판단된다. 본 연구에서 가장 정확한 분류유량비 계산결과를 나타낸 Rao and Sridharan (1967)의 계산공식은 경사가 없는 수로에서 상류 유입유량과 주수로의 분류부 하류 프루우드 수만으로 분류유량비를 계산하는데 효과적인 것으로 판단된다. 하지만, 실무적으로 관개수로, 하천에서 수로바닥 경사 고려 필요시와 하류단에서 임의로 분류부 흐름을 조절하는 경우는 이 공식을 적용할 수 없다. 따라서, 분류유량비 공식을 단일식으로 일반화하기 위하여 다양한 흐름조건에 대해서 적용할 수 있도록 추가 연구가 필요하다.
4.2 흐름분리구역 변화
분류부에서 흐름분리구역은 저유속과 흐름의 재순환 때문에 발생한다(Neary et al., 1999). 흐름분리구역은 재순환하는 흐름을 에워싸며, 수로바닥보다 수면 근처에서 더 크게 형성된다(Ramamurthy et al., 2007). 저유속 때문에 흐름분리구역에서 토사퇴적이 발생하고(Barkdoll et al., 1999) 어류와 식물들에게는 번식을 위한 공간으로 사용된다(Mignot et al., 2014). 흐름분리구역의 위치와 크기는 분류유량비에 따라 달라진다. Kasthuri and Pundarikanthan (1987)은 동일 수로폭 90° 분류 실험수로에서 실험을 통해 합류부(confluence)에서는 본류 대비 지류의 유량비가 증가할수록 흐름분리구역 길이와 최대 폭이 증가하지만 분류부에서는 분류유량비가 증가할수록 흐름분리구역 길이와 최대 폭이 감소한다는 결과는 제시하였다.
본 연구에서는 분류부에서의 흐름분리구역 특성을 분석하기 위하여 Shettar and Murthy (1996), Lai (2010)의 연구결과와 비교하여 흐름분리구역 규모의 계산 결과를 비교하여 분석하였다. Fig. 8과 같이 흐름분리구역 폭(WB)은 분류수로 폭의 약 0.5배이며, 길이(WL)는 유선분포상 약 3.5배 정도로 이들의 연구 결과와 3개 수치모의 결과는 잘 일치하였다. 하지만 Lai (2010)의 수치모의 결과는 주수로 우측벽면 X/B=0.5~2.0 구간에서 소규모 흐름분리구역이 나타났으며, 이것은 분류유량비가 실내실험 조건인 0.52를 초과하여 발생하는 것으로 판단된다. TELEMAC-2D를 이용한 본 연구 결과는 흐름분리구역의 폭과 길이를 선행 연구결과와 잘 일치하는 것을 확인할 수 있으며, RUN-5의 계산결과를 토대로 흐름분리구역의 크기변화와 주수로에서의 흐름분리구역 발생 여부에 대해 모의결과를 분석하였다.
Hsu et al. (2002)은 F1=0.33~0.70의 범위에서 주수로와 분류수로 폭이 동일한 경우에 분류수로에서 흐름분리구역 폭을 제외한 유효 유수단면 폭이 분류유량비에 따라 선형적으로 변화하며, 그 선형변화 계수인 수축계수(Cc)를 Fig. 9와 같이 제시하였다. 즉, 수축계수는 분류수로 폭 대비 흐름분리구역을 제외한 유수단면의 유효 폭의 비율이며, 흐름분리구역의 폭과 반비례 한다. 분류유량비 0.7 이하의 RUN-1~RUN-7 모의결과는 수축계수가 선형적으로 변화하는 것을 확인할 수 있으며, Fig. 10(a), (b)와 같이 분류유량비가 증가하면 분류수로 흐름분리구역의 크기가 감소하는 경향을 나타낸다. RUN-8, RUN-9는 각각 F1=0.34, F1=0.40로서 F1의 적용범위는 만족하지만, 분류유량비가 0.7을 초과함에 따라 Fig. 10(c)와 같이 주수로 우측벽 X/B=0.5지점부터 흐름분리구역이 발생하며 수축계수가 비선형적으로 변화한다.
4.3 분류부 흐름특성의 변화
Fig. 11과 같이 상류 유입유량이 감소하면(RUN-9), 주수로 상류에서 프루우드 수(F1)가 감소되고, 주수로 하류방향 관성력과 모멘트가 감소한다. 따라서 분류수로로 유입되는 분류유량비가 증가하게 되고, 분류수로 내에서 상대적으로 고유속 분포구간이 넓어지며, 분류수로 주흐름의 역방향 유속이 감소한다. 또한 주수로 하류에서는 유속이 감소하며, 주수로 우측벽면 X/B=0.5~1.5 구간에서는 흐름분리구역이 형성됨에 따라 유속이 0.004~0.014 m/s로 저유속 패턴이 나타나게 된다. 상류 유입량이 증가하면(RUN-1), 분류유량비가 감소되고, 분류수로에서 우측벽면 주위로 흐름이 가중되어 최대유속이 발생하게 되며, 분류수로 좌측벽면 주위로 흐름분리구역의 규모 증가와 주흐름의 역방향 유속성분이 가장 크게 나타난다.
Fig. 12와 Fig. 13에서 보여주고 있는 것처럼, 분류유량비가 증가할수록 분류수로 우측벽면 부근에서 프루우드 수도 점차 증가하며 흐름이 가중된다는 것을 파악할 수 있다. 분류수로 좌우측벽을 따른 종단 프루우드 수 분포는 분류유량비에 따라 큰 변화를 나타낸다.
분류수로 내 수심평균 유속과 프루우드 수가 급격하게 증가하는 현상은 분류수로내 흐름분리구역이 형성되면서 흐름이 통수 가능한 유효 폭이 감소하기 때문이다. 상류 유입유량이 증가할수록 분류유량비와 분류되는 유량의 크기가 감소한다. 그러나, 분류수로에서 최대 유속과 최대 프루우드 수가 증가한다. 이것은 분류유량비가 감소하면서 분류수로 내 흐름분리구역의 폭이 증가하고 분류수로 내 횡방향 이차류의 영향이 증가한다. 이차류의 영향이 증가하면서 통수 가능한 유효 폭이 감소하고 흐름분리구역이 형성되지 않는 반대 측벽으로 흐름이 가중되기 때문이다.
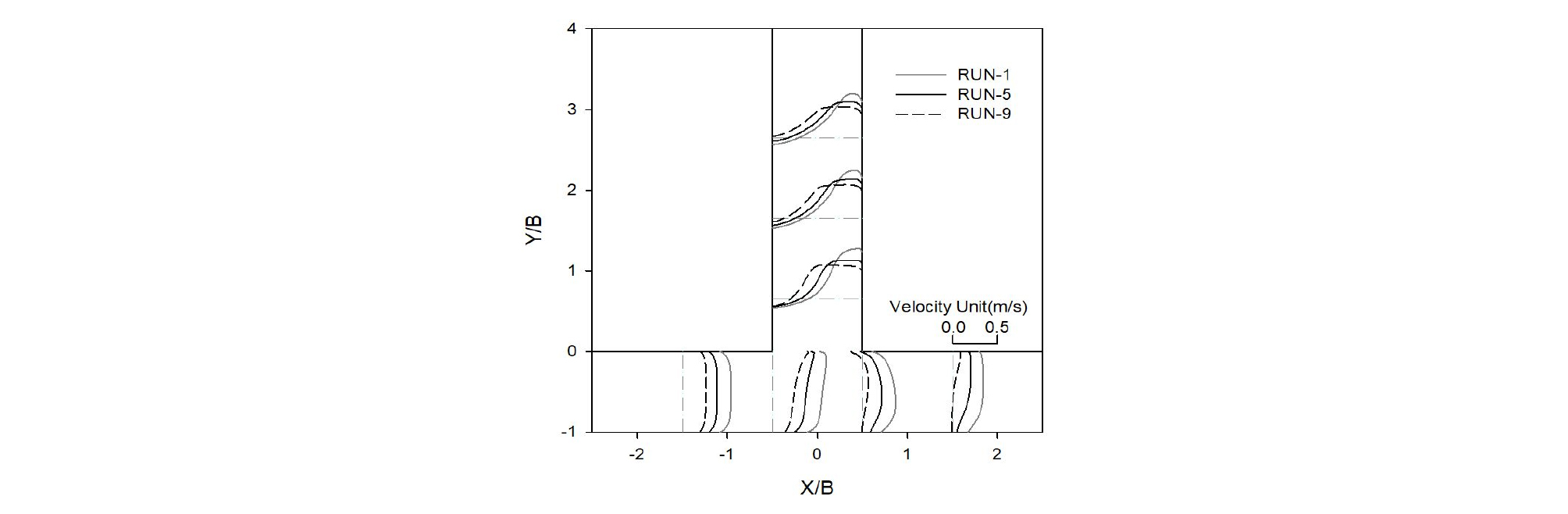
분류부 흐름분리구역의 크기와 위치는 유속성분의 평면분포를 따라 유선을 작도하여 알 수 있다(Keshavarzi and Habibi, 2005). 하지만, 수치모의 격자와 실내실험에서 유속측정 측점간격이 조밀하지 않은 경우 종방향 흐름분리구역의 크기를 정확하게 도출할 수 없는 한계가 있다. 분류수로 좌측벽면의 종방향 프루우드 수는 Y/B=1.88 (RUN-1), Y/B=1.42 (RUN-5), Y/B=0.98 (RUN-9)에서 Fr ≈ 0이 되는 것을 확인할 수 있으며, 이 지점은 흐름분리구역의 경계와 일치한다(Fig. 13). 따라서, 평면적인 유선분포와 종방향 프루우드 수의 분포를 함께 이용하면 분류수로에서 흐름분리구역 길이를 산정하는데 매우 유용할 것으로 판단된다.
5. 결 론
본 연구에서는 2차원 수치모형인 TELEMAC-2D의 분류부 흐름에 대한 수치모형의 적용성을 검토하고, 수치실험을 통해 선행연구자들이 제안한 분류유량비 계산식의 비교분석, 분류유량비 변화에 따른 수심평균 유속분포와 흐름분리구역, 분류수로 종방향 흐름특성 변화를 분석하였으며, 그 결과는 다음과 같다.
1) TELEMAC-2D는 주수로에서 분류구간 전후에서 수면저하와 상승, 분류수로 입구 주변 편수위 분포를 실내실험결과와 RMSE 오차가 0.071 cm로 매우 양호한 모의가 가능하다. 또한 수심평균 유속분포뿐만 아니라, 분류수로의 좌측벽 흐름분리구역에서 주흐름의 역방향 유속크기를 실내실험결과와 잘 일치하였다.
2) 선행 연구자들이 제안한 3개 분류유량비 계산식을 비교한 결과, Rao and Sridharan (1967)의 분류유량비 계산식이 수치실험 결과와 가장 정확한 계산결과를 나타냈다. 나머지 두 공식은 실험결과를 이용하여 검증되었음에도 불구하고 수치모의 시에 사용된 실내실험의 하류단 경계조건 영향, 수로 폭과 수심의 비율(B/h), 조도계수 등 실험조건이 상이하기 때문에 발생하는 것으로 판단된다.
3) 주수로의 상류유입유량이 감소하면(RUN-9), 주수로 하류방향 관성력과 모멘트가 감소하여 분류유량비가 증가하게 되고, 분류수로 내에서 상대적으로 고유속 분포구간이 넓어지며, 분류수로 주흐름의 역방향 유속과 주수로 하류의 유속은 감소한다. 반면 상류 유입량이 증가하면(RUN-1), 분류유량비가 감소되고, 분류수로 우측벽면 주위로 흐름이 가중되어 최대유속이 발생하며, 분류수로 좌측벽면 주위로 흐름분리구역의 규모 증가와 주흐름의 역방향 유속성분이 가장 크게 나타난다.
4) 분류유량비가 증가할수록 분류수로 내 흐름분리구역 폭과 길이는 감소하며, 분류수로에서 유속성분의 평면분포를 이용한 유선작도뿐만 아니라, 종방향 프루우드 수가 Fr ≈ 0이 되는 지점 확인을 통해 흐름분리구역의 규모를 더 명확하게 산정할 수 있다.















