1. 서 론
2. 기본이론
2.1 Burr XII 분포
2.2 L-moments
3. Burr XII 분포의 L-moment
4. 적용 및 결과
4.1 적용
4.2 지역구분
4.3 결과 분석
5. 결 론
1. 서 론
최근 세계적으로 과거의 일반적인 발생 현상을 벗어나는 가뭄 및 홍수와 같은 이상 기상현상이 빈번하게 관측되고 있다. UNFCCC (2006) 보고서의 기후변화 영향과 취약성 평가에 따르면 아시아 대부분의 지역에서 강수량이 증가할 것으로 예상되며 홍수, 가뭄, 태풍과 같은 극한 사상에 의한 자연재해의 강도와 빈도가 증가할 것으로 전망하고 있다. 이러한 극한기후사상은 기상재해와 밀접하게 연관되어 있어서 우리나라도 태풍 및 장마전선에 따른 극한 강우에 의해서 사회․경제적으로도 영향을 미칠 수 있는 중요한 요인으로 꼽히고 있다(Houghton et al., 2001). 우리나라도 태풍 및 장마전선에 따른 극한 강우에 의해서 적게는 300 mm 이상, 많게는 900 mm에 가까운 집중호우가 내려 남한강 여주지역과 한강하류의 범람이 우려되는 국가적인 위기상황에 직면하기도 하였다(Hwang et al., 2006). 또한 2011년 7월 27일 중부지방에 발생한 집중호우로 인해 서울 서초구에 오전 6시 50분부터 8시 50분까지 164 mm의 강우를 기록하여 기존 강우지속기간 120분에 해당하는 강우자료의 100년 빈도 강수량인 156.1 mm를 초과하는 사상이 관측되었으며 인명 및 재산피해와 같은 사회․경제적 손실을 초래하였다(Seocho-Gu, 2011). 이처럼 이상기후와 기후변화의 영향으로 인해 기존 극치수문사상으로 여겨지던 수문량을 뛰어 넘는 더 큰 규모의 극치사상이 발생하고 그 횟수가 늘어날 것으로 예측됨에 따라 앞으로 폭우 및 홍수와 같은 재해에 의한 피해 규모와 강도가 커지고 그 빈도 또한 빈번해 질것으로 예측되고 있다(Allan and Soden, 2008; Christensen et al., 2007; Wood et al., 2011; Wilby and Dessai, 2010; Lee et al., 2010; Sung et al., 2012; Kim et al., 2013). 따라서 다양한 통계적 특성의 극치수문사상을 적절히 표현할 수 있는 확률분포모형 개발 및 적용에 대한 연구의 중요성은 더욱 강조되고 있다.
이러한 극치수문사상을 해석하기 위해서 각 국가별 또는 지역별로 다양한 극치분포모형들을 적용하고 있다. 미국 수자원평의회(U.S. Water Resources Council, 1976)는 홍수빈도해석 수행 시 log-pearson type III (LP3) 분포형을 채택할 것을 추천하고 있으며 호주의 Australian Rainfall and Run-off (The Institution of Engineers, 2001) 보고서에서도 IDF (Intensity-Depth-Frequency) 곡선을 이용하여 확률강우량을 추정하고 이 때 확률분포형으로 LP3 분포형의 사용을 권고하고 있다. 스웨덴과 뉴질랜드에서는 확률가중모멘트법(probability weighted moments; PWM)을 이용한 generalized extreme value (GEV) 분포형을 추천 분포형으로 제시하고 있다(Alexandersson et al., 2001; Thompson, 1992). 영국의 경우 Flood Studies Report (NERC, 1975)에서 홍수빈도해석 시 GEV 분포형을 추천하였으나 이후 Flood Estimation Hand-book (IH, 1999)에서는 generalized logistic (GLO) 분포형을 사용할 것을 권장하였다. 국내에서는 지점빈도해석 시 확률가중모멘트법을 이용한 Gumbel (GUM) 분포가 대표 강우 확률분포모형으로 추천되었으며 지역빈도해석의 경우 GLO 분포모형이 최적 분포형으로 사용된 바 있다(Heo and Kim, 1995; Kim et al., 1996; The Ministry of Construction and Transportation, 2000; Lee et al., 2000a; Heo et al., 2007). 또한 본 연구에서는 확률가중모멘트의 선형조합으로 이루어진 L-moment를 이용하여 Burr XII 분포의 적용성을 검토하였는데, L-moment를 이용한 수문자료 분석 연구로는 Lee and Heo (2001), Kim et al. (2010), Nam and Kim (2015), Lee et al. (2016) 등이 있다. Lee and Heo (2001)는 한강유역의 1일, 2일, 3일 연 최대강우자료를 대상으로 L-moment 법을 이용해 지점 빈도해석과 지역 빈도해석을 실시하였고, 그 결과 지점빈도해석보다 지역빈도해석이 우수하다는 것을 입증하였으며, Kim et al. (2010)은 우리나라의 연 강수량, 계절 강수량 그리고 월 강수량의 최적 확률분포형을 선정하기 위해서 L-moment 법을 이용하였다. Nam and Kim (2015)은 L-moment ratio diagram과 지형정보시스템을 동시에 활용하여 우리나라의 지속기간별 연 최대강우량의 최적 확률밀도함수를 판별하였고, Lee et al. (2016)은 GEV 분포, GLO 분포, generalized Pareto (GPA) 등 5개의 3변수 확률분포함수에 대하여 L-moment 법을 적용하여 금강유역의 최적 확률분포형을 판별하였다.
한편, 극치분포모형이 극치수문사상을 보다 명확히 해석하기 위해선 확률분포모형의 좌우로 치우쳐 있는 사상들을 잘 표현할 수 있어야한다. 다시 말해 극치수문사상을 적절히 표현하기 위해서는 주어진 표본 자료의 왜곡도를 적절히 표현할 수 있어야하고 이를 위해선 표본자료의 왜곡도와 직접적인 연관이 있다고 알려진 형상매개변수(shape parameter)의 역할이 매우 중요하다. 하지만 앞서 언급된 대부분의 극치분포모형들은 하나의 형상매개변수만을 가지고 있기 때문에 다양한 극치수문현상을 표현하는데 있어 그 한계점이 지적될 수 있다. 따라서 이러한 한계를 극복하기 위하여 표본 자료로부터 생성될 수 있는 다양한 형태의 왜곡도를 고려하기 위한 노력으로, 앞서 언급된 모형보다 상대적으로 많은 매개변수를 갖는 Kappa와 Wakeby 분포모형과 같은 다양한 매개변수를 갖는 극치분포모형에 대한 연구가 활발히 진행되고 있다(Lee et al., 2000b; Oh, 2001; Maeng et al., 2006; Heo et al., 2012). Kappa와 Wakeby 분포형의 경우 상대적으로 많은 매개변수를 가지고 있어서 다양한 표본 자료에 대해 비교적 안정적인 추정을 수행할 수 있다. 하지만 늘어난 매개변수의 개수만큼 매개변수 추정에 대한 불확실성이 늘어나고 매개변수 추정방법과 적합성 조건 추정에 따른 사용상의 불편함이 존재하게 된다(Kim et al., 2004; Heo et al., 2012).
한편, Burr (1942)에 의해 제안된 Burr 분포모형은 Burr I부터 XII까지 12가지 형태로 구분되어 있다. 이 중 Burr XII 분포는 2변수 분포모형으로 보험계리학(Klugman, 1986; Embrechts et al., 1997), 임학(Lindsay et al., 1996), 환경(Shao, 2000), 신뢰성 분야(Wang et al., 1996; Wingo, 1983, 1993;), 생존분석(Shao and Zhou, 2004)과 같은 많은 영역에 적용된 바 있다. 수문통계분야에서는 Burr XII 분포와 다른 수문극치분포모형과의 연관 관계에 대해서 연구가 진행된 바 있으며(Burr and Cislak, 1968; Rodriguez, 1977; Tadikamalla, 1980), 이후 수문자료에 적용성을 높이기 위하여 규모매개변수(scale parameter)가 추가된 3변수 형태의 Burr XII 모형이 개발되었다(Tadikamalla, 1980; Shao, 2004). 특히 Shao et al. (2004)이 제시한 extended Burr XII 분포는 기존의 Burr XII 모형을 확장시켜 한 개의 규모매개변수와 두 개의 형상매개변수를 가지는 3변수 모형으로 기존 Burr XII 모형과 달리 표본자료가 갖는 다양한 범위의 첨도와 왜곡도를 고려할 수 있는 것으로 알려져 있다. Extended Burr XII 모형은 중국 양쯔강 유역과 황하강 유역 다음으로 큰 중국 남부지역의 주강(Pearl River) 유역과 중국 북동부의 Dang Jian Kou River 유역의 홍수자료를 적용하였을 때, 중국에서 기존에 사용하던 LP3나 GPA 분포보다도 우수하였고(Shao et al., 2004), 이탈리아의 북서쪽유역 115개 지점의 홍수 자료를 적용하고 수문학적 적용성을 검토하여 그 우수성을 검증한 바 있다(Ganora and Laio, 2015).
따라서 GEV 분포 등 하나의 형상매개변수를 가지고 있어 각 분포 모형이 나타낼 수 있는 통계적 특성에 한계를 가지고 있는 모형보다 두 개의 형상매개변수를 가지고 있어 분포 모형이 나타낼 수 있는 통계적 특성의 범위가 넓은 분포의 적용 가능성에 대한 검토가 필요한 시점이라 할 수 있다. 본 논문에서는 Shao et al. (2004)에 의해 소개된 두 개의 형상매개변수를 가지고 있는 3변수 형태의 Burr XII 분포에 대한 L-moment를 이용하여 L-moment ratio인 L-skewness 및 L-kurtosis 관계를 유도하고, 이를 우리나라 620개 강우관측지점의 강우자료에 대한 L-moment ratio 관계와 비교하여 그 적용성을 살펴보았다.
2. 기본이론
2.1 Burr XII 분포
본 연구에서 사용된 3변수 형태의 Burr XII 분포는 Shao et al. (2004)에 의해 소개된 형태로 누가분포함수와 확률밀도함수는 다음과 같이 나타낼 수 있다(Shao et al., 2004; Ganora and Laio, 2015).
(1)
(2)
여기서
는 규모매개변수이고,
와
는 형상매개변수이다.
의 범위는
일 때
이고,
일 때는
이다.
Shao et al. (2004)에 따르면 Burr XII 분포는
인 경우에는 Weibull 분포가 되고
인 경우에는 2변수 Pareto 분포가 된다.
2.2 L-moments
확률가중모멘트는 변수 값과 변수의 평균값과의 차이를 모멘트 차수에 따라 거듭제곱하여 모멘트를 계산하며, Eq. (3)과 같이 정의된다(Greenwood et al., 1979).
(3)
여기서
은 quantile function이고
는 모멘트의 차수이다. Burr XII 분포의 PWM은 Hao and Singh (2009)에 의해서 유도되었으며, Hao and Singh (2009)에 의하면
값은 양의 값을 가질 수 없다. Burr XII 분포의 PWM은 Eq. (4)와 같다.
(4)
여기서
는 감마함수이다.
L-moment 방법은 차수가 다른 확률가중모멘트를 선형으로 가중하여 편의가 제거된 모멘트를 구하는 방법으로 일반 모멘트법과 유사하게 사용되며 확률분포의 매개변수를 추정할 수 있다. 또한 L-moment 비를 사용하여 적정 확률분포함수를 선정할 때 특히 유리하다. L-moment
,
,
,
를 PWM의 선형조합으로 표시하면 다음 Eqs. (5)∼(8)과 같다(Landwehr et al., 1979; Hosking and Wallis, 1997).
(5)
(6)
(7)
(8)
Eqs. (5)∼(8)을 이용하여 다음과 같이 L-moment ratio를 구할 수 있다(Hosking and Wallis, 1997).
(9)
(10)
(11)
3. Burr XII 분포의 L-moment
본 연구에 사용된 Burr XII 분포는 Shao et al. (2004)에 의해 소개된 Burr XII 분포로 L-moment 법(Hosking and Wallis, 1997)을 이용하여 유도하였으며 Eq. (4)을 Eqs. (5)∼(8)에 대입하여 구할 수 있으며 결과는 Eqs. (12)∼(15)과 같다.
(12)
(13)
(14)
(15)
여기서
,
, 
,
로 치환하여 표기하였다. Eqs. (12)∼(15)을 Eqs. (9)∼(11)에 대입하여 L-moment ratio인 L-coefficient of variation (L-CV)와 L-skewness, L-kurtosis를 구할 수 있다.
(16)
(17)
(18)
여기서
,
로 치환하여 표기하였다. L-moment 법에 의해서 무차원화 된 계수인
와
는 두 개의 형상매개변수인
와
만의 함수가 된다. 또한
인 경우에는 Weibull 분포가 되어 위의 Eqs. (16)∼(18)이 적용되고,
인 경우에는 2변수 Pareto 분포가 되어, L-moment ratio값은 다음 Eqs. (19)∼(21)과 같으며,
와
의 관계식은 Eq. (22)와 같이 나타낼 수 있다.
(19)
(20)
(21)
(22)
본 연구에서는 Burr XII 분포의 우리나라 강우자료에 대한 수문학적 적용성을 판별하기 위해서 L-moment ratio diagram (Hosking et al., 1985)을 활용하였다. L-moment ratio diagram은 자료의 통계분포를 가장 잘 표현하는 최적의 확률밀도함수의 수학적 모형을 판별해내는 방법으로 표본에 대한 L-skewness와 L-kurtosis의 평균지점을 도시하는 방법, 표본에 대한 L-moment ratio의 최적 선도를 도시하여 비교하는 방법이 있다. L-moment ratio diagram은 각 확률분포의 L-skewness와 L-kurtosis의 관계를 이용하여 L-moment ratio diagram을 작성하고 적용 자료에 대한 L-skewness와 L-kurtosis의 무차원 L-moment를 도시하여 어떤 확률분포형에 근접한지 확인할 수 있다.
4. 적용 및 결과
4.1 적용
Fig. 1은 본 연구의 흐름을 나타낸 것으로, 먼저 우리나라의 국토교통부, 기상청, 한국수자원공사 등의 620개 지점에서 24시간 연 최대 강우자료를 수집하였다. 수집된 강우자료를 이용하여 620개 지점의 강우자료의 L-moments를 계산하였으며, 그 후 우리나라 620개 강우관측지점의 24시간 연 최대 강우량 자료와 지형자료를 이용하여 동질지역을 21개로 구분하였다. 지역을 구분하고 지역별로 수문학적인 동질성을 가지는지 평가하기 위하여 이질성 척도(heterogeneity measure)를 산정하였다. 동질지역을 구분한 후, Burr XII 분포의 우리나라 강우자료의 적용성을 보기 위하여 Burr XII 분포의 L-moment ratio인 L-skewness와 L-kurtosis를 유도하고 그 관계식을 이용하여 L-moment ratio diagram을 작성하여 도시적인 해석을 실시하였다. 21개의 동질지역으로 구분된 620개 지점을 지역별로 Burr XII 분포 영역에 포함되는 정도를 검토하였고, 기존에 사용하던 GEV, GLO, GUM 분포와 비교하여 분석하였다.
Burr XII 분포의 수문학적 적용성을 검토하기 위해서 L-moment 법을 이용하여 우리나라 620개 강우관측지점의 24시간 강우자료에 대한 L-skewness와 L-kurtosis를 이용하여 L-moment ratio diagram을 작성하였고(Fig. 2), 각각의 L-skewness와 L-kurtosis 값에 따른 지점수를 히스토그램으로 나타내었다. 여기서 십자 표시는 Gumbel 분포, 실선은 GLO 분포, 짧은 점선은 Pareto 분포 및 Burr XII 분포의 하한선, 긴 점선은 Weibull 분포 및 GEV 분포와 Burr XII 분포의 상한선을 나타낸 것이다. 빈도해석 분야에서 적절히 모의되지 않는 부분이 L-skewness에 비해 L-kurtosis가 상대적으로 큰 자료인데, 그림에서 볼 수 있듯이 우리나라 강우관측지점 중 많은 지점들이 L-skewness에 비해 L-kurtosis가 상대적으로 큰 특징을 가지고 있는 것을 볼 수 있다.
4.2 지역구분
수문학적 적용성을 효과적으로 살펴보기 위해서는 지점별로 각각 수행하는 것보다 어느 정도 수문학적 동질성을 가지고 있는 단위로 묶어서 실시하는 것이 통계학적으로 유리하다고 볼 수 있다. 이에 우리나라 강우자료에 대한 Burr XII 분포의 적용성을 살펴보기 위해 우리나라의 국토교통부, 기상청, 한국수자원공사 등의 강우관측지점 자료와 지형자료를 이용하여 동질지역을 구분한 후, 지리적 위치 및 통계적 특성에 따른 우리나라 강우자료에 대한 결과를 살펴보았다. 다음 Fig. 3은 우리나라 620개 강우관측지점의 24시간 연 최대 강우량 자료와 지형자료를 이용하여 동질지역을 구분한 결과를 나타낸 것으로, 지역구분은 지리적 위치, 포함된 지점 및 보유한 자료의 수에 따라 대략 30-40개 지점을 포함하도록 구분하였으며, 동질성 검사를 통해서 동질하다고 판정된 지점만을 포함하도록 하였다. 한편, 제시된 지역 중 2, 4, 16번 지역은 지점이 하나만 존재하는 지역으로 각각 흑산도, 백령도, 울릉도 지점을 포함하고 있다. 이 지점들을 인근의 다른 지역으로 이동하여 이질성 검사를 수행한 결과, 백령도와 울릉도 지점이 포함된 지역은 모두 이질(heterogenous)한 것으로 나타나 금회 분석에서는 제외하였으며, 흑산도는 8번 지역에서 동질한 것으로 나타나 8번 지역으로 이동하였다. 다만 혼동 방지를 위해 이후 결과표에서는 2, 4, 16번 지역은 그대로 두고 결과는 없는 것으로 표기하였다.
한편, 동질성을 가진 지역에서의 모든 지점은 같은 모집단 L-모멘트를 가지지만, 표본 L-moment는 표본의 변동성으로 인하여 서로 다를 수 있다. 그러므로 동질성을 가진 지역에서 예측되는 이산도(heterogeneity)를 해당 지역의 표본 L-moment가 가지고 있는지 여부는 중요한 문제이며, 표본 L-moment 간의 이산도의 산정을 통해 확인하는 과정이 필요하다. 동질 지역에서 이산도를 추정하기 위해서 동질지역 내 지점별 표본자료에 대한
의 가중분산을 Eq. (23)과 같이 산정한다(Hosking and Wallis, 1997).
(23)
여기서,
은 지역내 지점수,
는 총 표본자료 개수,
는 지점 표본자료의 L-CV,
은 지점 표본자료의 평균 L-CV를 나타내며, Hosking and Wallis (1997)가 제안한 모의발생을 실시한 후 Eq. (23)을 이용하여 이산도를 나타내는 가중분산
를 구하고, 이의 평균값과 표준편차를 계산하여 Eq. (24)와 같은 이질성 척도를 산정한다.
(24)
Hosking and Wallis (1997)는 사용한 L-moment ratio에 따라 이질성 척도
를
(L-CV),
(L-skewness) 포함,
(L-kurtosis) 포함의 세 가지 형태로 제시하였으며,
이면 동질성 지역,
이면 이질성 지역일 가능성이 있는 지역,
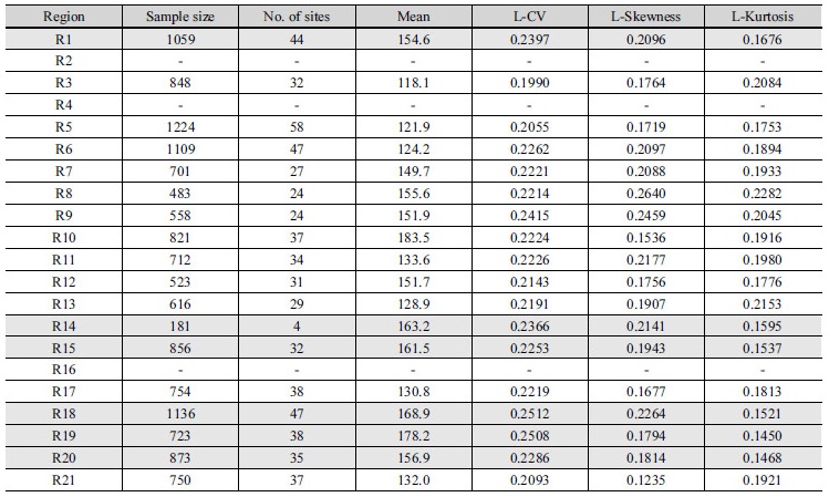
이면 이질성 지역으로 분류한다고 제시하였다. 다음 Table 1은 지역에 따른 이질성 척도를 나타낸 결과로서, R13 지역을 제외한 모든 지역이 이질성 척도에 관계없이 동질한 것으로 나타났으며 R13의 경우도 대체로 동질한 것으로 나타나 본 연구에서 사용된 지역구분은 적절한 것으로 나타났다.
다음 Table 2는 구분된 지역의 표본크기, 지점의 수, 평균, L-CV, L-skewness, L-kurtosis를 나타낸 표로, 여기서 제시된 통계랑은 지점의 자료의 수에 따른 가중평균값이다.
4.3 결과 분석
Table 2에 제시된 지역별 L-skewness와 L-kurtosis를 앞서 유도한 Burr XII 분포의 L-moment ratio diagram에 도시한 결과 Fig. 4와 같이 나타났다. 대부분의 지역은 Burr XII 분포나 Weibull/GEV 분포의 상한선보다 위에 위치하며 GLO 분포에 적합한 것으로 나타났으나, 1, 14, 15, 18, 19, 20번 지역은 GEV 분포 인근에 위치하거나 Burr XII 분포 영역 내에 포함되는 것으로 나타났으며, 해당 지역의 전체 자료를 도시한 결과는 Fig. 5에 나타내었다. 여기서 14번 지역은 제주도 지역으로 이를 제외한다면, 나머지 1, 15, 18, 19, 20번 지역은 모두 한강 유역에 해당하는 지역이다. 또한 Table 3는 Burr XII 분포의 상한, 하한 영역 내에 포함되는 각 지역별 지점 비율을 나타낸 것으로, 해당 지역은 타 지역에 비해 상대적으로 포함되는 비율이 매우 높은 것으로 나타났다. 이 지역들은 각 표에서 음영으로 표시된 지역으로 한강 유역의 경우 타 지역에 비해 평균과 L-CV가 상대적으로 크며 이는 다른 유역에 비해 긴 자료기간과 지역적 특성으로 인해 상대적으로 양으로 왜곡된 자료, 즉 극치사상이 발생할 확률이 높아서 나타난 현상으로 판단된다.
한편 우리나라 수자원 설계 분야에서 일반적으로 많이 사용되는 분포는 GEV 분포 또는 Gumbel 분포이다. 본 연구에서 제시한 Burr XII 분포는 L-skewness보다 L-kurtosis가 큰 자료에 대해서는 GLO 분포만큼 적절하게 모의하지는 못할 것으로 판단되나, L-skewness가 L-kurtosis보다 큰 자료(약 25% 이상)에 대해서는 2개의 형상매개변수로 인해 GEV 분포나 Gumbel 분포보다는 훨씬 유연하게 모의할 수 있을 것으로 판단된다. 우리나라 설계기준 상 대부분 GEV 분포 또는 Gumbel 분포로 전국을 하나의 분포로 통일해서 빈도해석을 하는 상황에서 Gumbel 분포처럼 하나의 점으로 표현되거나 GEV 분포처럼 하나의 선으로 표현되는 L-moment ratio로 다양한 통계값을 가지는 많은 관측지점의 자료를 모의하기에는 많은 불확실성이 내포될 수밖에 없다. Fig. 5에서 보듯이 L-kurtosis가 작은 지점의 경우 GLO 분포에 적합 시킬 경우 오히려 너무 큰 오차가 발생할 수밖에 없는 상황이며, 이는 정도의 차이일 뿐 GEV 분포나 Gumbel 분포도 마찬가지라고 판단된다. 따라서 수문설계 분야에서 Burr XII 분포와 같이 두 개의 형상매개변수로 인해 점이나 선이 아닌 영역으로 표현되는 통계 특성을 가지는 분포에 대한 고려도 필요하다고 판단된다.
5. 결 론
본 연구에서는 두 개의 형상매개변수를 가지고 있어 다양한 통계량을 표현할 수 있는 유연한 특징을 가진 Burr XII 분포의 우리나라 강우자료에 대한 적용성을 살펴보았다. 이를 위해 L-moment 법을 이용하여 L-moment ratio를 유도하고, 국내 강우 관측 자료와의 비교를 통해 다음과 같은 결론을 도출하였다.
1)Burr XII 분포는 두 개의 형상매개변수를 가져 일반적으로 극치사상에 많이 사용되고 있는 GEV 분포와 Gumbel 분포, GLO 분포형처럼 점이나 선으로 나타나는 것과는 달리 영역으로 표현되는 통계적 특성을 가지고 있다. 이와 같이 영역으로 나타나기 때문에 통계적 특성의 범위가 한 개의 형상매개변수를 가지는 분포형보다 넓다. 이에 두 개의 형상 매개변수를 가진 영역으로 나타나는 Burr XII 분포의 우리나라 강우자료에 대한 적용성을 보기 위해 Burr XII 분포의 L-moment ratio를 유도하였고, 이를 L-moment ratio diagram에 도시하였다. 그 결과 형상매개변수가
인 경우는 Weibull 분포를 따르며 L-moment ratio diagram에서 상한선에 해당되고, 형상매개변수가
인 경우로 2변수 Pareto 분포를 따르며, L-moment ratio diagram에서 하한선에 해당된다.
2)지역을 구분하여 지역별 통계 특성을 가지고 Burr XII 분포의 적용성을 살펴본 결과 한강 유역에 해당되는 지역인 1, 15, 18, 19, 20번 지역이 타 유역보다 Burr XII 분포에 포함되는 비율이 높은 것으로 나타났다. 이는 한강 유역의 통계적 특성이 타 지역에 비해 평균과 L-CV가 크고 자료 기간이 커서 나타난 결과로 앞으로 이 지역에 극치사상이 발생할 확률이 높아서 나타난 현상으로 판단된다.
3)우리나라 국토교통부, 기상청, 한국수자원공사 등의 620개 관측지점을 대상으로 Burr XII 분포에 적용한 결과 L-skewness보다 L-kurtosis가 큰 자료에 대해서는 적용성이 비교적 떨어진다. 하지만, L-skewness가 L-kurtosis보다 큰 자료에 대해서는 영역으로 나타나기 때문에 하나의 점이나 하나의 선으로 표현되는 Gumbel 분포와 GEV 분포가 가지는 불확실성을 보완할 수 있을 것으로 판단된다. 따라서 수문설계 분야에서도 Burr XII 분포와 같이 두 개의 형상매개변수를 가져 영역으로 표현되는 통계 특성을 가지는 분포에 대해서 고려하는 연구가 필요할 것으로 판단된다.
한편, 본 연구는 강우지속기간 24시간에 대한 강우자료를 대상으로 L-moment ratio를 이용한 Burr XII 분포의 수문학적 적용성을 간단히 검토하였다. 향후에는 지속기간 24시간 강우와는 다른 강우패턴을 보이는 단기 지속기간자료에 대한 적용성 검토가 추가되어야 할 것으로 판단되며, 적용성의 정량적 분석을 위해 적합도 검정과 quantile을 이용한 오차 산정을 검토해 볼 예정이다.





