1. 서 론
2. 대상구간 및 모니터링 자료
3. 연구방법
3.1 수리해석
3.2 서식처 모의
4. 모의결과
4.1 자연유황과 발전방류
4.2 BBA 기법에 의한 시나리오의 구축
4.3 CSI 및 WUA의 변화
5. 결 론
1. 서 론
현재까지 전 세계 국가에 많은 댐이 건설되었다(WCD, 2000). Richter and Thomas (2007)에 따르면 20세기 후반까지 4만 7000개의 대형 댐이 건설되었으며, 추가적으로 80만 개의 작은 댐이 전 세계에 건설되어 현재 강의 흐름을 차단하고 있다고 한다(McCully, 1996; Rosenberg et al., 2000; WCD, 2000). 또한 300개의 큰 강 중 절반 이상이 전 세계적으로 댐의 영향을 받고 있다(Postel and Richter, 2003; Nilsson et al., 2005). 이러한 댐의 대부분은 홍수 조절, 수자원 개발, 수력 발전과 같은 상당한 편익을 제공하였고, 생활, 산업, 농업 측면에서의 물 공급에 기여했다.
그러나 댐을 통한 유량의 조절은 자연유황와 달리 발전방류와 같이 일정하여 고유량 및 홍수기 유황은 나타내지 않는다. 유황의 변화는 많은 경우 댐에서부터 하류 방향으로 수백 킬로미터까지 연장되는 수생 생태계에 영향을 미친다(Collier et al., 1996; McCully, 1996; Willis and Griggs, 2003; Postel and Richter, 2003). 댐이 수생 생태계에 미치는 영향을 파악한 연구로는, 댐으로 인한 유황의 변화가 수온과 수질에 미치는 영향 분석(Clarkson and Childs, 2000; Lessard and Hayes, 2003; Ahern et al., 2005; Todd et al., 2005; Zolezzi et al., 2011; Kang et al., 2017; Choi and Choi, 2018), 하상변화에 따른 서식처 변화(Williams and Wolman, 1984; Kondolf, 1997; Vörösmarty et al., 2003; Gupta et al., 2012; Mueller et al., 2016; Reusser et al., 2017) 및 범람원 식생 군집 분포 분석(Shafroth et al., 1998; Tockner and Stanford, 2002; Benjankar et al., 2012; Catlin et al., 2017) 등이 있다.
댐 운영에 따른 하류 하도에서 유량의 변화는 주변 수환경에 영향을 주는데, 특히 유황의 변화는 하류 지역의 하천 생태계와 수생 생물에 영향을 미친다(Poff et al., 1997; Postel and Richter, 2003). 물리서식처 분석을 이용하여 댐에서의 발전방류로 인한 유황의 변화가 하류에 서식하는 수생물의 서식처에 미치는 영향에 관한 연구는 많이 수행되었다(Valentin et al., 1996; Booker and Dunbar, 2004; Garcia et al., 2011; Li et al., 2011; Boavida et al., 2015; Choi et al., 2017). 물리서식처 분석을 이용하여 댐으로부터의 유황변화가 하류하천의 수생물 서식처 적합성을 감소시키는 것을 정량적으로 보여주는 연구도 수행되었다(Bunn and Arthington, 2002; Boavida et al., 2015; Choi et al., 2017). 이와 유사하게, 현장 모니터링 및 물리서식처모의를 이용하여 발전방류로 인한 수온의 변화가 댐 하류하천에 서식하는 특정 수생 생물의 분포 및 서식처 적합도에 미치는 영향을 파악하였다(Lessard and Hayes, 2003; Zolezzi et al., 2011; Choi and Choi, 2018). 그러나 대부분의 기존 물리서식처 분석은 발전방류로 인한 흐름이 하류 서식처에 미치는 영향을 평가할 때 적절한 댐 운영 방안을 제시하지 않았다(Poff et al., 1997; Richter et al., 2003; Postel and Richter, 2003).
상류의 댐은 하류로 방류되는 물의 총량을 크게 변화시키고, 저유량과 고유량의 타이밍, 빈도, 지속시간을 변경하며, 발전방류로 인한 수위의 상승 및 하강 단계를 변화시킨다. 발전방류로 인해 변화된 하류 하도의 유량은 일정한 패턴이 반복되어 역동적인 자연유황 패턴과 크게 다르다. 그러나 저유량, 고유량 및 홍수량을 포함한 자연유황은 유사이송을 통하여 하류 하도에 여울과 소를 포함한 하천의 물리적 특성을 형성한다. 즉 다양한 흐름 현상으로 인해 수생태계 서식환경에 중요한 역할을 하고 있다(Poff et al., 1997; Bunn and Arthington, 2002; Richter et al., 2003, 2006; Postel and Richter, 2003; Baldwin et al., 2016; Zadereev et al., 2017). 남아프리카공화국은 1980년대에 하천의 유지관리를 위한 하천 자연유황의 변화를 체계적으로 조사했으며, 1990년대 초반에는 BBA (Building Block Approach) 방법이라는 유황변화의 분석 및 평가 방법론을 개발하였다(Postel and Richter, 2003; King et al., 2008). King and Tharme (1994)은 BBA 방법을 이용하여 댐 하류 하천의 환경흐름 체계 방법론을 도입하였다. 구체적으로 하천의 자연유황 체계 내에서 다양한 흐름이 수생태계의 건전성을 유지하는데 중요하다는 개념에 기초하고 있다. 또한, 이러한 다양한 흐름을 결정하는데 유량의 크기, 지속 시간, 그리고 타이밍이 중요하다고 설명하였다.
본 연구는 물리서식처모의를 이용하여 댐 운영을 자연유황 패턴으로 변화시킬 경우 하류하천 서식처에 미치는 영향을 분석하였다. 이를 위하여 연구 대상하도로 용담댐 하류에 위치한 금강의 13.4 km 구간을 선정하였다. 현장 모니터링 결과, 3종의 어종이 우점종으로 나타났으며 이는 금강 전체 어종의 70%를 차지한다. 본 연구에서는 Gosse (1982)의 방법을 이용하여 각각의 물리적 변수에 대해 개별 종의 서식처 적합도 곡선을 구축하였다. 수리해석 및 서식처 분석을 위해 Nays2D 모형과 Habitat Suitability Index (HSI) 모형을 각각 사용하였다. BBA 방법은 2가지의 시나리오를 만드는데 사용되었으며, 자연유황 패턴의 모방을 통한 댐 운영의 변경 시나리오를 제시하였다. 그리고 물리서식처모의를 통하여 시나리오에 따른 대상어종의 서식처 변화를 모의하였고 복합 서식처적합도지수(Composite Suitability Index, CSI) 분포와 가중가용면적(Weighted Usable Area, WUA)을 제시하였다.
2. 대상구간 및 모니터링 자료
Fig. 1에 금강의 연구 대상구간을 나타내었다. 대상구간의 길이는 13.4 km로 용담댐에서 대티교까지 구간이다. 연구 대상구간의 평균 하상경사는 약 1/7,460이며, 연구대상 지역은 용담댐에 의해 유량이 조절되는 조절하천 구간이다. 댐은 매일 수력발전 기간 동안 동일한 유량을 배출한다. 즉, 연구 대상구간의 유황은 홍수기를 제외하고는 발전방류로 인하여 일년 내내 일정한 흐름을 유지한다고 볼 수 있다. 대상구간에서 유황은 풍수량(Q95), 평수량(Q185), 저수량(Q275), 갈수량(Q355)이 각각 17.13, 9.51, 5.73, 2.87 m3/s로 나타났다(MLTMA, 2011). 여기서 Qn은 연중 n일에 초과되는 유량을 나타낸다.
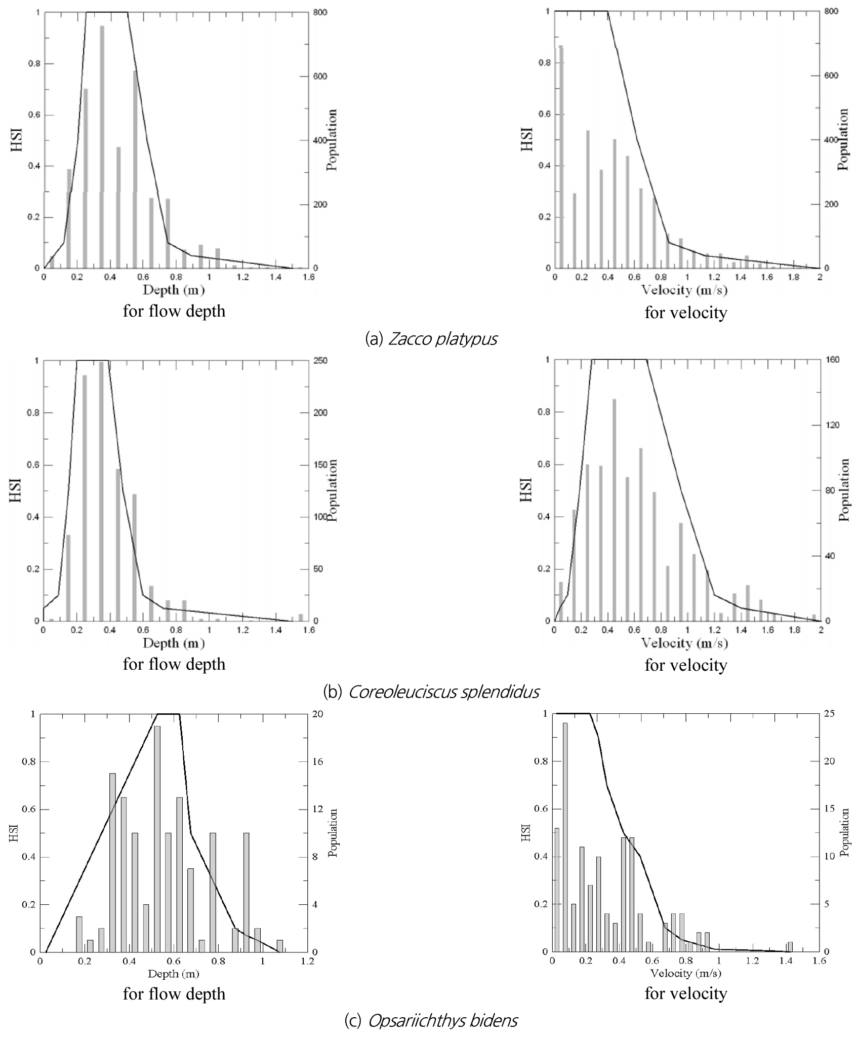
본 연구는 2007-2010년의 기간 동안 정부의 연구개발사업(MOLIT, 2011)을 통해 구축된 수문자료와 수생물 모니터링자료를 이용하였다. 수생물 모니터링자료는 어종의 포획 모니터링 날짜, 수심, 유속, 기층, 수온, 부유 고형물 농도, pH 및 개체군을 포함한다. 수생물 모니터링은 투망과 족대를 사용하여 수행되었으며, 연구대상 구간에서는 피라미(Zacco platypus), 쉬리(Coreoleuciscus splendidus), 그리고 끄리(Opsariichthys bidens)가 우점하고 있어 전체어종의 70%를 차지하는 것으로 나타났다. 피라미, 쉬리, 그리고 끄리의 우점도는 각각 29%, 22%, 그리고 19%로 조사되었다. 특히, 끄리는 금강에 서식하는 토착어종으로 물리서식처모의를 위한 대상어종에 포함된 것은 중요한 의미가 있다고 할 수 있다( Fig. 2).
3. 연구방법
3.1 수리해석
본 연구에서는 수리해석을 위해 Nays2D 모형(Shimizu et al, 2012; iRIC, 2013)을 사용하였다. 이 모형은 하천에서 발생하는 2차원의 복잡한 흐름을 계산할 수 있다. Nays2D 모형은 일반 곡선좌표 내에서 경계 적합좌표를 사용하여 천수방정식을 해석한다(Shimizu et al., 2012). 천수방정식의 연속방정식과 운동량방정식의 종방향(x) 및 횡방향(y) 성분은 각각 다음과 같다.
여기서 h는 수심, u와 v는 각각 x와 y방향의 수심평균된 유속, uh와 vh는 단위 폭당 유량, g는 중력가속도, 는 물의 밀도, 와 각각 x와 y 방향의 난류응력텐서, Dx와 Dy는 확산항을 의미한다. Eqs. (2) and (3)을 이용한 x와 y 방향의 마찰경사에 대한 식은 다음과 같이 표현된다.
여기서 Cf는 마찰계수를 의미하여 Manning의 조도계수를 이용하여 환산하였다.
2차원 수리모형의 검증 결과는 Fig. 3에 제시하였다. Fig. 3에서 유량은 발전방류 조건에서 평균유량인 13 m3/s로 용담댐으로부터 하류방향으로 종방향 수위분포를 나타낸다. 본 연구에서는 용담댐에서 하류 방향으로 6개소의 수위 관측지점(0.15, 2.95, 6.15, 9.15, 12.5, 13.0 km)이 위치해 있다. 계산된 수위는 단면 폭으로 평균하였으며, 측정값은 폭에 걸쳐 세 위치에서 측정된 자료의 산술평균이다. 종방향 수위 검증을 수행하면서 다양한 유량 조건에 대한 조도계수를 보정하였는데, 이에 따라 최종적으로 사용된 Manning 조도계수의 범위는 0.035 - 0.062 이다. 계산된 수위는 실측된 자료와 비교하였을 때 잘 일치하는 것으로 나타났다. 예측된 수위와 실측자료와의 차이는 0.02 - 0.15 m의 범위에 있으며, 이에 따른 상대오차는 0.3% 미만임을 알 수 있다.
3.2 서식처 모의
본 연구에서는 대상어종의 서식환경을 파악하기 위해 USFWS (1981)와 Gosse (1982)가 제시한 방법론을 이용하여 서식처 분석을 수행하였다. 서식처 적합도 곡선은 서식처 적합도 지수의 값을 물리적 서식처 변수의 함수로 제공한다. 적합도 지수는 0에서 1까지 변화하며, 각각은 부적합 환경 및 최적의 서식처 조건을 나타낸다. 계산된 적합도 지수의 범위와 분포를 바탕으로 서식처 적합도 모형을 이용하여 분석하였다. 이 방법은 서식처 인자(수심, 유속, 기층) 가용 범위에 적합도 지수 1.0, 0.5, 0.1, 0.05의 값을 부여하며, 이는 총 개체수의 50%, 75%, 90%, 95%를 포함하는 개체수를 대상으로 한다. 예를 들어, 피라미의 수심에 대한 적합도 지수 분포를 10개 군집별로 나누어서, 2-5 군집의 서식처 조건을 표본으로 추출한 결과 1.0점, 1-2, 5-7 군집은 0.5점, 7-9 군집은 0.1점을, 9-10 군집은 0점을 부여하였다.
가중가용면적은 전체 연구 대상면적에서 서식 공간으로 다음과 같이 사용 가능한 면적으로, 각 인자 별 적합도 지수의 값을 공간적으로 통합한다.
여기서 CSIj는 수심과 유속에 대한 복합 서식처적합도지수를 의미하며, Aj는 j번째 셀에서의 면적을 의미한다. 가중가용면적을 계산하기 위해서는 복합 서식처적합도지수의 값이 필요한데, 이 때 두 인자들의 서식처적합도지수의 값을 곱셈법을 이용하여 산정하였다. 대상어종이 명확한 기층 선호도를 가지고 있지 않아 서식처 분석에 기층 인자는 제외하였다(Yeom et al., 2007; Hur and Seo, 2011; Hur et al., 2011; Choi and Choi, 2015).
Gosse (1982)의 방법으로 구축된 3개의 대상어류에 대한 서식처 적합도 곡선은 Figs. 4(a) ~ 4(c)에 제시하였다. 서식처 적합도 곡선의 구축을 위하여 MOLIT (2011)의 수생물 모니터링 자료를 참고하였으며, 사용된 자료의 수는 3,999개이다. 모니터링 된 개체수는 Fig. 4의 각각의 변수에 대해 균등하게 분할된 범위로 표시하여 나타내었다. 대상어종에 대한 서식처 선호도에 대한 범위를 Table 1에 요약하여 정리하였다. 대상어류는 3 가지 범주의 서식처 선호도를 보인다. 피라미는 평여울(run)을 선호하고, 쉬리는 여울(riffle)을 선호하며, 끄리는 소(pool)를 선호한다(Hur and Seo, 2011; Hur et al., 2011). 평여울을 선호하는 대상어류의 경우, 수심과 유속의 범위는 각각 0.25 - 0.50 m 및 0.40 m/s 이다. 또한, 여울을 선호하는 대상어류는 수심과 유속의 범위는 각각 0.20 - 0.39 m 및 0.28 - 0.69 m/s 이며, 소를 선호하는 대상어류는 각각 수심과 유속에 대해 0.50 - 0.65 m 및 0 - 0.25 m/s의 범위를 선호하였다. 3개의 대상어종이 선호하는 수심과 유속의 범위는 분명히 다른 것으로 나타났으며, 대상하도의 복잡한 지형특성은 대상어종의 서식처 적합성에 영향을 미칠 것으로 예상된다.
Fig. 5는 용담댐의 발전방류 조건에서 복합 서식처적합도지수의 분포를 나타내고 있다. 대상어종인 피라미, 쉬리, 끄리에 대한 복합 서식처적합도지수 분포를 종방향으로 도시하였다. 앞서 설명한 바와 같이, 피라미는 평여울을 선호하고, 쉬리와 끄리는 각각 여울과 소를 선호한다. 그림에서 볼 수 있는 것과 같이 일반적으로 여울과 소에서 각각 쉬리와 끄리의 서식처 적합도가 더 높은 것을 확인할 수 있다. 그러나 피라미의 경우 평여울을 선호하지만, 본 연구에서는 뚜렷한 선호도가 나타나지 않는 것을 알 수 있다.
4. 모의결과
4.1 자연유황과 발전방류
Fig. 6은 용담댐의 댐 상류로부터 유입되는 자연유황 및 발전방류 패턴을 보여준다. 자연유황 패턴은 댐 상류로 3.35 km 떨어진 지점에서 측정된 자료이며, 발전방류 조건에서 전력 생산을 위한 유량은 일평균 약 13 m3/s 이다. 그림에서 댐으로 유입되는 자연유황의 패턴은 저유량, 고유량, 홍수량 등 다양한 패턴으로 구성되어 있는 것을 알 수 있다. 2016년 용담댐으로 유입된 총량은 약 710 × 106 m3으로 댐에서 방류된 총량 684 × 106 m3와 매우 비슷한 것을 알 수 있다. 자연유황 패턴은 하천에서 서식하는 수생물의 다양성 및 서식처 보전성을 유지하는데 중요한 역할을 한다고 알려져 있다(Poff et al., 1997). 즉, 저유량은 연중 대부분의 기간 동안 수생물이 서식하는 환경을 제공하며, 고유량은 산란기에 수생물의 산란서식처를 위한 서식 공간을 확보하는데 도움을 준다. 또한, 홍수량은 하상토 내 이물질의 제거 등의 플러싱 효과, 유사공급, 그리고 하상변동을 유발한다.
Figs. 7(a) ~ 7(c)은 물리서식처 분석을 통해 예측된 발전방류 및 자연유황 조건에서 연평균 복합 서식처적합도지수의 분포를 보여준다. 자연유황 조건과 비교하였을 때, 3가지 대상어종에 대하여 발전방류 조건이 하류하천의 서식처 적합도를 저하시키는 것을 확인할 수 있다. 또한 발전방류 및 자연유황 조건 모두 만곡부를 기준으로 서식처 적합도가 높은 것으로 나타났다. 대상구간에서 발전방류 조건에서는 연간 유량이 일정하게 되는데, 자연유황 조건의 경우 갈수량부터 평수량까지 서식처 적합도가 향상되다가 풍수량 이후에 감소하는 경향을 보이게 된다. 대상구간에서 발전방류에 의한 유량은 풍수량보다 크기 때문에 서식처 적합도를 감소시키는 것으로 판단된다.
Figs. 8(a) ~ 8(c)는 개별 대상어종에 대한 가중가용면적의 변화를 보여준다. 자연유황과 발전방류 조건을 비교해 보면, 일반적으로 발전방류 조건에서의 서식처 면적이 자연유황 중 홍수기를 제외하고는 작게 분포하는 것을 확인할 수 있다. 이는 자연유황과 비교하여 발전방류 조건이 하류하천에서 수생물의 서식처 적합도를 저하시키는 것을 의미한다(Valentin et al., 1996; Gibbins and Acornley, 2000; Garcia et al., 2011; Choi et al., 2017). 정량적으로 지연유황이 피라미, 쉬리, 끄리의 가중가용면적을 각각 5.25%, 5.84% 및 7.31% 증가시켰다. 이는 자연유황 패턴이 서식처 적합도에 유익한 영향을 미친다는 것을 의미한다.
4.2 BBA 기법에 의한 시나리오의 구축
본 연구에서는 BBA 방법을 이용하여 시나리오를 구축하였다. 저수지로 유입되는 유량의 양과 지속기간을 고려하는 수문학적 방법을 사용하여 시나리오 1을 구성하였고, 유입 유량을 월별로 평균하여 시나리오 2를 구성하였다. Figs. 9(a) and 9(b)에 BBA 방법을 이용하여 물리서식처 분석을 위한 시나리오 1과 시나리오 2를 제시하였다. 시나리오 1에서는 댐으로 유입되는 자연유황을 기본으로 하였을 때, 연간 유량을 홍수량(최대 발생유량), 고유량(10 m3/s - 50 m3/s), 그리고 저유량(10 m3/s 이하)으로 구분하고 각각의 유황패턴이 발생되는 시기와 지속기간을 홍수량을 기준으로 고유량과 저유량을 분배하였다. 시나리오 1의 최대 방류량은 6월에 153 m3/s이다. 시나리오 1의 총 부피는 약 692 × 106 m3이며, 이는 댐에서 방출된 705 × 106 m3의 부피와 매우 비슷하다. Fig. 9(b)는 시나리오 2에의한 방류 패턴이며 계절적으로 최소 흐름 할당 방법을 이용하여 방류량을 결정한 결과를 보여준다. 일반적으로 시나리오 2는 저유량 이벤트와 고유량 이벤트로 구성된다. 시나리오 2에서 방류량의 총 부피는 약 701 × 106 m3이며, 이는 댐에서 방출된 705 × 106 m3의 부피와 매우 비슷하다.
물리서식처의 질 혹은 건전성은 유량과 매우 밀접한 관련이 있다. Milhous (2004)는 미국 Colorado River System의 Animas River에서 송어의 서식처 분석을 위한 유량과 서식처 관계를 함수로 나타내었다. 최적의 서식 공간은 어느 정도 유량이 확보될 때까지 증가하다가, 최적의 유량이 확보된 이후에는 유량이 아무리 증가하여도 감소하는 경향을 보인다. 본 연구에서도 대상구간에서 최대 서식처를 발생시키는 유량을 확인하여 보았다. Fig. 10은 대상구간에서 대상어종에 대한 정규화된 서식처 면적과 유량과의 관계를 도시한 것이다. 그림에 따르면 대상어종의 경우 최대 서식처 면적을 보이는 유량이 약 25 m3/s 미만으로 나타났다. 만약 방류량이 더 증가하면, 대상어종에 대한 서식처 적합도 스트레스를 유발하여 서식처 면적을 감소시키게 된다. Fig. 6에서 볼 수 있듯이, 일반적으로 홍수기(6월 30일 ~ 7월 12일)를 제외한 대부분의 방류량이 25 m3/s보다 작은 것을 알 수 있다.
4.3 CSI 및 WUA의 변화
Figs. 11(a) ~ 11(c)는 시나리오 1 및 시나리오 2 조건에 대하여 물리서식처모의를 통하여 예측된 복합 서식처적합도지수의 분포를 보여준다. 계산된 서식처적합도지수의 분포는 일년 동안의 값을 평균하여 제시하였다. 발전방류 조건에 대한 복합 서식처적합도지수 분포와 비교했을 때( Fig. 7) 시나리오 1과 시나리오 2가 대상어종의 서식처를 크게 향상시키는 것을 보여준다. 일반적으로 갈수기에서 평수기까지 방류량이 증가함에 따라 개별 대상어종의 물리적 서식처 적합도가 향상된다. 홍수기를 제외한 시나리오 1과 시나리오 2에 의한 기본 유량은 평수량 보다 작아 서식처 적합도를 향상시키나, 발전방류 조건에서 댐은 일평균 약 13 m3/s 방류하며 이는 평수량을 초과하게 되어 서식처 적합도가 저하된다.
대상어종별로 시간에 따른 가중가용면적의 변화를 Figs. 12(a) ~ 12(c)에 제시하였다. 서식처 적합도의 변화를 살펴보기 위하여 자연유황 및 발전방류 조건의 결과도 함께 나타내었다. 홍수기 시즌을 제외하고 시나리오 1과 시나리오 2의 조건에서 서식처 면적이 발전방류 및 자연유황 조건의 결과보다 더 크다는 것을 확인할 수 있다. 정량적으로 살펴보았을 때, 시나리오 1은 자연유황에 비해 피라미, 쉬리, 끄리의 경우 가중가용면적을 각각 12.28%, 11.08%, 19.11% 증가시켰다. 또한 시나리오 2는 피라미, 쉬리, 끄리의 경우, 가중가용면적을 각각 11.45%, 11.43%, 18.83% 증가시켰다. 이는 시나리오 1과 시나리오 2가 대상어종의 서식처 적합도에 유리하게 영향을 미친다는 것을 의미한다.
5. 결 론
자연유황 패턴을 모방한 댐 운영이 하류하천 수생 서식처에 미치는 영향을 분석하였다. 연구 대상지역은 금강으로 용담댐에서 대티교까지 13.4 km 구간이다. 어류 모니터링 자료에 따르면, 피라미, 쉬리, 그리고 끄리 3종이 우점하여 전체 어종의 70%를 차지하고 있으며, 물리서식처모의를 위한 대상어종에는 우점종뿐만 아니라 끄리와 같은 고유종도 포함되었다. Nays2D 모형을 이용하여 수심 및 유속 변화를 예측하였고, 서식처 적합도 모형을 이용하여 서식처 분석을 수행하였다. 두 가지 서식처 변수인 수심과 유속은 물리서식처 분석에 사용되었다.
먼저, Nays2D 모형의 검증을 실시하였다. 댐에서 방류되는 유량을 적용하여 예측한 결과, 하류하천에 측정된 수위와 비교하였을 때 예측을 잘하는 것으로 나타났다. 또한, 대상어종에 대한 Gosse (1982)의 방법을 이용하여 서식처 적합도 곡선을 구축하였다. 각각의 어종이 선호하는 수심, 유속 및 기층을 기준으로 서식처 유형을 구분하였다. 수심 및 유속의 선호도에 따라 서식처 유형이 뚜렷하게 다른 것으로 나타났다. 그리고 용담댐에서의 자연유황 및 발전방류 패턴을 이용하여 물리서식처 분석을 수행하였다. 이를 통하여 연구 대상지역에서 자연유황 패턴이 하류하천의 서식처 적합도를 향상시키는 것을 확인하였다. 정량적으로, 자연유황 패턴은 가중가용면적을 약 6% 증가시키는 것으로 나타났다.
BBA 방법을 이용하여 하류하천에 서식하는 수생물의 서식환경에 유리한 댐 방류 패턴 시나리오를 제시하였다. 저수지 유입량의 수문학적 특성과 월별 평균을 이용하여 시나리오 1과 시나리오 2를 각각 제안하였으며, 앞서 구축한 서식처 적합도 곡선을 이용하여 대상어종의 서식처 적합도 변화를 예측하였다. 그 결과, 자연유황 및 발전방류 조건에 비해 시나리오 1과 시나리오 2가 서식처를 유의하게 증가시켰으며, 이는 시나리오 1과 시나리오 2가 대상 어류의 서식처 적합성 향상에 영향을 미친다는 것을 보여준다. 정량적으로 살펴보았을 때, 시나리오 1과 시나리오 2는 평균적으로 14.15%와 13.90%의 가중가용면적을 증가시키는 것으로 나타났다. 이러한 결과는 자연유황 패턴으로의 댐 운영 변화는 우점종 및 아우점종 뿐만 아니라 고유종에 더 유익한 환경을 제시한다는 것을 의미한다.
단, 본 연구를 통해 제시된 방류 시나리오는 댐의 운영 요건을 고려하지 않은 것으로 이를 고려하여 실제 가능한 시나리오를 구성할 필요가 있다. 또한, 우리나라 하천에서 유사이송은 주로 홍수기에만 발생하므로 자연유황이 어느 정도 회복되면 댐 하류 하도에 유사를 공급할 수 있을 것이다. 따라서 자연유황 회복을 위한 댐 운영을 통해 수생물의 물리서식처를 개선할 수 있으며 유사 공급을 복원하여 하상변동도 완화시킬 수 있다. 이에 관한 연구는 향후에 추진될 예정이다.














