1. 서 론
2. 기후변화를 고려한 미래기간 강우자료 생성 및 홍수특성 평가방법
2.1 기후시나리오
2.2 Downscaling
2.3 강우유출모형
3. 대상유역 및 자료구축
3.1 관측 강우자료 수집
3.2 미래 강우자료 수집 및 보정
3.3 배수분구 선정
4. 적 용
5. 결과 및 토의
5.1 유역 출구부 최대첨두홍수량
5.2 소유역별 최대첨두홍수량
5.3 시나리오 기간에 대한 최대첨두홍수량 변화율
6. 결 론
1. 서 론
최근 기후변화로 인한 이상기후현상으로 국지성 호우와 홍수, 그리고 극심한 가뭄과 같은 극치수문현상이 빈번하게 관측되고 있다. 특히 극치강우사상은 홍수 위험도 증가와 치수안전도 감소 등 수공구조물 설계의 불확실성을 증가시키는 원인이 되고 있다. 따라서 기후변화로 인해 발생할 수 있는 극치수문사상에 효과적으로 대비하기 위하여 전 세계적으로 다양한 연구가 진행되고 있다(Griffis and Stedinger, 2007; Jain and Lall, 2000; Kharin and Zwiers, 2005).
수공구조물 설계에 기본이 되는 설계홍수량의 산정방법은 첨두홍수량 자료를 빈도해석하여 홍수량을 산정하는 방법과 강우-유출 관계를 분석하여 홍수량을 산정하는 방법이 있다. 두 가지 방법 중 첨두홍수량 자료를 이용한 빈도해석 방법이 적절한 방법이지만 우리나라의 경우 홍수량 관측 자료가 부족하고 수위-유량 관계 곡선의 신뢰도가 낮아 실무에서는 강우-유출 관계를 통한 홍수량 산정 방법을 주로 사용하고 있다(MLTMA, 2012). 강우-유출 관계 분석 방법에서 입력 자료로써 활용되는 확률강우량은 설계홍수량 산정에 가장 중요한 요소이기 때문에 확률강우량의 추정, 변화 그리고 평가 등에 관한 다양한 연구가 진행되고 있다(Kim et al., 2000; Kim and Lee, 2015; Koo and Seo, 2017; Lee and Heo, 2001; Lee et al., 2009).
최근 기후변화로 인한 극치강우사상은 과거의 강우사상과는 다른 양상으로 광화문(2010), 강남역(2010), 청계천(2010), 청주(2017), 부산(2017)에서 내수침수로 인한 인명피해와 주요 도심지역의 침수로 막대한 재산피해가 발생하였다. 따라서 급격한 기후변화에 의한 인간 사회 및 자연 생태계에 대한 악영향을 최소화하기 위해서 향후 기후변화에 따른 영향을 평가하고 이에 대응하기 위한 구조적 ․ 비구조적 대책 마련이 시급하며, 이를 실제 정책에 반영하기 위해서는 신뢰성 있는 정량적 평가가 선결되어야 한다. 이미 기후변화 연구의 선진국인 미국, 영국, 일본 등에서는 기후변화가 수자원에 미치는 영향을 평가하고, 수자원 설계나 관리에 활용하기 위한 시도가 끊임없이 이뤄지고 있다. 국내의 경우 최근에 들어 기후변화에 대한 연구가 진행되고 있으나 연구의 방법이 다양하지 않고, 특히 최근 침수피해가 증가하고 있는 도시유역의 내배수 시스템에 대한 정량화된 영향평가는 미비한 실정이다. 기후변화의 영향에 따른 미래 강우발생자료를 활용하여 강우-유출 관계 분석을 수행하기 위해서는 Global Climate Model (GCM)이나 Regional Climate Model (RCM)과 같은 전지구적 모형의 활용이 필수적이다. 하지만 이러한 전지구적 모형은 시공간적 해상도가 매우 낮거나 실제 자료간의 편의(bias)가 발생하기 때문에 일반적인 강우-유출 관계 분석 수행을 위해 바로 적용하기에는 어려움이 따른다. 이러한 문제를 해결하기 위해 미래 강우발생 자료의 해상도를 향상시킬 수 있는 상세화 기법 및 편의 보정에 대한 연구가 활발히 진행중이다(Ehret et al., 2012; Hwang et al., 2011; Jung, 2008; Lee, 2014; Mearns et al., 2001).
본 연구에서는 기후변화 영향을 고려한 미계측 도시지역의 첨두홍수량 추정을 통해 미래의 수공구조물 설계기준의 불확실성을 검토하고자 한다. 이를 위해 미래 목표연도 확률홍수량을 산정하고 변동성 및 수공구조물에 미치는 영향을 분석하여 미래 수공구조물 계획 및 설계, 취약성분석의 기준을 위한 정량적 결과를 제시하고자 하였다.
2. 기후변화를 고려한 미래기간 강우자료 생성 및 홍수특성 평가방법
2.1 기후시나리오
전지구 기후변화 시나리오의 전지구기후모델(global climate model, GCM)이 범국가적 기후변화 대응에 중대한 역할을 하고는 있지만, 전지구 시나리오만으로는 하나의 국가가 속한 좁은 범위의 지역기후변화에 대한 대응에 원활하지 못할 수 있다. 국가 차원의 기후변화 대응을 위해서는 전지구 기후변화 시나리오 개발과 더불어 지역 및 국가 표준 기후변화 시나리오 개발이 동시에 요구된다.
동아시아에 속한 우리나라의 경우, 기후시스템의 복잡한 상호작용으로 인해 기후가 결정된다. 따라서 수백 km 수평해상도의 전구기후모델만으로는 미래 기후변화의 시 ․ 공간적 정확하게 예측이 불가능하다. 따라서 보다 세밀한 규모의 고해상도 지역기후모델(reginonal climate model, RCM)에 관한 연구가 지속적으로 진행되었다(Giorgi and Mearns, 1999; Leung et al., 2003; Wang et al., 2004). 이에 기상청은 GCM 중 영국 기상청 해들리센터의 Hadley Centre Global Environ-ment Model 2 - Atmosphere Model, HadGEM2-AO를 도입하여 수평해상도 약 135 km의 RCP 시나리오를 산출하였고, 그 시나리오를 기초로 한 RCM인 HadGEM3-Regional Atmo-sphere (RA) Model을 사용하여 한반도 영역에 대해 약 12.5 km의 해상도를 갖는 역학적 상세화된 지역기후변화 시나리오를 산출하였다.
본 연구에서는 1961~2016년 동안의 과거 관측자료와 HadGEM2-AO (GCM)와 HadGEM3-RA (RCM)을 이용하여 대표농도경로(representative concentration pathway, RCP) 시나리오 중에서 온실가스 저감정책이 상당히 실현되는 경우인 RCP 4.5시나리오를 선택하고 2017~2100년 미래 자료를 이용한 수치모의를 수행하여 기후변화에 따른 확률홍수량 변화를 비교 실험하였다.
2.2 Downscaling
본 연구에서는 통계적 상세화 기법으로 자료간의 스케일 성질을 활용한 단일 스케일 기법을 활용하였다. 강우자료를 위한 단일 스케일 방법은 지속기간 별 관측된 강우자료로부터 추정된 확률강우량이 갖는 스케일 성질(scaling property)를 활용하여 스케일 인자(scaling factor)와 스케일 지수(scaling exponent)를 추정하여 전지구적 기후모형으로 부터 얻은 저해상도의 미래 확률강우량을 대상으로 상대적으로 높은 해상도에 해당하는 확률강우량 값을 추정하는 방법이다(Gupta and Waymire, 1990).
스케일 성질을 활용한 상세화 기법은 Eq. (1)과 같다.
(1)
여기서,
는 스케일 인자,
은 스케일 지수이고 일정한 값을 갖는다.
본 연구에서는 Jung et al. (2008)이 제시한 방법을 이용하여 스케일 인자와 지수를 산정하였다.
2.3 강우유출모형
본 연구에서는 도시지역의 기후변화 영향분석을 위해서 주로 도시 유역의 단일호우나 연속호우사상으로 인한 지하수 흐름과 지표면 유출, 관로 시스템 내에서의 흐름을 모의하여 수질 및 유출량의 변화를 분석하는 XP-SWMM 2011 유출모형을 사용하였다. SWMM 모형은 도시유역 하수관망의 수질 및 유량을 분석할 수 있도록 Metcalf & Eddy사, Florida University, Water Resources Engineers (WRE)사가 미국 EPA 지원 아래 공동연구로 개발하였다(Huber and Dickinson, 1988). 또한 1971년 개발 이후 수공구조물의 월류, 배수, 압력류 등 계산이 가능하도록 1981년에 EXTRAN 블록을 SWMM 모형에 포함시켜 TRANSPORT 블록을 확장, 보완하였다.
XP-SWMM 모형은 다양한 홍수추적 방법을 시설물에 적용할 수 있도록 SWMM을 보완한 모형으로 다양한 수리구조물 적용이 가능하며, GIS 연계 2차원 침수모의를 통한 지표의 침수면적, 침수심 등을 산정할 수 있는 기본적인 특성을 바탕으로 한다. 시간적으로는 임의로 강우간격의 설정이 가능하며, 강우사상에 대해 연산시간간격의 임의조절이 가능하다. 또한 공간적으로는 다수의 소유역 및 관로로 배수구역이 구성, 소배수유역에서 비교적 큰 배수유역까지 적용이 가능하다. 따라서 강우사상으로 인해 발생하는 도시유역의 유출량, 지표면 및 지표하 흐름, 유출량추적, 오염물질의 처리와 비용, 저류량 산정 등을 모의할 수 있는 종합적인 모형이다.
3. 대상유역 및 자료구축
기후변화가 미래 수공구조물에 미치는 영향을 평가하기 위하여 과거기간 대비 미래기간 확률홍수량 추정을 통해 미래의 수공구조물 설계기준의 불확실성을 검토하였다. 적용 모형으로는 반응이 빠른 도시유역에 적합한 강우-유출 모형인 XP-SWMM 2011을 선정하였다. 적용 대상으로는 서울 효자배수분구를 선정하였다. 선정된 효자배수분구는 중랑처리구역에 위치한 24개 배수분구로 구분된 유역면적 528.9 ha 지역으로 2010년 9월과 2011년 7월 기습적인 폭우로 인해 하류부의 상당히 많은 부분이 침수된 유역으로 연구대상지역으로 선정하였다(Fig. 1). 상류부는 급한 경사를 이루고 있으며, 중하류부로 내려오면 경사가 급격히 완만해지며 평지부를 형성하고 있는 전형적인 도시화된 도시분구이다.
본 연구에서는 미래 목표연도 확률홍수량을 산정하고 변동성을 분석하기 위해 전체 모의기간(1961~2100년) 중 84년(2017~2100년) 동안을 기준으로, 미래 84년 동안을 3개의 분석기간으로 S1 (2017~2046년), S2 (2047~2076년), S3 (2077~ 2100년)로 구분하여 분석하였다.
3.1 관측 강우자료 수집
본 연구에서는 도시지역의 확률강우량의 변동성 분석 및 유출 영향 평가에 기본적으로 필요한 강우자료를 수집하기 위하여 서울에 위치한 관측소를 조사하여 관측소별 관측의 유무 및 자료 가용여부를 검토하였다. 서울시 관내의 우량관측소는 Table 1과 같이 강우 관측자료 보유기간은 대부분 10~20년이며, 국토해양부 4개소, 기상청 27개소, 서울시 47개소로 총 78개소가 운영 중에 있다. 이 중 본 연구에서는 미래 확률강우량 변동성 평가 및 유출 영향 평가를 위해 비교적 장기간 관측자료와 양질의 자료를 보유하고 있는 기상청 관할 강우 관측소를 채택하였다. 과거 관측 자료 수집기간은 27개 지점에서 유일하게 30년 이상의 자료를 보유하고 있는 서울기상관측소 지점에서 S0 (1961~2016년) 시단위 강우 자료를 수집하였다.
3.2 미래 강우자료 수집 및 보정
본 연구에서는 과거 S0기간 대비 미래 S1, S2, S3기간에 해당하는 미래시나리오 RCP4.5 HadGEM3-RA (RCM)을 통해 생성된 일 강우자료를 이용하였다. RCM 자료의 경우, 모의 결과가 전반적으로 과소추정되어 짧은 지속시간을 갖는 시계열자료생성에 바로 사용하게 될 경우 현실성 없는 결과를 도출하게 되기 때문에 Quantile Mapping을 이용하여 편의 보정을 실시하였다. 본 연구에서 선정한 미래시나리오를 통해 생성된 강우자료는 일 단위 자료로 제공된다. 일 단위 자료는 짧은 지속기간의 강우자료를 활용해야하는 도심지역 유출모의에는 적합하지 않다. 따라서 도심지역의 유출모의를 수행하기 위하여 일단위 강우자료를 시단위의 자료로 상세화하여 강우자료를 생성하였다. 상세화 기법으로는 2.2절에서 언급한 스케일인자를 활용한 통계학적 상세화 기법을 활용하였다.
3.3 배수분구 선정
본 연구에서는 대한민국 수도 서울의 중심지이며, 지방1급 하천인 청계천의 상류부로 인왕산과 삼청동에서 내려오는 백운동천과 중학천이 청계천과 합류하는 배수역인 효자배수분구를 대상유역으로 선정하였다. 효자배수분구는 24개 배수분구로 구분된 중랑처리구역에 위치한 유역면적 528.9 ha인 지역으로 유역의 상류부는 매우 급한 경사를 이루고 있는 산지의 상류부와 경사가 급격히 완만해지며 평지부를 형성하고 있는 중하류부로 전형적인 도시화된 도시 배수분구로 2010년 9월 21일과 2011년 7월 27일 기습적인 폭우로 하류부가 침수된 이력이 있다. Fig. 1은 효자배수분구와 소배수역을 도시한 것이며, Table 1에 효자배수분구의 소배수역의 면적을 정리하였다.
4. 적 용
본 연구에서는 서울 지점의 과거기간 S0 (1961~2016년)에 해당하는 강우 자료를 활용하여 RCM의 일 강우 자료에 대해 Quantile Mapping 과정을 통해 편의 보정하였다. 생성된 자료를 이용하여 S0 (1961~2016년), S1 (2017~2046년), S2 (2047~2076년), S3 (2077~2100년) 기간에 대하여 Table 2와 같이 최우도법을 사용하여 매개변수를 추정하였으며, 최종 확률분포형은 Table 3과 같이 Gumbel (1958)을 사용하여 빈도해석을 실시하였다. 재현기간 10년, 30년, 50년 그리고 100년에 해당하는 확률강우량을 산정하고, 과거 S0기간 확률강우량으로 얻은 스케일인자을 이용하여 미래 S1, S2, S3기간을 상세화하여 시 단위 확률강우량을 생성하였다. 산정된 시 단위 확률강우량을 Huff 4분위 방법을 이용하여 시간분포 후 강우-유출모형(XP-SWMM)에 적용 모의하여 지속기간(60, 120, 180분)별 확률 홍수량을 산정하였다. Huff 분위 방법의 경우 국토해양부에서는 확률강우량도 개선 및 보완 연구를 통해 전국의 분포되어 있는 기상청 69개 지점에 대해 Huff 분포값을 제시하고 있고 대부분의 지역에서 최빈분위로 2분위와 3분위가 채택된바 있다(MOLTMA, 2011). 계획홍수량 산정 시 최빈분위를 산정하는 것이 일반적이나 중 ․ 소규모 유역의 최빈분위가 1분위이나 2분위일 경우에는 초기손실의 영향으로 첨두홍수량이 매우 작게 산정되고, 도심지역 유출해석의 경우 2분위의 첨두유출량에 비해 4분위의 첨두유출량이 지속기간이 늘어남에 따라 함께 증가하는 것으로 보고된 바 있다(Seo and Song, 1998; Lee and Chu, 2006). 본 연구에서는 미래의 시나리오 자료를 활용하여 미래의 도심지역 유출의 극한 상황을 고려하기 위해 4분위를 채택하여 시간분포를 수행하였다. XP-SWMM 모형의 경우 하수관망에서 월류된 유량의 2차원 지표흐름분석을 위한 지형자료와 1차원 흐름분석을 위한 관망자료를 적용하여 모형을 구축하였다. 지형자료는 국토지리정보원에서 제공하는 수치지도를 Digital Terrain Model (DTM)로 변환하여 적용하였으며, 관망자료는 172개의 Node와 170개의 Link를 생성하여 효자배수분구의 하수관망을 구축하였다. 효자배수분구의 소유역은 총 172개로 분할하여 유역면적, 불투수율, 너비, 구배 등을 각 유역마다 입력하여 XP-SWMM 모형을 구축하였다.
5. 결과 및 토의
5.1 유역 출구부 최대첨두홍수량
본 연구의 대상지역인 서울시 효자배수분구의 최종 출구부인 청계천 모전교 지점의 최대첨두홍수량을 4개 빈도(10, 30, 50, 100년) 및 3개 지속기간(60, 120, 180분)에 대하여 산정하고 비교하였다(Table 4 and Fig. 2). 각 재현기간 별, 지속기간 별 시나리오 기간 중 대부분의 최대첨두홍수량은 S2 기간에서 발생하였으며, S3 기간에서 두 번째, S1 기간에서 가장 낮은 홍수량값이 발생하였다.
대부분의 Case에서 120분이 임계지속시간(critical duration)으로 산정되었다. S3 기간 중 10년, 30년, 50년 빈도와 S1 기간의 100년 빈도, 그리고 S2 기간의 100년 빈도에서는 60분이 임계지속시간으로 산정되었으나 120분의 결과와 큰 차이를 보이지 않았다.
S0 기간을 기준으로 3개 기후시나리오 기간의 최대첨두홍수량 변화율을 살펴보면, 모든 기후변화 시나리오에 대해 증가하는 것으로 나타났다. 최대 변화율은 S2 기간의 10년빈도 중 지속기간 180분 케이스에서 121.85%, 최소 변화율은 S1 기간의 100년빈도 중 지속기간 120분에서 발생하였다.
5.2 소유역별 최대첨두홍수량
유역면적 및 최대첨두홍수량 별 최대첨두홍수량의 변화율을 분석하기 위해 대상지역 내 소유역의 최대첨두홍수량을 산정하고 비교하였다. Fig. 3은 소유역의 첨두홍수량을 유역면적에 따라 도시한 그래프이다. 대부분의 소유역에서 첨두홍수량이 증가하는 것으로 나타났다. 기간 별 변화율의 편차는 재현기간이 커질수록 그리고 유역면적이 커질수록 작아지는 경향을 보였다. Fig. 4는 소유역의 첨두홍수량을 첨두홍수량에 따라 도시한 그래프이다. 대체로 100%에서 150% 내에 변화율이 분포하고 있다.
5.3 시나리오 기간에 대한 최대첨두홍수량 변화율
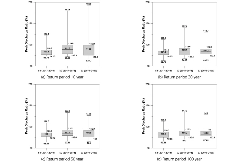
대상지역 내 소유역에서 시나리오 기간에 따라 산정된 최대첨두홍수량의 변화율을 Box and Whisker plot을 통해 분석하였다. Fig. 5(a)는 임계지속시간으로 결정된 지속기간 120분에 대한 10년빈도의 최대 첨두홍수량의 변화율은 S1 기간의 경우 101.5%와 110.2% 구간 내에, S2 기간의 경우 103.3%와 119.6% 구간 내에, 그리고 S3 기간의 경우 100.2%와 118.9% 구간 내에 50%의 최대첨두홍수량이 분포하고 있으며, 중앙 값은 각각 105.2%, 111.2%, 110.2% 였다. 대부분의 도시배수시설물 설계빈도인 10년 빈도의 경우 3사분위값을 기준으로 할 때 50년 미래를 가정할 경우에는 약 10%, 70년 이상의 미래를 가정할 경우에는 약 20%의 확률 홍수량 증가가 예상된다.
Fig. 5(b)는 임계지속시간으로 결정된 지속기간 120분에 대한 30년빈도의 최대첨두홍수량의 변화율은 S1 기간의 경우 101.5%와 107.9% 구간 내에, S2 기간의 경우 101.1%와 113.6% 구간 내에, 그리고 S3 기간의 경우 102.9%와 112.9% 구간 내에 50%의 최대첨두홍수량이 분포하고 있으며, 중앙 값은 각각 104.6%, 108.4%, 107.2% 였다. 대규모 도시배수시설물 설계빈도인 30년 빈도의 경우 3사분위값을 기준으로 할 때 50년 미래를 가정할 경우에는 약 8%, 70년 이상의 미래를 가정할 경우에는 약 14%의 확률 홍수량 증가가 예상된다.
Fig. 5(c)는 임계지속시간으로 결정된 지속기간 120분에 대한 50년빈도의 최대첨두홍수량의 변화율은 통해 분석한 결과이다. S1 기간의 경우 102.2%와 109.1% 구간 내에, S2 기간의 경우 103.6%와 114.1% 구간 내에, 그리고 S3 기간의 경우 101.0%와 113.3% 구간 내에 50%의 최대첨두홍수량이 분포하고 있으며, 중앙값은 각각 105.0%, 107.1%, 106.8% 였다. 도시배수시설물 설계빈도를 초과하는 50년 빈도의 경우 3사분위값을 기준으로 할 때 50년 미래를 가정할 경우에는 약 9%, 70년 이상의 미래를 가정할 경우에는 약 14%의 확률 홍수량 증가가 예상된다. 50년 빈도 이상의 홍수는 대부분의 도시배수시설물의 설계빈도를 초과하는 홍수이므로 S0 기간에서도 초과 홍수량이 배수시설물을 통해 유출되지 못하고 맨홀을 통해 유역내로 범람하여 S0 기간 대비 최대첨두홍수량의 변화폭이 작아지는 것으로 판단된다.
Fig. 5(d)는 임계지속시간으로 결정된 지속기간 120분에 대한 100년빈도의 최대 첨두홍수량의 변화율은 S1 기간의 경우 100.6%와 1010.3% 구간 내에, S2 기간의 경우 103.4%와 112.5% 구간 내에, 그리고 S3 기간의 경우 103.4%와 112.0% 구간 내에 50%의 최대첨두홍수량이 분포하고 있으며, 중앙 값은 각각 105.2%, 106.7%, 106.3% 였다. 극한 홍수에 해당하는 100년 빈도의 경우 3사분위값을 기준으로 할 때 50년 미래를 가정할 경우에는 약 10%, 70년 이상의 미래를 가정할 경우에는 약 13%의 확률 홍수량 증가가 예상된다. 100년 빈도의 홍수는 50년 빈도의 경우와 마찬가지로 대부분의 도시배수시설물의 설계빈도를 초과하는 홍수이므로 S0 기간에서도 초과 홍수량이 배수시설물을 통해 유출되지 못하고 유역내로 초과 되어 S0 기간 대비 최대첨두홍수량의 변화폭이 작아지는 것으로 판단된다.
6. 결 론
본 연구에서는 상세화 기법 및 편의보정을 통해 생산된 고해상도 기후시나리오를 이용하여 기후변화가 도시유역 홍수특성에 미치는 영향을 정량적으로 평가하였다. 이를 위해 서울시 효자배수분구를 대상으로 과거 S0 (1961~2016년)기간 대비 미래 S1 (2017~2046년), S2 (2047~2076년), S3 (2077~ 2100년)기간의 확률강우량의 변화를 평가하고, 도시유출모형을 이용하여 최대첨두홍수량을 산정하고 기후변화 기간별 영향을 분석하였으며, 결과는 다음과 같다.
1)지속기간이 짧은 시계열 강우자료를 생성할 경우 전반적으로 과소추정되는 RCM 자료에 편의보정을 하고, 상세화 기법을 적용하여 기후변화 시나리오에 대한 시단위 확률강우량을 산정하였다.
2)기후변화에 따른 서울 지점의 재현기간별 확률강우량의 변화를 분석한 결과 S2 기간에서 최댓값이 산정되었으며, 재현기간이 증가함에 따라 기간별 증가폭은 감소하는 것으로 분석 되었다.
3)서울시 효자배수분구의 기후변화에 따른 홍수특성에 대한 영향을 평가하기 위하여 XP-SWMM모형을 이용하였으며, 평가지표로 유역 출구부 최대첨두홍수량과 소유역별 최대첨두홍수량을 홍수특성치(Flood index)를 이용하였다. 평가 결과 확률강우량의 경우와 마찬가지로 S2 기간에서 최댓값이 발생하는 것으로 분석되었다.
4)S0기간 대비 미래 S1, S2, S3기간에서 소유역별 최대첨두홍수량을 분석한 결과 중앙값을 기준으로 약 5~11%의 확률홍수량 증가가 예상되었다.
5)특히 대부분의 도시배수시설물 설계빈도인 10년 빈도를 기준으로 첨두홍수량의 변화율을 살펴보면, 미래의 기간에 해당하는 S1의 3사분위값을 기준으로 가정할 경우에는 약 10%, S2기간의 3사분위값으로 가정할 경우에는 약 20%의 확률 홍수량 증가가 예상되었다.
본 연구의 결과에서 보는 바와 같이 기후변화에 따른 강수량의 증가로 인해 인구와 재산이 밀집해 있는 서울지역의 경우 미래기간으로 갈수록 확률강우량이 크게 증가하는 경향을 보였으며, 이는 현재 구축되어 있는 배수시스템의 설계빈도를 크게 상회하는 값으로 수해관리에 많은 어려움을 줄 것으로 예상된다. 또한 모형을 통한 홍수특성 평가 결과 강우량 및 강우강도의 증가로 인해 확률홍수량이 크게 증가한다는 결론을 도출해낼 수 있었다. 이러한 결과는 현재를 기준으로 설정된 설계홍수량으로 설치된 도시배수시설물이 미래에는 설계기준에 미달하는 시설물이 될 수 있다는 것을 의미하며, 기후변화에 대응 위해서 설계기준에 시설물의 내구연한을 고려한 미래 기후상태를 반영해야할 것으로 사료된다.
최근 국내에서도 기후변화에 따른 수공시설물 설계빈도 상향에 대한 필요성이 대두되고 있으나 기후변화의 불확실성 및 기후시나리오의 한계로 인해 정량적 분석결과가 제시되지 않은 상황이다. 본 연구는 기후변화가 도시배수시스템에 미치는 영향을 정량적으로 평가한 측면에서 가치가 있다고 판단되며 기후변화 적응 대책 신규 시설물 설계시 참고할 수 있는 기초자료로 활용될 것으로 사료된다.











