1. 연구동향 및 목적
2. 이론적 배경 및 실험
2.1 플럭의 밀도와 프랙탈 차원
2.2 플럭의 침강속도
2.3 실험 방법
3. 결과 및 분석
3.1 카올리나이트 실험결과 분석
3.2 자연유사 실험결과 분석
4. 결론 및 토의
1. 서 론
진흙, 펄 등으로 불리는 점착성 유사(Cohesive Sediment)는 유사의 표면이 가지는 전자기적 점착력에 의해 작은 입자들이 응집되어 상대적으로 큰 플럭(Floc)을 형성한다. 형성된 플럭은 더 작은 입자 또는 플럭 등과 결합되거나 파괴되며 크기와 밀도가 지속적으로 변화하는 특성을 가진다. 이러한 일련의 과정을 응집현상(Flocculation Process)이라 하며 응집(Aggregation)과 파괴(Disaggregation 또는 Breakup)의 과정이 경쟁적으로 발생하는 현상이다. 모래 등과 같은 비점착성 유사의 거동을 이해하기 위해서는 알갱이 또는 입자 1개의 밀도, 크기 등에 관심을 두지만 점착성 유사는 1차 입자(Primary Particle)라고 불리는 작은 알갱이들이 뭉쳐진 덩어리인 플럭을 하나의 단위로 보고 이해하는 것이 일반적이다(e.g., Winterwerp and van Kesteren, 2004; Manning et al., 2007). 따라서 점착성 유사의 거동을 해석할 때는 덩어리의 크기와 밀도가 상황에 따라 지속적으로 변화하는 것으로 고려하게 된다.
유사가 부유하고 다시 퇴적되며 이동하는 과정에서는 침강속도(Settling Velocity)가 매우 중요한 영향을 미친다. 유사의 침강속도에 따라 부유 및 퇴적의 경향과 정도가 결정되며 다양하게 변화하는 유수동역학적 조건 하에서 유사 이동의 특성을 이해할 수 있다. 침강속도는 유사의 크기와 밀도의 함수로 계산하는 것이 일반적이다. 위에서 언급된 것과 같이 점착성 유사의 크기와 밀도가 상황에 따라 지속적으로 변화함으로 인해 침강속도 역시 고정적이지 않게 된다. 동일한 유수동역학적 조건이라 하더라도 점착성 유사의 덩어리인 플럭의 밀도와 크기에 따라 각기 다른 침강속도를 가질 수 있고, 이에 따라 점착성 유사의 이동 특성 역시 상황에 따라 변화하게 된다. 그러므로 점착성 유사의 이동을 이해하기 위해서는 플럭의 크기와 밀도에 대한 이해가 반드시 선행되어야 한다.
점착성 유사의 크기와 밀도를 정량화하기 위해서 많은 연구가 수행되어 왔다. 점착성 유사의 크기와 밀도가 변화한다는 점 때문에 실험실 실험을 위한 시료의 채취와 이동 등의 과정에서 플럭이 교란될 수 있다는 어려움이 존재한다. 따라서 많은 연구가 현장에서의 측정에 관심을 두고 수행되었다(e.g., Owen, 1976; Lunau et al., 2004; Shin et al., 2013; Eisma, 1986). 잠수부를 이용한 직접 채취 또는 Owen 튜브를 이용한 간접 측정 등 다양한 방법이 이용된 현장 측정에서는 충분한 자료의 확보가 어려운 점, 다양한 조건에서의 점착성 유사의 변화 파악 불가능, 실험 도중 플럭의 크기 감소 등에서 단점을 가진다(Gibbs, 1982). van Leussen and Cornelisse (1993)은 비접촉식 방법으로 플럭의 특성을 파악하기 위해 Video In Situ 방법을 이용하였으며 Hill et al. (2001) 역시 플럭 카메라를 이용하여 교란을 최소화하며 플럭의 크기 등을 측정하였지만 두 방법 모두 200 μm 이상의 플럭만 측정하는 한계를 나타냈다. 자연 상태에서의 플럭 입자크기가 수 μm에서 수 백 μm로 다양하게 분포한다는 점을 생각할 때 이들의 연구는 작은 크기의 플럭을 이해할 수 없는 단점을 가진다. Mikkelsen et al. (2006)은 LISST-100 Type C와 플럭 카메라를 이용하여 2.5 μm까지의 플럭 크기를 측정하였지만 대규모 예산과 많은 시간을 필요로 하는 실험 과정에 비해 충분한 수의 자료를 수집할 수 없는 어려움을 보였다. 현장에서의 직접적인 측정이 가지는 어려움으로 인해 플럭의 교란을 어느 정도까지 감안한 실험실 실험 역시 활발하게 진행되었다. Han et al. (2006)은 현미경과 디지털카메라를 이용하여 플럭의 크기 등을 측정하였으며 Son (2011)은 고해상도 상업용 카메라를 이용하여 플럭의 크기 및 침강속도를 측정하고, 그 결과를 이용하여 플럭의 밀도를 산정하였다. Son (2011)이 플럭의 밀도를 산정하는 과정에서는 프랙탈 이론이 적용되었다.
프랙탈 이론(Fractal Theory)은 눈, 수지상 등과 같이 자기유사성(Self-Similarity)를 보이는 결정 또는 형태에 주로 적용하는 이론으로 프랙탈 차원(Fractal Dimension)을 통해 크기와 밀도의 상관관계를 정량화한다. 앞에서 언급된 것과 같이 직접적으로 밀도를 측정하기 어려운 점착성 유사 및 플럭의 경우, 프랙탈 이론과 프랙탈 차원을 적용하여 직접측정이 가능한 크기만으로 밀도를 추정하는 것이 가능하게 된다. 그리고 추정된 밀도를 통해 침강속도를 계산하고 점착성 유사의 이동을 보다 쉽게 모형화할 수 있다. Khelifa and Hill (2006)은 프랙탈 이론을 점착성 유사의 플럭에 적용하여 크기에 따른 프랙탈 차원을 수치로 나타내었다. Son and Hsu (2008, 2009)는 프랙탈 이론을 적용하여 플럭의 크기와 밀도 변화를 모사하는 식을 제안하였다. Kranenburg (1994)는 프랙탈 차원을 이용하여 플럭의 밀도를 계산하는 식을 제안하였고 Dyer (1989), Winterwerp (1998) 등도 자연 상태에서의 플럭이 가지는 프랙탈 차원의 범위를 제안하였다. 물, 공기, 1차 입자들이 뭉쳐진 플럭의 밀도를 교란 없이 직접 측정하는 것이 매우 어려운 현재의 연구상황을 고려할 때 프랙탈 이론과 차원을 이용하여 직접 측정이 가능한 플럭의 크기를 기본으로 밀도를 산정하는 과정은 매우 유용한 방법으로 고려된다.
점착성 유사의 특성 파악과 관련되어 국내에서 진행된 연구의 대부분은 주로 대규모 하천의 하구나 연안을 중심으로 이루어졌다. Hwang (2000)은 새만금의 점착성 유사에 대한 실험을 수행하였고 Yim (2005)는 금강 하구의 점착성 퇴적물 특성에 관한 연구를 하였다. Park (2006)은 광양만 갯벌의 점착성 퇴적물 특성을 분석하였다. Shin et al. (2013) 역시 영산강 하구의 표층퇴적물을 채취하고 플럭 카메라 등을 이용하여 점착성 유사의 특성을 이해하고자 하였다.
이상의 연구동향에서 살펴본 것과 같이 현재까지 우리나라 소하천에 존재하는 점착성 유사의 특성을 이해하고자 하는 연구의 진행상황은 충분하지 않다고 판단된다. 따라서 본 연구는 우리나라 소하천에 존재하는 점착성 유사의 특성을 파악하는 것을 목적으로 한다. 이를 위해서 금강과 영산강 수계의 소하천에서 시료를 직접 채취하고 실험실에서 침강실험을 실시한다. 침강실험의 과정에서는 고해상도 상업용 카메라가 이용되며 침강하는 플럭의 크기 및 침강속도를 측정한다. 측정된 크기와 침강속도를 통해 플럭의 프랙탈 차원과 밀도를 산정하며 우리나라 점착성 유사에 프랙탈 이론을 적용하는 과정이 합리적인지에 대해 검토한다. 2장에서는 본 연구의 이론적 배경과 실험 방법 등에 대해 살펴보고 3장에서 우리나라 소하천에 존재하는 점착성 유사의 특성에 관련된 실험 내용을 분석한다. 4장에서는 분석한 결과를 바탕으로 하여 본 연구에 대한 결론을 도출한다. 본 연구에서 다루지 못한 향후 연구주제와 추가로 고려되어야 하는 사항에 대한 내용 역시 4장에서 제시된다.
2. 이론적 배경 및 실험
2.1 플럭의 밀도와 프랙탈 차원
하천, 호소, 연안 등 다양한 자연환경에서 존재하는 점착성 유사는 실트, 점토 등의 매우 가는 유사를 포함하고 있다. 실트와 점토의 1차 입자는 길이가 4 μm 정도이며 두께는 직경의 약 1/10 정도의 크기를 가진다. 실트와 점토의 표면은 음이온이 형성되어 있어 입자 상호간의 전자기적 반응을 보인다. 이러한 전자기적 점착력에 의해 점착성 유사, 유기물, 물 등이 서로 결합하여 플럭이라 불리는 하나의 덩어리(Fig. 1 참고)을 형성하는 응집현상이 발생한다. 따라서 점착성 유사는 개별 1차 입자가 단독으로 거동하기 보다는 플럭의 형태를 이루며 부유, 퇴적, 이송, 확산 등의 과정을 거치게 된다. 응집현상은 작은 입자들이 서로 뭉쳐지며 플럭의 크기가 증가하는 응집(Aggregation)과 큰 플럭이 여러 현상에 의해 부서져 크기가 감소하는 파괴(Breakup 또는 Disaggregation)가 일련의 과정으로 지속되는 현상을 의미한다. 응집현상을 통해 플럭의 크기가 변화하는 동시에 밀도 역시 변화하게 된다. 일반적인 경우에는 플럭의 크기가 증가하며 밀도가 감소하고, 반대로 플럭 크기가 감소할 때 밀도가 증가하는 반비례 관계를 보인다. 이러한 경향성을 통해 플럭의 크기가 증가할수록 플럭 내부를 구성하는 작은 입자 또는 소형 플럭이 덜 조밀하게 분포하며 플럭을 형성한다는 점을 알 수 있다. 프랙탈 이론을 적용하는 경우에 보다 정량적으로 플럭의 내부구조를 나타낼 수 있다. 프랙탈 이론은 작은 입자가 뭉쳐져 큰 구조물을 형성해 나갈 때 자기유사성을 가진다는 가정 하에 내부 구조를 나타낼 수 있는 방법으로 프랙탈 차원을 통해 플럭을 형성하고 있는 1차 입자, 또는 작은 알갱이의 개수를 추정할 수 있다. Eq. (1)은
의 직경을 가진 플럭을 구성하는
직경의 1차 입자 개수(
)를 추정하는 것으로 차수에 해당하는
가 프랙탈 차원을 의미한다.
(1)
프랙탈 차원은 1.0에서 3.0 사이의 값을 가진다. 1.0에 해당하는 경우는 1차 입자들이 선형의 형태로 플럭을 형성하는 경우에 해당하고 3.0은 완전한 3차원의 형태로 1차 입자 사이의 공극이 없는 상태로 플럭을 구성하는 것을 의미한다. 이에 대한 내용을 보다 정확히 이해하기 위해서 1차 입자와 플럭을 모두 정육면체의 형태로 가정하고 프랙탈 차원을 대입할 수 있다. Fig. 2는 d의 크기를 가진 정육면체의 1차 입자가 D(=4d) 크기 응집체를 구성할 때의
를 나타낸다. Fig. 2(a)의 경우는 1차 입자들이 공극 없이 응집체를 형성한 상황으로
에 해당되는 반면 Fig. 2(b)는 응집체 전체 부피 중 절반만을 1차 입자가 차지하고 있는 경우로
의 경우로 생각할 수 있다. Eq. (1)에 의해
를 계산하면 각각 64, 32의 값을 얻게 된다. Fig. 2를 통해서 알 수 있는 또 다른 점은 응집체의 밀도 역시 1차 입자의 분포 상황에 따라 달라지며 프랙탈 차원을 통해 정량적으로 나타낼 수 있다는 점이다. Kranenburg (1994)는 프랙탈 차원에 기초하여 플럭의 밀도를 계산하는 식을 Eq. (2)와 같이 제안하였다.
(2)
여기서,
,
,
는 각각 플럭, 1차 입자, 물의 밀도를 의미한다. Eq. (2)를 통해서 알 수 있는 점은 동일한 크기와 1차 입자를 가지는 플럭이라 하더라도 프랙탈 차원에 따라 밀도가 크게 달라질 수 있다는 점이다. Eq. (2)를 구성하는 변수 중 플럭의 크기 및 밀도, 1차 입자의 크기 및 밀도를 측정할 수 있는 값으로 가정하고 식을 변환하면 Eq. (3)과 같이 프랙탈 차원을 계산할 수 있다.
(3)
2.2 플럭의 침강속도
침강속도는 부유하는 유사의 종말하강속도(Terminal Falling Velocity)로 정의된다. 부유하는 물질의 이동은 침강속도에 크게 영향을 받게 된다. 연직방향의 이송은 침강속도에 의해 직접적으로 결정될 뿐 아니라 하상으로부터의 침식과 재부유, 수평방향 이송-확산의 과정 역시 침강속도의 영향을 받아 부유사의 특성 중 가장 중요하게 고려되어야 하는 요소이다(Dyer, 1997; Winterwerp and van Kesteren, 2004). 대부분의 침강속도 모형화 과정에서 이용되는 Stokes 법칙(Stokes' Law)을 따른 플럭의 침강속도(
)는 Eq. (4)와 같이 표현된다.
(4)
여기서,
와
는 각각 물의 점성계수와 중력가속도를 나타낸다. Stokes 법칙에 의해 침강속도를 계산하는 경우는 입자 레이놀즈수인
(
)가 1.0보다 작은 경우에 적용하게 되므로 플럭의 직경 및 침강속도를 통해 적용 가능성을 확인하는 과정이 필요하다. 2.1절에서 살펴본 것과 같이 점착성 유사 플럭의 크기 및 밀도가 지속적으로 변화하는 특성으로 인해 침강속도 역시 가변적인 값을 가지게 된다. 이 점은 밀도와 크기가 고정적인 가는 모래 등의 비점착성 유사가 보이는 거동과 구별되는 점착성 유사의 대표적인 특징에 해당된다. Son and Hsu (2011)의 연구에서 나타나는 것과 같이 플럭의 침강속도 변화가 고려될 때 다양한 유수동역학적 조건 하에서의 점착성 유사 이동 모의가 합리적으로 이루어질 수 있다. 따라서 점착성 유사가 우세한 자연조건에서의 유사 거동을 살펴보기 위해서는 변화하는 침강속도를 추정하고 이를 바탕으로 현상을 이해하는 과정이 필수적이다. Eq. (4)에 나타나는 변수 중
,
,
를 고정적인 상수로 가정하는 경우 침강속도를 알기 위해서는 플럭의 크기인
와 플럭의 밀도
의 값을 결정하여야 한다. 이 두 값 중
는 영상 등을 통해 플럭의 교란 가능성을 배제한 직접 측정이 가능하지만
는 측정의 과정에서 심각한 교란이 발생할 가능성이 크므로 직접적인 측정이 어렵다(Eisma et al., 1990). 따라서 침강 속도를 측정하고 이를 이용하여
를 산정하는 간접적인 방법이 효율적이라 생각할 수 있다(e.g., Son, 2011). 즉
와
를 직접적인 방법으로 측정하여
와의 상관관계를 도출한 이후, 이 관계(Eq. (5) 참고)를 이용하여 상황에 따른
의 변화를 고려하는 것이 실용적인 접근법에 해당된다. 단 이들의 상관관계는 해당 지점의 플럭이 자기유사성을 가지고 프랙탈 이론의 적용이 가능한 경우에 보다 유효할 수 있다.
(5)
2.3 실험 방법
본 연구에서는 우리나라의 하천 수계 중 점착성 유사가 주요하게 분포하는 것으로 고려되는 금강과 영산강 유역의 소하천을 대상으로 실험을 수행하였다. 직접 하천에 들어가 점착성 유사를 채취할 수 있고 접근성이 편리한 지점을 조사대상으로 선정하였으며 금강 유역의 증산천, 방축천, 일월천 3개 하천(Fig. 3(a))과 영산강 유역의 장성천과 창평천 2개의 하천(Fig. 3(b)), 총 5개 하천을 조사대상 지점으로 선정하였다. 시료 채취지점의 좌표는 Table 1에서 나타난다.
플럭의 침강실험을 통해 플럭 크기와 침강속도 측정을 위하여 2,420만 화소의 상업용 고해상도 카메라(캐논 750d), 초점거리와 최대 조리개가 각각 100 mm와 1:2.8, 최단 초점 거리가 0.31 m인 매크로 접사 렌즈를 사용하였다. 시간의 흐름에 따른 플럭의 움직임을 촬영하고, 촬영된 이미지 분석을 통해 유사의 플럭 크기와 침강속도를 측정하였다. 측정된 값과 Stokes 법칙을 이용하여 유사의 밀도를 결정한 후 프랙탈 차원을 계산하였다. 이 과정을 통해 측정된 값을 이용하여 서로 다른 다섯 지점의 점착성 유사 크기, 밀도, 침강속도, 프랙탈 차원이 어떤 상관성이 있는지 파악하고 이해하였다. 메스실린더를 이용해 1차 입자의 밀도 역시 측정하였다.
하천에서 채취된 자연상태의 유사를 이용한 실험을 하기 전 예비실험의 개념으로 카올리나이트(Kaolinite)를 이용하여 실험을 수행하였다. 예비실험을 선행한 이유는 프랙탈 이론을 잘 따르는 것으로 알려진 카올리나이트를 이용하여(e.g., Son, 2011) 실험의 적합성을 검토하고 비교군으로도 이용하기 위해서이다. 정제된 카올리나이트 0.3 g, 0.5 g, 0.8 g, 1.0 g, 2.0 g을 50 cm 높이 투명한 실린더 속 1 l의 정제수에 직접 넣고 침강시켰다. 침강실험에 영향을 줄 수 있는 인자들을 배제하기 위해 실린더 내의 물은 움직임이 없는 상태로 유지하고 대류의 영향을 받지 않도록 18°C 항온실에 1일 이상 보관하였다. 예비실험에서 카올리나이트가 보이는 종말속도 도달 위치를 측정하고 그 위치이하에 카메라를 설치하였다. 하천에서 채취한 점착성 유사의 일정량을 소량의 물과 잘 희석하여 50 cm 높이 투명한 실린더의 정제수에 피펫을 이용하여 주입한 후 침강시켰다. 실린더는 카메라의 사용에 용이하도록 투명한 상태로 유지하였다. 카메라로 플럭 크기와 침강속도를 측정하기 위해 일정한 시간 간격으로 동일한 촬영을 수차례 반복하였다. 사진 촬영은 유사가 종말속도에 도달한 이후에도 바닥면에 의한 간섭침강 효과(Hindered Settling Effect)를 배제하기 위해 50 cm 높이 실린더의 아래쪽에서 약 15 cm 이상의 위치에서 이루어졌으며 촬영된 영상과 AutoCAD 프로그램을 사용하여 플럭의 크기와 침강속도를 산정하였다.
본 연구의 목적은 직접 측정이 가능한 플럭의 크기 및 침강속도를 통해 플럭의 밀도를 교란 없이 결정하는 것과, 이를 통해, 플럭의 프랙탈 차원을 산정하는 것이다. 플럭의 밀도를 산정하는 것은 Eq. (5)를 통해 이루어지며 결정된 밀도를 통해 플랙탈 차원을 결정하는 과정은 Eq. (3)을 이용한다. Eq. (3)을 이용하기 위해서는 플럭을 구성하는 1차 입자의 밀도(
) 및 크기(
)에 대한 정보가 필요하다. 미세한 크기를 가지는 1차 입자의 밀도를 측정하기 위해서는 입자들 사이에 존재할 수 있는 공기층 등의 이물질을 제거하고 정밀한 측정이 이루어져야 하는 기술적 어려움이 있어 많은 연구에서 2,650 kg/m3으로 카올리나이트 등 1차 입자의 밀도를 가정한다(e.g., Maggi et al., 2007; Son, 2011). 본 연구에서는 이 가정값을 이용하는 동시에 1차 입도의 밀도를 측정하기 위한 간단한 실험을 수행하였다. 먼저 실험에 이용되는 카올리나이트와 자연 시료의 수분을 제거하기 위해 3시간 동안 105°C의 온도에서 건조과정을 거친 후 곱게 다졌다. 이를 다시 600°C에서 3시간 동안 건조시켜 유기물을 제거하였다. 이후에는 공기층을 제거하기 위해 20 ml의 정제수와 다진 유사를 충분히 교반하였다. 이를 다시 50 ml의 정제수와 혼합하여 증가하는 부피와 질량을 통해 1차 입도의 밀도를 측정하였다. 각 유사의 1차 입자 밀도는 Table 2에서 정리되었다. 하지만 본 실험에서의 1차 입지 밀도 측정 과정은 매우 정밀하게 개별 입자의 밀도를 측정한 값이 아니라는 한계를 가진다. 따라서 본 연구에서는 Table 2에서 나타나는 1차 입자의 밀도 측정값과 많은 연구에서 가정된 값인 2,650 kg/m3을 모두 이용하여 분석을 수행하였다. 프랙탈 차원을 결정하기 위해 필요한 또 다른 값인 1차 입자의 크기는 기술적인 문제로 본 연구에서 직접 측정되지 않았다. Lee (1995)와 Coletta et al. (1997)은 카올리나이트의 1차 입자 크기를 1.2 μm와 2.18 μm로 보고하였다. 반면 자연상태의 점착성 유사의 1차 입자는 많은 연구에서 4 μm로 가정된다(e.g., van Leussen, 1994; Winterwerp, 1998; Son, 2011). 실험에서 이용되는 정제된 카올리나이트가 공장에서 생산된 제품인데 비해 자연상태의 유사는 여러 미네랄 성분이 혼합되어 있어 1차 입자의 크기가 보다 크게 가정된다. 본 연구에서는 카올리나이트의 1차 입자 크기는 1.2 μm와 2.18 μm, 자연 유사의 1차 입자 크기는 4 μm로 가정하고 분석이 이루어진다.
본 연구에서는 물의 온도가 18°C일 때 침강실험을 진행하였다. 18°C 물의 동점성계수는 1.095×10-6 m2/s로 가정된다. 광학기계의 한계로 인하여 Son (2011)은 연구에서 촬영된 이미지에 나타나는 플럭 중 가시적인 판단이 가능한 것들만 분석하였다. 그리고 가시적인 판단이 가능한 플럭만을 분석하였기 때문에 평균값을 산출하는 과정은 큰 의미가 없다고 주장하였다. 본 연구 역시 점착성 유사의 침강속도에 영향을 주는 요소들과 프랙탈 차원에 의한 밀도계산 등 물리적 의미를 이해하는 것에 중점을 두고 분석을 수행하였으므로 이미지에 나타나는 입자 중 가시적인 판단이 가능한 플럭만을 분석하였으며, 평균값을 산출하기 보다는 점착성 유사의 침강속도에 영향을 주는 요인들과 프랙탈 차원, 유사의 밀도 등 물리적 의미를 이해하는 것에 집중하였다.
3. 결과 및 분석
3.1 카올리나이트 실험결과 분석
Figs. 4(a)와 4(b)는 각각 촬영을 통한 카올리나이트 플럭의 크기 및 침강속도 측정의 예를 보여준다. Fig. 4(a)와 같이 가시적으로 확인이 가능한 플럭의 크기를 이미지를 통해 산정하였다. Fig. 4(b)는 동일한 실험에서 각각 다른 시간에 촬영된 이미지를 보여준다. 즉 촬영 시간에 따른 이동거리를 이미지를 통해 산정하고 이를 통해 계산된 침강속도를 이용하여 플럭의 밀도 및 프랙탈 차원이 계산된다. 2.2절에서 언급된 것과 같이 Stokes 법칙에 의해 침강속도, 밀도, 크기의 관계를 나타내는 경우는
가 1.0보다 작을 때에 해당된다. 본 연구의 실험에서는 모든 경우에서
가 1.0보다 작은 값을 보였으며 Stokes 법칙만을 이용하여 분석을 수행하였다.
Fig. 5는 카올리나이트를 이용한 침강실험에서 나타난 플럭 크기와 침강속도 및 밀도의 관계를 보여준다. ×와 • 기호는 각각 본 연구의 결과와 Son (2011)에서 카올리나이트를 이용한 결과를 의미한다. Fig. 5를 통해 카올리나이트 플럭의 크기와 침강속도 및 밀도는 음의 상관성을 보이고 있음을 알 수 있다. 카올리나이트 실험은 단일 성분의 점착성 유사가 보이는 특성을 확인하기 위한 실험으로 자기유사성을 가진다는 프랙탈 이론을 적용하기에 이상적인 조건에 가깝다. 자연 유사와 같이 다양한 성분이 포함된 경우에는 자기유사성에 대한 가정의 적용이 타당한지 검토하는 과정이 필요한 것과는 구별되는 실험 특성이다. 따라서 카올리나이트를 이용한 실험은 본 연구의 방법론이 타당한가에 대한 검증으로서 수행되는 성격을 가지며 상관계수 등의 정량적 평가는 큰 가치를 가지지 않는다. 이러한 이유로 Son (2011)과 본 연구의 결과 중 어느 것이 더 큰 상관관계를 나타내는지에 대한 분석 역시 중요하다고 판단되지 않으며 서로 다른 과정을 통해 채취 및 정제된 카올리나이트를 사용하여 각각의 실험이 이루어졌다는 점 역시 두 실험결과의 정량적 분석이 큰 의미를 가지지 않는 이유에 해당된다. 다만 본 연구 카올리나이트의 실험결과에서 상관관계를 보이는 것을 통해 방법론의 적합성은 검증할 수 있다.
Fig. 6은 카올리나이트를 이용한 실험을 통해 나타난 플럭 크기와 프랙탈 차원의 결과를 보여준다. 각 기호는 2,512 kg/m3과 2,650 kg/m3의 1차 입자 밀도, 1.2 μm와 2.18 μm의 1차 입자 크기를 가정한 경우의 결과를 의미한다. 모든 경우에서 계산된 플랙탈 차원은 2.29에서 2.77 사이의 값을 나타내었다. 측정된 플럭의 크기와 계산된 밀도가 각각 73.3-148.3 μm, 1,080.8-1,380.2 kg/m3의 범위에 있는 것을 고려할 때 실험상의 심각한 오류는 없는 것으로 보인다.
역시 모든 경우에 0.215보다 낮은 값을 보였다. 목도법에 의한 정성적인 분석의 결과, 플럭의 크기와 프랙탈 차원 사이에는 유의미한 관계가 나타난 것으로 이해된다. 따라서 본 실험의 방법론을 자연 유사에 적용하여 채취된 유사의 특성을 분석하고 프랙탈 이론을 적용하는 과정이 합리적이라 판단된다. 이러한 점은 본 연구와 유사한 실험방법과 재료를 이용한 Son (2011)의 결과에서도 나타난다(Fig. 6(b)).
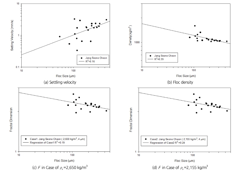
3.2 자연유사 실험결과 분석
5개 하천에서 채취한 점착성 유사의 프랙탈 차원을 계산하기 위하여 1차 입자의 크기를 4 μm로 가정하였다. 이 값은 자연에 존재하는 점착성 유사의 1차 입자 크기를 가정할 때 많이 사용된 값이다(e.g., van Leussen, 1994; Son, 2011). 증산천 플럭 입자 20개를 이용해 플럭의 크기, 침강속도, 입자 레이놀즈 수, 플럭 밀도 및 프랙탈 차원을 측정 및 산정한 값은 Table 3에 보여진다. 프랙탈 차원 산정을 위해 2,650 kg/m3, 2,123 kg/m3 두 1차 입자 밀도 값을 이용하였다. 2,650 kg/m3은 많은 선행 연구에서 가정된 값이고, 2,123 kg/m3은 본 연구에서 측정된 값이다. Table 3에서 나타난 유사의 밀도는 최대 2,075.5 kg/m3이며 이때 플럭 크기가 가장 작은 52.6 μm에 해당된다. 1차 입자 밀도가 2,123 kg/m3으로 측정된 것과 비교할 때 증산천 유사에 많은 유기물질이 포함된 것이라 생각되지 않는다. 즉 유기물 제거를 위해 600°C에서 소각한 이후에 존재하는 1차 입자의 성분과 유사한 물질로 플럭이 구성되는 것을 알 수 있고, 이에 따라 자기유사성을 가지는 프랙탈 이론을 비교적 잘 따를 수 있을 것으로 판단된다. 이러한 생각은 증산천의 1차 입자 밀도가 카올리나이트의 1차 입자 밀도와 큰 차이를 보이지 않는 점에서도 확인된다.
Fig. 7은 증산천에서 채취된 플럭의 크기와 침강속도, 밀도, 프랙탈 차원의 관계를 나타낸다. 증산천 플럭 중 가장 작은 플럭 크기와 가장 큰 플럭 크기는 각각 52.6 μm, 339.4 μm이며, 침강속도는 각각 1.485 mm/s와 1.446 mm/s였다. Fig. 7(a)에서 플럭 크기가 증가함에 따라 침강속도가 감소하는 반비례 경향을 확인할 수 있지만 상관계수는 0.05의 낮은 값을 보였다. Fig. 7(b)는 증산천의 플럭 크기와 플럭 밀도의 관계그래프를 나타낸다. 증산천 플럭의 밀도가 가장 높을 때와 낮을 때는 2,075.5 kg/m3과 1,023.9 kg/m3으로 계산되었으며, 플럭 크기는 52.6 μm, 339.4 μm였다. 관계그래프를 보았을 때, 플럭 크기가 증가함에 따라 플럭 밀도가 감소하는 반비례 경향을 나타냈다. 그리고 0.61의 상관계수를 보이며 카올리나이트의0.70, 0.75와 비교하였을 때 상대적으로 낮은 상관계수임을 알 수 있다. Figs. 7(a)와 7(b)는 증산천 플럭 크기와 프랙탈 차원의 관계그래프로 각각 1차 입자의 밀도를 2,650 kg/m3과 2,123 kg/m3로 가정하여 프랙탈 차원을 계산한 결과이다. 두 경우 모두 플럭 크기와 프랙탈 차원 사이의 선명한 반비례 경향을 보였다.
방축천의 프랙탈 차원 산정을 위해서 2,650 kg/m3, 2,129 kg/m3의 두 개 값을 1차 입자 밀도로 가정하였다. 이 중 2,129 kg/m3은 본 연구에서 방축천 채취시료를 600°C로 소각한 이후 측정한 값이다. Fig. 8은 방축천 유사를 이용하여 측정한 결과를 보여준다. 증산천의 결과와 유사한 경향성을 나타내며 플럭의 크기와 프랙탈 차원 사이에 유의할만한 관계가 있음을 알 수 있다. 방축천 유사의 플럭 크기와 침강속도의 관계그래프를 Fig. 8(a)에 나타냈다. 방축천의 플럭 중 가장 작은 플럭 크기와 가장 큰 플럭 크기는 각각 54.5 μm, 232.0 μm였고, 침강속도는 각각 0.910 mm/s와 0.780 mm/s였다.
방축천도 증산천과 유사하게 플럭 크기가 증가함에 따라 침강속도가 감소하는 관계를 갖지만 상관계수가 0.07로 뚜렷한 경향성을 가진다고 말할 수는 없다. Fig. 8(b)는 방축천의 플럭 크기와 플럭 밀도의 관계 그래프를 나타낸다. 방축천 플럭의 밀도가 가장 높을 때와 낮을 때는 1,851.6 kg/m3과 1,027.8 kg/m3으로 계산되었으며, 플럭 크기는 66.3 μm와 232.0 μm였다. 방축천도 플럭 크기가 증가함에 따라 플럭 밀도가 감소하는 반비례 경향을 보였다. 방축천 실험 결과의 상관계수는 0.70으로 카올리나이트의 0.70, 0.75와 유사한 상관계수 값을 보였다. Figs. 8(c)와 8(d)는 방축천 플럭 크기와 프랙탈 차원의 관계그래프이다. 증산천과 같이 1차 입자의 밀도와 크기를 각각 2,650 kg/m3과 4 μm로 가정하여 프랙탈 차원을 계산하고 Fig. 8(c)에서 플럭 크기와의 관계그래프로 나타냈다. Fig. 8(d)는 본 연구에서 측정된 방축천의 1차 입자 밀도값인 2,129 kg/m3과 가정된 1차 입자 크기인 4 μm를 이용하여 프랙탈 차원을 계산하고 플럭 크기와의 관계를 나타낸 것이다. 두 그래프 모두 선명한 반비례 경향을 보였다. Figs. 8(c)와 8(d)에서 플럭 크기가 가장 작은 경우에 해당하는 54.5 μm일 때 각각 2.62, 2.77의 프랙탈 차원을 보였고, 가장 큰 플럭 크기인 232.0 μm일 때 각각 2.01, 2.10의 프랙탈 차원을 나타냈다. 이때 0.73, 0.76의 상관계수를 보였다.
Fig. 9는 일월천의 유사를 이용한 실험 결과를 보여준다. 일월천 역시 플럭 크기와 플랙탈 차원 사이의 강한 상관관계를 보여준다. 한정된 지면 관계상 증산천, 방축천과 유사한 결과를 보이는 플럭 크기와 침강속도 및 밀도와의 관계를 나타내는 그림은 생략되었다. 일월천의 플럭 중 가장 작은 플럭 크기와 가장 큰 플럭 크기는 각각 60.5 μm와 352.1 μm이며, 플럭의 밀도는 각각 1,973.7 kg/m3과 1,018.2 kg/m3으로 계산되었다. 일월천도 증산천, 방축천과 유사하게 플럭 크기가 증가함에 따라 플럭 밀도가 감소하는 반비례 경향을 보였다.
Fig. 10은 영산강 유역에 속하는 장성천의 실험 결과를 보여준다. Fig. 10(a)에서 보이는 것과 같이 플럭의 크기에 따른 침강속도의 관계가 양의 모습을 보이지만 낮은 상관계수를 보이며 경향성을 가진다고 말하기는 어렵다. 하지만 금강 유역의 유사들이 모두 음의 관계를 보이는 것과는 구분되는 특성이다. Fig. 10(b)에서 나타나는 플럭 크기에 따른 밀도 변화를 분석할 때 장성천의 경우에는 크기에 관계없이 거의 일정한 범위의 플럭 밀도를 가진다고 볼 수 있다. 플럭 크기와 프랙탈 차원의 관계 역시 목도법에 의해서도 상관성을 유추하기 힘들며(Figs. 10(c)와 10(d) 참고). 증산천, 일월천 및 방축축과 비교하여 낮은 상관관계를 보인다고 생각된다.
Fig. 11은 창평천의 실험결과이며 측정된 1차 입자의 밀도값은 2,524 kg/m3이다. 창평천의 경우에서는 플럭의 크기에 따른 밀도의 변화가 거의 나타나지 않는 것으로 판단된다. 상관계수는 0.42로 계산되었으나 목도법을 통해서, 또는 측정된 자료의 값을 통해서 볼 때 많은 플럭이 1,050 kg/m3 이하의 밀도를 보이는 것으로 나타났다(Table 4 참고). 이 중 플럭의 크기가 151.6 μm인 플럭의 밀도가 1,297.9 kg/m3인 반면 유사한 크기인 156.5 μm의 플럭이 1,064.3 kg/m3의 밀도를 보이는 등 명확한 관계가 나타나지 않았다. Figs. 11(c)와 11(d)를 통해서 나타나는 플럭 크기와 프랙탈 차원의 관계 역시 명확한 연관성을 가진다고 보기 어렵다.
Figs. 7, 8, 9, 10, 11에서 나타나는 내용 중 플럭의 크기와 침강속도의 관계, 플럭의 크기와 밀도의 관계를 서로 비교해 보는 과정이 중요하다. Eq. (4)에서 나타나는 것과 같이 플럭의 침강속도는 플럭 크기의 제곱과 플럭 밀도의 함수이다. 플럭의 경우는 크기가 증가하면서 밀도는 감소하는 반비례 관계를 보이므로(Eq. (2) 참고) 침강속도는 크기와 밀도 중 어느 인자의 변화량이 더 크게 나타나는지에 대한 결과에 해당된다. 즉 플럭이 성장하더라도 밀도가 감소하는 정도가
의 증가의 정도보다 크다면 침강속도는 감소하는 결과를 가지게 된다. 이는 가는 모래와 같은 비점착성와 확연히 구분되는 특성에 해당된다. 카올리나이트 및 금강 유역 소하천 유사들이 공통적으로 보이는 플럭 크기와 침강속도 사이 음의 관계를 통해 침강속도에 기여하는 요소 중
보다 밀도 변화가 더 큰 역할을 차지한다는 사실을 알 수 있다. 즉 카올리나이트와 금강 유역 유사는 자기유사성을 가지며 프랙탈 구조물을 형성하고 있으며 프랙탈 이론의 적용이 타당하다는 사실을 알 수 있다. 이에 비해, 영산강 유역 소하천에서는 플럭 크기와 침강속도 간 양의 관계 또는 상관성을 찾기 힘든 결과가 도출되었다. 이에 대한 내용은 Son (2011)의 연구 중 미국 플로리다 주 Lake Apopka 유사의 실험결과에서 역시 확인된다. Fig. 12는 Lake Apopka의 플럭 크기와 침강속도 및 프랙탈 차원의 관계를 보여준다. Son (2011)은 유기물이 주성분인 Lake Apopka의 유사에서는 플럭의 크기와 프랙탈 차원의 상관성을 찾기 힘들다고 보고했다. 그리고 유기물간 결합에 의해 이루어지는 Lake Apopka 플럭이 자기유사성을 가지지 않으며 프랙탈 이론을 적용하여 플럭의 밀도를 추정하는 과정이 적합하지 않다고 주장하였다. 본 연구의 영산강 유역 유사에서 역시 유사한 결과가 도출된 사실과 영산강 유역에 유기물의 함량이 높다는 일반적인 사실을 고려할 때 영산강 유역 유사에 대한 프랙탈 이론을 적용이 합리적이지 않다고 생각된다. 영산강 유역의 유사가 금강에 비해 보다 높은 유기물 함량을 나타내는지를 검토하기 위해 교란을 경험하지 않은 현장 상태 시료의 밀도와 600°C로 소각한 이후 시료의 밀도를 비교하였다. 증산천, 방축천, 일원천 등 금강 유역의 유사가 보이는 소각 전후 밀도 차이가 약 85 kg/m3에서 205 kg/m3인데 비해 장성천, 창평천 등 영산강 유역의 유사가 보이는 차이는 각각 1,346 kg/m3과 735 kg/m3으로 나타났다. 소각의 과정을 통해 유기물의 상당부분이 제거된다고 가정할 때 영산강 유역 유사의 유기물 함량이 금강 유역 유사에 비해 훨씬 높다는 점을 알 수 있다.
4. 결론 및 토의
본 연구는 비교적 간단한 실험실 실험을 통해 우리나라 소하천에 존재하는 점착성 유사의 특성에 대해 살펴보았다. 유사 이동의 이해에서 중요한 역할을 하는 밀도와 크기에 대한 점착성 유사의 특성을 고려하고, 이를 프랙탈 이론을 통해 모형화하는 과정이 타당한지에 대해서도 논의하였다. 카올리나이트를 이용한 실험과 선행 연구사례(e.g., Son, 2011)를 통해 상업용 고해상도 카메라를 이용한 본 연구의 실험 방법론이 프랙탈 이론을 잘 따르는 유사의 특성을 분석하기에 적합하다는 사실을 알 수 있다. 우리나라 하천 중 점착성 유사가 보다 중요한 역할을 차지할 것으로 예상되는 금강 유역과 영산강 유역 유사를 이용한 실험에서는 상반된 결과가 도출되었다. 금강 유역의 플럭에서는 크기와 프랙탈 차원 사이의 상관성이 발견되는 반면 영산강 유역 플럭은 상대적으로 낮은 상관성이 관찰되었다. 이러한 결과에 대한 이유로는 유기물의 함량이 높은 것으로 알려진 영산강 유역 유사의 특성이 제기되었고 Lake Apopka 유사의 경우를 통해 유사한 결과를 확인할 수 있었다. 따라서 금강 유역의 점착성 유사를 모형화하는 경우에는 프랙탈 이론을 적용하고 플럭의 크기를 이용한 밀도 및 침강속도의 모형화가 경제적이고 합리적인 접근법이지만 영산강 유역 점착성 유사의 경우에는 프랙탈 이론의 적용이 한계를 가질 것으로 보인다. 즉 유기물 합량이 높아 자기유사성을 보일 확률이 낮은 영산강 유역 유사의 경우는 프랙탈 이론을 이용한 접근 대신 현장에서 직접 플럭의 밀도를 측정하고 침강속도를 추정하는 과정이 보다 합리적이라 판단된다.
점착성 유사가 가지는 점착력과 응집현상은 수온, 응집성분의 구성, 유기물 함량 등 매우 다양한 요소에 영향을 받게 된다. 따라서 동일한 하천과 미네랄 성분이라 하더라도 계절별 특이점, 유량과 농도 등 현장의 조건들에 따라 다른 결과를 보일 수 있다. 본 연구에서는 2016년 2월에 금강유역, 2016년 4월에 영산강 유역에서 채취한 유사만을 이용하여 실험을 수행하였으므로 계절별, 현장 조건별 점착성 유사의 특성 변화가 고려되지 않았다. 농업활동, 동계와 하계의 유량 차이 등으로 계절별 변화가 큰 우리나라 하천의 자연조건을 고려할 때 각 계절별, 강우 사상별 특이점이 발생할 때 시료를 채취하고 실험을 수행하는 과정이 필요하다. 또한 한정된 지점에서 채취한 시료만으로 분석을 수행한 본 연구의 결과를 전체 유역에 대해 일반화하기에는 무리가 있다고 판단된다. 금강과 영산강 유역 중 일부 지류에서 나타나는 결과로 한정하여 실험자료를 이해해야 하고 보다 일반화하기 위해 다양한 지점에서의 시료를 분석하는 과정 역시 필요하다.


















