1. 서 론
2. 자료 및 방법
2.1 강우자료 구축
2.2 확률강우량 산정
3. 결과 및 고찰
3.1 시간해상도에 따른 연최대치 확률강우량
3.2 시간해상도에 따른 연초과치 확률강우량 비교
4. 결 론
1. 서 론
수공구조물은 항상 홍수로 인한 피해에 노출되어 있다. 모든 홍수를 완전히 방어하는 것은 불가능할 뿐만아니라 경제적으로 타당성이 없기 때문에 일정 수준의 홍수 위험을 고려해 설계해야 한다. 이때, 허용위험에 해당하는 최대홍수를 설계홍수라 하며, 이를 통해 수공구조물의 홍수 방지 시설 및 대책을 수립하게 된다(KCSC, 2023). 설계홍수량을 산정하는 방법은 홍수량을 빈도분석하여 산정하는 방법과 강우량을 빈도분석한 확률강우량으로부터 강우-유출 해석을 통해 산정하는 방법이 있다. 우리나라는 실측 홍수량의 자료 확보 및 신뢰성 확보가 어렵기 때문에, 대부분의 수문분석은 확률강우량을 통한 강우-유출해석 방법으로 산정하고 있다(Kim et al., 2018). 확률강우량을 산정하는 과정은 분석하고자 하는 지역의 관측자료를 수집하여 극치사상을 추출하고, 이를 적정 확률분포형으로 가정하고 매개변수를 추정한다. 이후 확률분포형의 적합도 검정을 수행하며, 마지막으로 재현기간 별 빈도해석을 통해 확률강우량을 산정한다.
최근 기후변화로 인해 전 세계적으로 국지성호우의 증가로 피해가 증가하고 있다. 특히 유역의 상류 소규모 산지 또는 도시 배수분구 정도의 도시유역은 지체 시간이 수십여분에 불과하여 국지성 호우피해에 취약하다(Yoon et al., 2020). 이러한 단기간의 강우는 현재 수행되고 있는 시간자료를 통한 분석으로는 이에 대한 평가가 어렵다. 또한, 기후변화로 인해 강우의 패턴이 변화하고 있다. 국내 기상변화는 중국 내륙지역의 고온현상으로 상층 고압대가 발달하고, 이로 인한 연간 강우량 변동 폭 및 강우강도가 증가가 원인 중 하나로 지적되고 있다(Kim et al., 2020). 연간 강우량 변동 폭의 증가는 강우량이 많은 해와 적은 해의 차이가 강하게 나타나게 되며, 이러한 강우 패턴의 변화는 홍수와 가뭄 등의 재해 발생빈도 및 규모의 증가 및 다양화로 이어지고 있다(Kim and Kwon, 2020). 이러한 강우 패턴이 변화함에 따라 기존 확률강우량 산정기법뿐만 아니라, 다양한 해석이 필요하다.
현재 국내 확률강우량 산정은 대부분 시간단위, 연최대치 해석을 통해 산정하고 있다. 대표적으로 국가, 지방하천 설계를 위한 설계홍수량 산정 지침과 농업생산기반시설 설계기준의 농업용 댐 계획, 농지배수 수문설계에도 시간단위 자료와 강우사상 중 연 최대치를 활용할 것을 명시되어 있다. 분단위 강수자료는 시간단위에 비해 자료 기간이 짧아 빈도분석을 위한 연도의 수가 감소하며, 자료 크기가 방대해 데이터 검증 및 분석이 어려워 실무에서 활용하기에 따른 어려움이 있다. 또한, 연초과치 계열은 설계빈도가 10년 이하인 구조물의 산정 시 활용한다고 알려져 있으나(MCT, 2000), 독립호우사상 가정에 대한 점검과 이를 반영한 데이터 처리 등 많은 추가 작업이 필요해 최근 실무 및 설계에서는 활용을 하지 않는 추세이다(Park et al., 2014). 하지만, 국지성호우 증가와 강우량 변동폭 증가로 단기간 호우에 대한 분석의 중요성이 증가하고 있으며, 연간 강우량 변동 폭 증가로 극치 시상이 일정 연도에 몰리기 때문에 연초과치 계열을 활용한 분석이 필요하다.
분단위 강우자료에 따른 변화를 분석한 연구는 Oh and Moon (2008)은 분단위 강우자료를 통해 고정시간-임의시간 환산계수를 추정하였으며, Kim et al. (2018)는 강우자료의 시간단위와 자료기간에 따른 설계홍수량 변화를 평가하였다. 연최대치와 연초과치를 비교한 연구는 Park et al. (2014)는 연최대치와 비연초과치 계열로 산정한 확률강우량을 비교분석 하였다. 분단위와 시간단위 혹은 연최대치, 초과치에 대한 비교연구는 일부 수행되었으나, 두 부분에 따른 종합적인 연구는 부족한 것으로 조사되었다. 따라서 본 연구에서는 분단위 강우자료와 시단위 강우자료를 통해 연최대치, 연초과치 계열을 각각 구축하고 이를 활용한 확률강우량을 산정하였으며, 이때 강우자료 및 계열 추출 방법에 따른 확률강우량 변화를 분석하였다.
2. 자료 및 방법
2.1 강우자료 구축
본 연구에서는 강우 시간해상도에 따른 변화를 평가하기 위하여 기상청 ASOS 지점에서 제공하는 강우자료를 구축하였으며, ASOS 지점 중 분 단위 강우자료를 축적하고 있고 자료 기간이 30년 이상으로 구축 되어있는 지점을 지역별로 선정하여 분석을 수행하였다. 선정한 지점은 6개로 서울, 대전, 대구, 광주, 부산, 강릉 기상대이며 Fig. 1과 Table 1은 지점별 위치와 자료 기간을 나타냈다. 동일 지점에 대하여 분 단위 강우자료와 시간단위 강우자료를 구축하였어도, 자료 기간이 상이하게 나타나 두 시간 단위 중 짧은 기간에 대하여 구축된 자료에 맞춰 분석을 수행하였다.
Table 1.
Meteorological station information
2.2 확률강우량 산정
2.2.1 수문계열 자료 구축
극치사상 추출 방법에 따른 산정 결과를 비교하기 위해, 기상대 지점별 연최대치 계열과 연초과치 계열을 구축하였다. 연최대치 계열은 연마다 해당 지속시간 강우의 최댓값을 추출하여 나타낸 시계열이다. 연최대치는 연에 1개의 사상을 추출하기 때문에 관측 연도와 동일한 자료 수를 나타내며, 사상별로 독립을 확보하고 있는 장점이 있다. 연초과치 계열은 전체 기간의 자료를 크기 순서대로 정렬한 뒤, 임계값 이상의 자료 혹은 일정 개수의 자료를 추출하여 나타낸 시계열로 기준 혹은 개수 설정에 따라 계열의 자료 수가 다르게 나타난다. 이러한 특징 때문에, 연초과치 계열을 추출할 경우 임계값, 자료 수 설정 등 연구자의 주관적 판단에 따라 결괏값이 크게 변할 수 있다. 본 연구에서는 연최대치 계열과 연초과치 계열을 분단위 강우자료와 시간단위 강우자료에 대하여 구축하였으며, 연초과치 계열의 개수가 연최대치 계열과 동일하게 추출하였다.
2.2.2 독립호우사상
연초과치 계열은 동일한 연도에서도 여러 강우 사상을 추출하기 때문에 자료의 독립성이 결여 될 수 있다. 독립성을 확보하기 위해서는 강우 자료를 독립호우사상으로 분리한 뒤, 연초과치 계열을 추출해야 한다. 독립호우사상을 구분하는 방법은 일반적으로 최소 무강우기간을 활용하는 방법으로 강우사상 사이에 최소 무강우기간 이상의 시간이 존재하면 이를 독립호우사상으로 구별하게 되는 것이다(Park et al., 2014). 국내 무강우기간에 대한 선행연구는 Baek et al. (2022)는 무강우 지속시간을 12시간으로 제안하고 있으며, Lee and Chung (2017)은 지점별로 정확한 결정은 어려우나, 대부분 11~12시간으로 나타났다. Joo et al. (2014)은 전통적인 방법의 무강우시간은 10시간 이상을 나타냈으나, 도시지역 특성을 고려하여 홍수 및 침수 예방을 위해서는 60~680분으로 다양화해야 한다고 제안하였다. 본 연구에서는 기상대 지점에 대한 해석을 고려하여 선행 연구에서 공통적으로 나타난 12시간을 무강우시간으로 선정하였다.
2.2.3 확률빈도 해석
본 연구에서 확률강우량 산정을 위해 사용한 방법은 확률강우량도 개선 및 보완 연구 (MOLIT, 2011)와 설계홍수량 산정지침 (ME, 2019)에서 제시한 지점빈도해석 방법을 활용하였다. 두 연구에서는 지점빈도해석을 위해 Gumbel 분포를 적정 확률분포형으로 제안하였으며, 확률가중모멘트법을 매개변수 결정 방법으로 제안하였다. Gumbel 분포는 위치 매개변수와 규모 매개변수를 가지는 2변수 분포형으로 3변수 GEV (Generalized Extreme Value) 분포에서 형상매개변수를 0으로 적용한 형태이다. 확률밀도함수와 누가분포함수는 Eqs. (1) and (2)와 같다(Gumbel, 1958). 여기서, 𝛼는 규모 매개변수, 𝜖는 위치 매개변수를 나타낸다.
확률강우량을 산정하기 위한 매개변수 추정법은 다양하게 존재하나, 확률가중모멘트법은 비교적 적은 데이터 개수에도 안정적인 해석 결과를 제안하는 것으로 알려져 있다. Greenwood et al. (1979)에 따르면, 두 개의 규모, 위치매개변수의 값은 Eq. (3)과 같이 산정할 수 있다. 여기서 , 는 1차, 2차 L-모멘트이다.
3. 결과 및 고찰
3.1 시간해상도에 따른 연최대치 확률강우량
3.1.1 연최대치 계열
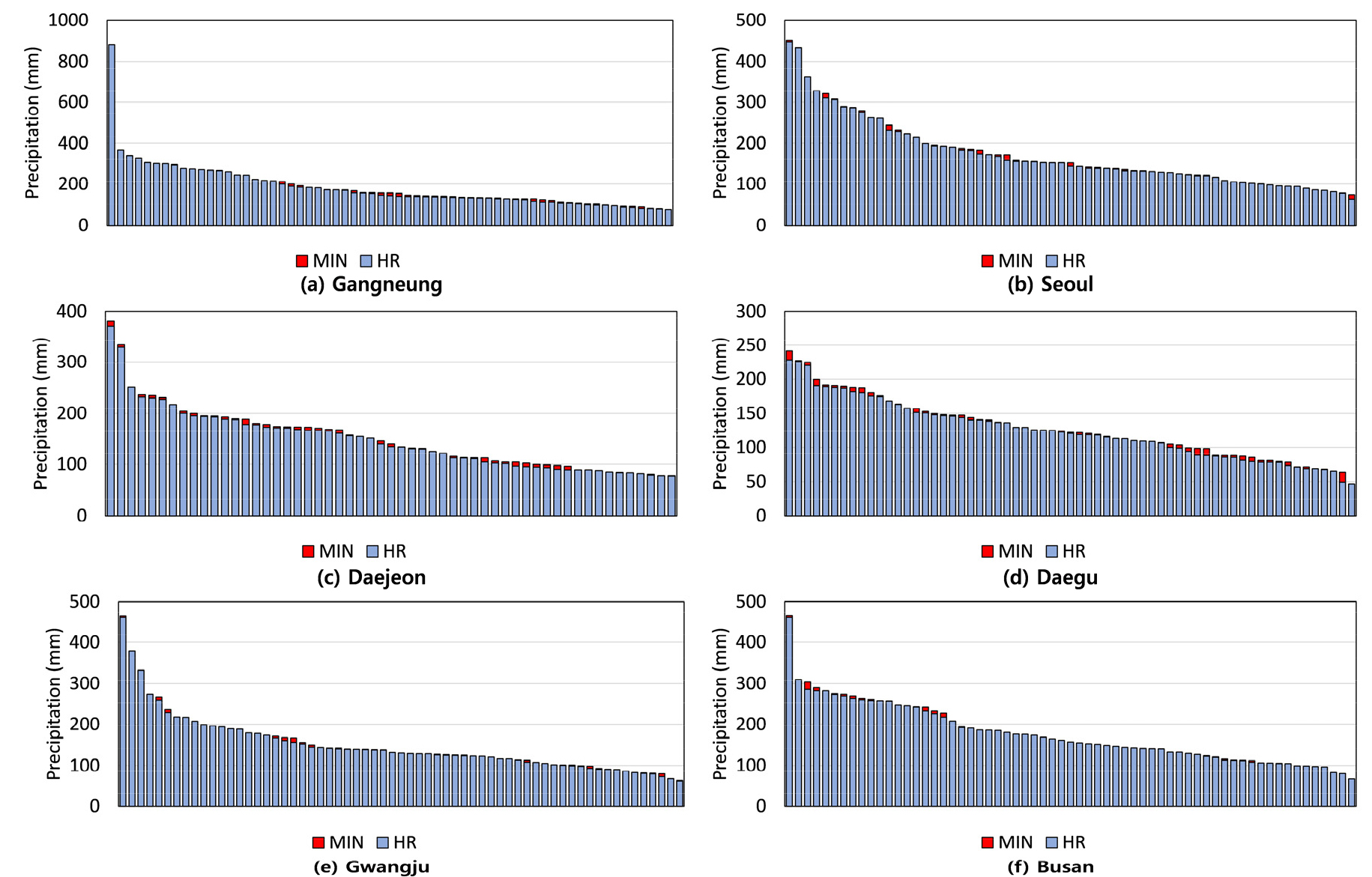
Fig. 2는 지속시간 1시간, Fig. 3는 지속시간 24시간에 대한 6개 기상대의 분단위 강우자료와 시간단위 강우자료를 통한 연최대치 계열을 내림차순으로 나타낸 것이다. 지속시간 1시간의 경우 모든 지점에서 분단위 강우자료를 활용하여 산정한 경우가 높게 나타났으며, 지점별로 계열의 차이는 다르게 나타났다. 지속시간 24시간의 경우 분단위 강우자료를 활용한 경우가 높게 나타나는 경향성은 유지하였지만, 지속시간 1시간과 비교하여 차이가 확연히 감소하는 것으로 나타났다.
분단위 강우자료를 통해 산정한 결과가 시간단위 산정결과보다 크게 나타나는 것은 시단위 관측자료의 고정시간 효과로 일반적으로 확률강우량 산정 시 시간단위 자료를 분단위 강우자료 해석으로 바꾸기 위해 고정시간-임의시간 환산계수를 적용하게 된다. 확률강우량도 개선 및 보완 연구(MOLIT, 2011)에 제시한 고정시간 임의시간 환산계수는 Table 2 혹은 회귀식인 Eq. (4)를 작성하여 적용한다. 식에서도 나타난 것과 같이 지속시간이 증가할수록 고정시간-임의시간에 따른 효과가 감소하는 것으로 나타난다.
Table 2.
Conversion factors for fixed time to arbitrary time
| Fixed duration | 1 | 2 | 3 | 4 | 6 | 9 | 12 | 18 | 24 | 48 |
| Sliding duration | 60 | 120 | 180 | 240 | 360 | 540 | 720 | 1080 | 1440 | 2880 |
| Conversion factor | 1.136 | 1.051 | 1.031 | 1.020 | 1.012 | 1.007 | 1.005 | 1.004 | 1.003 | 1.002 |
본 연구에서 산정한 결과를 고정시간 임의시간 환산계수와 비교하기 위해 구축한 시간단위와 분단위의 연최대치 계열을 지속시간별로 평균 비율을 산정하였다. Fig. 4는 본 연구에서 산정한 비율과 회귀식을 통해 구한 값을 나타냈다. 모든 지점에서의 환산계수는 회귀식과 마찬가지로 지속시간이 증가할수록 감소하며 수렴하는 형태를 나타냈다. 짧은 지속시간에서의 환산계수는 지점별로 차이가 크게 나타났으며, 지속시간 1시간에 대하여 대구지점에서 1.26으로 가장 크게, 부산지점에 1.14로 가장 낮게 나타났다. 회귀식을 통한 계수가 1.136인 것을 고려하면, 6개 지점 모두에서 다소 높게 나타났다. 지속시간이 증가할수록 긴 지속시간에서는 수렴하는 형태로 나타났으며 광주지점에서는 1.00에 거의 수렴하였고 타 지점에서는 1.00~1.05 사이의 값으로 유지되는 것으로 나타났다. 부산지점의 경우, 36시간 이후부터 환산계수가 일부 증가하였다. 기존 연구인 확률강우량도 개선 및 보완 연구 (MOLIT, 2011)에서는 15시간보다 18시간이 높게 나타난 경우가 있었지만, 해당 지점처럼 높게 나타나진 않았다. 이는 강우자료의 원시자료에서 나타난 차이로, 1984년 9월 2일에서 9월 3일에 나타난 강우량이 분단위 강수량 자료에서는 9월 2일에서부터 큰 강우가 나타났지만 시간단위 강수량 자료에서는 해당 강우가 없이, 9월 3일에서만 강우가 내린 것으로 나타난 것으로 나타났다. 큰 강우량 값이 추가되어 나타난 증가로, 자료 생성 상 오차로 사료된다.
3.1.2 확률강우량 산정결과
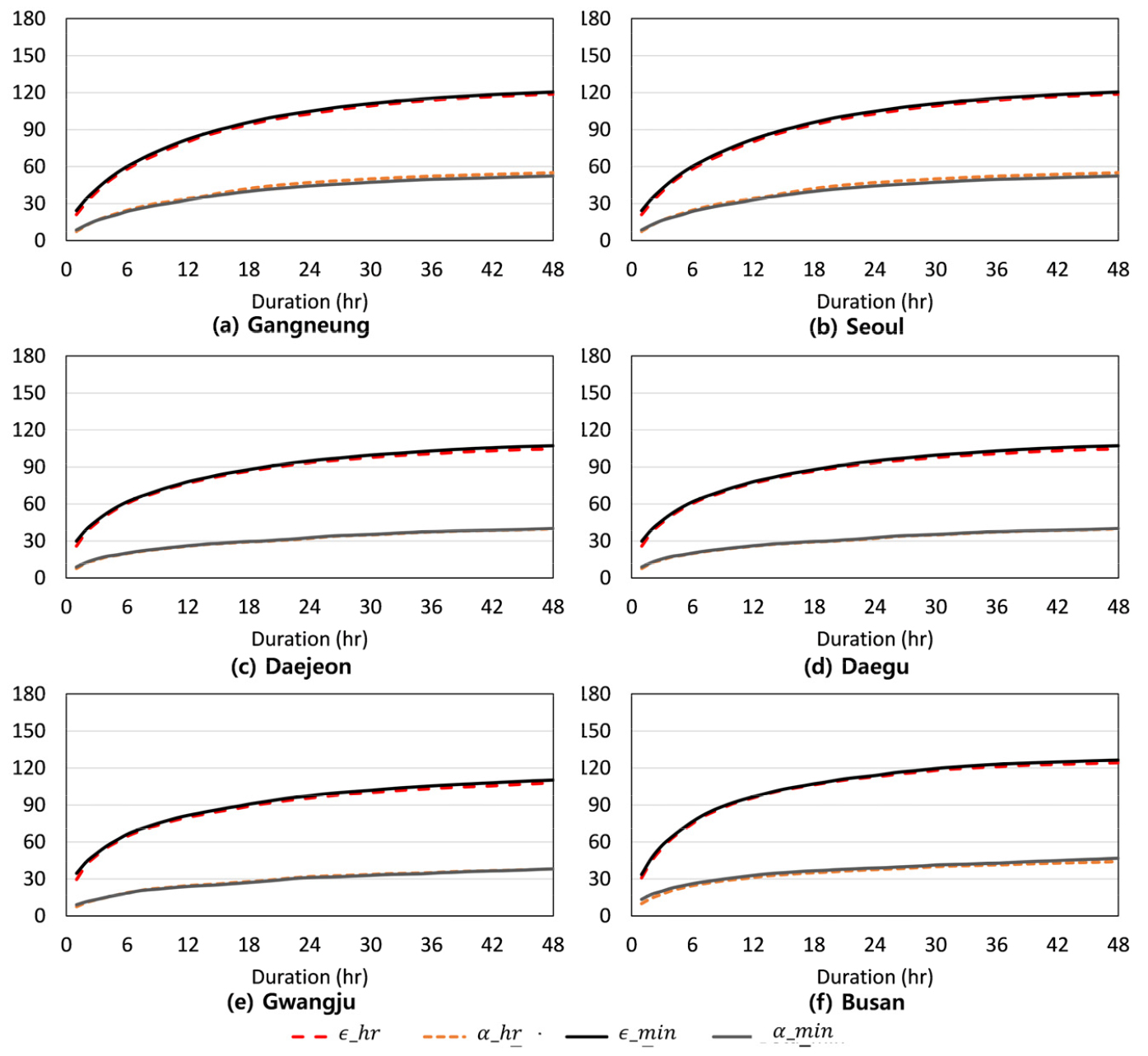
구축한 연최대치 자료를 통해 확률강우량을 산정하고 결과를 비교하였다. 수문계열을 통해 살펴본 결과는 대부분의 분단위자료가 시간자료보다 큰 것으로 나타났지만, 확률강우량 산정 결과는 다르게 나타났다. Fig. 5는 분단위 강우자료와 시간단위 강우자료를 활용한 확률강우량의 지속시간 별 차이를 나타냈다. 분단위에서 시간단위를 뺀 결과이며, 양수일 경우 분단위 산정 결과가 더 크며, 음수일 경우 시간단위 산정 결과가 크다. 지점별 차이를 살펴보면, 강릉의 경우, 낮은 지속시간인 1시간에서는 분단위를 통한 강우량이 크게 나타났지만, 지속시간이 증가할수록 시간단위를 통해 산정한 결과가 크게 나타났다. 또한 재현빈도가 클수록 더 큰 차이를 나타냈다. 서울, 대전, 대구, 광주의 경우 지속시간 별로 분단위, 시간단위의 산정 결과의 크기가 다르게 나타났다. 분단위와 시간단위 설계홍수량에 대해 분석했던 Kim et al. (2018)의 연구에서도 분단위, 시간단위 산정에 따른 결과가 지속시간에 따라 다르게 나타나, 시간해상도에 따라 분단위 산정결과가 무조건 크게 나타나는 것은 아닌 것으로 사료됩니다. 부산의 경우, 모든 지속시간에서 분단위 강우량이 항상 더 크게 나타났으며, 재현빈도가 클수록 차이도 크게 나타났다. 지속시간별 매개변수 산정 결과를 살펴보면(Fig. 6), 위치매개변수(𝜖)는 6개 지점 모두에서 분단위를 통해 산정한 결과가 높게 나타났다. 규모매개변수(𝛼)는 강릉지점은 시간단위가 높게, 서울, 대전, 대구, 광주는 거의 유사하게, 부산지역은 분단위가 더 높게 나타났다.
3.2 시간해상도에 따른 연초과치 확률강우량 비교
3.2.1 연초과치 계열
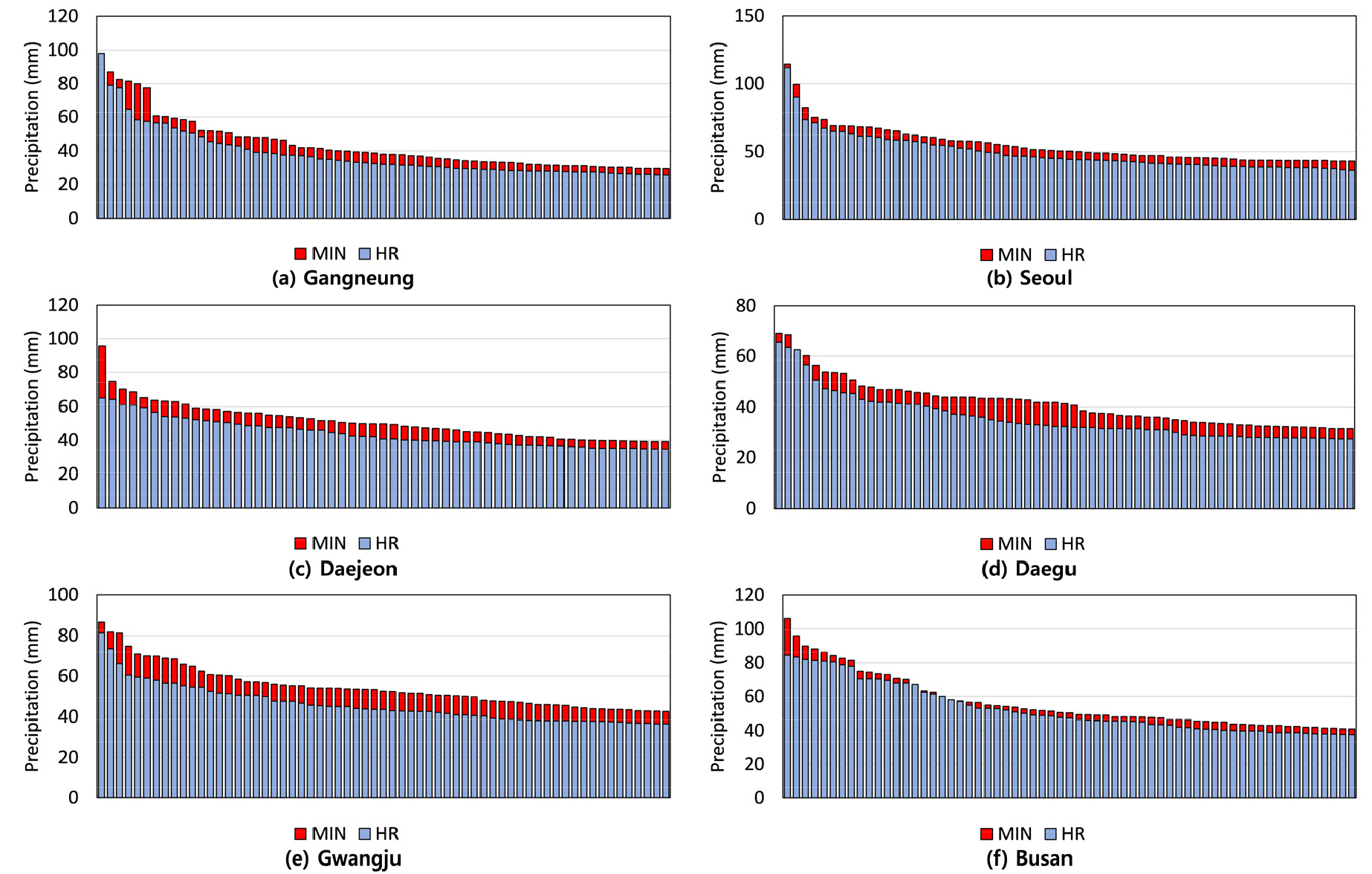
Fig. 7는 지속시간 1시간, Fig. 8는 지속시간 24시간에 대한 연초과치 계열을 내림차순으로 나타낸 것이다. 시간해상도에 따른 변화는 연최대치와 유사하게 나타났다. 지속시간 1시간의 경우, 연최대치와 동일하게 분단위 강우자료를 활용하여 산정한 경우가 높게 나타났다. 지속시간 24시간의 경우, 분단위 강우자료를 통해 산정한 결과가 시간단위 강우자료와 유사하게 나타났으나, 상위 강수량에서는 차이가 유지되는 것으로 나타났다.
연최대치 계열과 동일하게 연초과치 비율에서도 지속시간별 환산계수 평균값을 산정하였다. Fig. 9는 본 연구에서 산정한 비율과 회귀식을 통해 구한 값을 나타냈다. 연초과치 계열에서의 환산계수도 회귀식과 마찬가지로 지속시간이 증가할수록 감소하며 수렴하는 형태를 나타냈다. 짧은 지속시간인 지속시간 1시간에서 최대 광주지점에서 1.188, 최소 서울 1.120으로 나타났으며, 긴 지속시간일수록 수렴하는 형태를 나타냈다. 연초과치에서 산정한 환산계수는 연최대치에서 산정한 환산계수보다 회귀식에 더 유사한 형태로 나타났다.
하지만, 연초과치 계열을 통한 환산계수 산정 결과에서는 연최대치 계열과 다르게, 1.00보다 낮은 환산계수가 도출된 지점 및 지속시간이 존재하였으며, 서울지점의 12시간 지속시간은 0.99로 가장 낮은 값을 나타냈다. 이는, 연초과치계열에서 독립호우사상을 구분하는 과정에서 생긴 차이로 보인다. 동일한 무강우기간 12시간을 적용하였으나, 시간단위 자료에서는 같은 호우사상으로 구분되었으나 분단위에서는 다른 호우사상으로 구분되어 산정 결과가 낮게 나타난 것으로 사료된다. 서울지점의 가장 낮은 값이 무강우시간과 동일한 지속시간에서 발생한 것도 이에따른 결과로 보인다.
3.2.2 확률강우량 산정결과
연초과치 자료를 통해 확률강우량을 산정하였고 결과를 비교하였다. 연최대치에서 나타난 것과 같이, 수문계열은 분단위 자료가 시간자료보다 큰 것으로 나타났지만, 확률강우량 산정 결과는 지점 별로 다르게 나타났다. Fig. 10은 분단위 강우자료와 시간단위 강우자료를 활용한 확률강우량의 지속시간별 차이를 나타냈다. 연초과치계열에서는 강릉과 서울에서 유사한 형태 및 모양을 나타냈으며, 지속시간이 증가할수록 시간단위 산정 결과가 크게 나타났고 재현빈도가 클수록 큰 차이를 나타냈다. 대전, 대구, 광주의 경우 지속시간과 재현빈도 별로 산정 결과가 다르게 나타났으며, 부산은 연최대치와 동일하게 지속시간이 길수록 더 크게 나타났고, 재현빈도가 클수록 차이가 더 크게 나타났다. 지속시간별 매개변수 산정 결과를 살펴보면(Fig. 11), 위치매개변수(𝜖)는 6개 지점 모두에서 분단위를 통해 산정한 결과가 높게 나타났다. 규모매개변수(𝛼)는 강릉과 서울지점에서는 시간단위가 높게, 대전, 대구, 광주는 거의 유사하게, 부산지역은 분단위가 더 높게 나타났다.
이처럼 시간해상도가 확률강우량 산정에 미치는 영향은 두 가지로 볼 수 있다. 먼저, 고정시간에서 임의시간으로 변화함에 따른 연최대치, 연초과치 계열의 평균적인 값의 증가이며, 이는 기존에 고정시간-임의시간 환산계수를 통해 적용하는 이유이다. 본 연구에서의 산정 결과도 시간단위를 통한 수문자료계열과 분단위 수문자료계열은 분단위 수문자료가 높게 나타났으며, 기존 환산계수의 형태와 동일하게 나타났다.
두 번째는, 연최대치, 연초과치 계열의 분포 변화이다. 고정시간-임의시간 변화에 따른 강우량 증가는 산정된 강우사상 별로 다르게 나타난다. 어떤 강우사상은 증가 폭이 크게 변하며, 다른 강우사상은 증가 폭이 작거나 없을 수 있다. 이 때문에 일부 기상대에서는 추출한 계열 값들의 분포가 다소 달라지게 되며, 계열 중 낮은 값이 유사한 값들로 모이게 된다. 계열값의 분포가 달라지는 경우, 이를통해 추정한 Gumbel분포의 표준편차가 변화하게 되어 산정결과의 오차는 더욱 크게 나타난다. 이는 연최대치 강릉, 부산, 연초과치 강릉, 서울, 부산에서처럼 재현빈도가 높아질수록 차이가 커지는 것을 알 수 있으며, 고정시간-임의시간에 따른 차이보다 크게 나타났다. 특히, 서울지점을 보면 동일한 자료여도 연최대치, 연초과치에 따라 강우 시간해상도에 따른 변화 경향이 다르게 나타났다.
이러한 변화는 매개변수 산정 결과로부터 추가적으로 확인할 수 있다. 위치매개변수는 1차 모멘트로써 강우자료 계열의 평균을 반영하게 되고 규모매개변수는 2차 모멘트로 강우자료 계열의 분포를 반영하게 된다. 고정시간-임의시간 환산계수를 통해서는 1차 모멘트의 변화를 반영할 수 있으나, 2차 모멘트의 변화는 반영하기 어렵다. 하지만, 산정 결과의 차이는 2차 모멘트 변화로 인한 규모매개변수의 차이로 인한 변화가 큰 것으로 나타나, 추후 이를 반영해야 할 것으로 사료된다.
4. 결 론
본 연구에서는 분단위 강우자료와 시간단위 강우자료를 활용하여 연최대치, 연초과치 계열을 구축하고, 확률강우량 분석을 수행하여, 시간해상도에 따른 확률강우량 변화를 분석하였다. 이를 위해, 지역별로 6개 지점(강릉, 서울, 대전, 대구, 광주, 부산)을 선정하였으며 지점별 연최대치, 연초과치 계열 구축과 확률강우량 분석을 수행하였다.
시간해상도에 따른 연최대치 계열은 분단위 강우자료를 활용한 경우가 시간단위 강우자료를 활용한 계열보다 크게 나타났으며, 이는 고정시간-임의시간 환산계수와 유사한 경향을 나타냈다. 확률강우량을 산정한 결과는 지점별로 지속시간과 재현빈도에 따라 다르게 나타났으며, 강릉 지점은 분단위를 활용한 경우가 낮게, 부산 지점은 분단위를 활용한 경우가 높게 나타났다. 이외 4개의 지점은 지속시간, 재현빈도에 따라 다르게 나타났다. 시간해상도에 따른 연초과치 계열은 연최대치와 마찬가지로 분단위 강우자료를 활용한 경우가 시간단위 강우자료를 활용한 계열보다 높게 나타났으며, 고정시간-임의시간 환산계수와 유사한 경향을 나타냈다. 강릉, 서울 지점은 분단위를 활용한 경우가 낮게, 부산은 시간단위를 활용한 경우가 높게 나타났으며, 이외 3개 지점은 지속시간, 재현빈도에 따라 다르게 나타났다. 수문자료 계열은 분단위 강우자료가 시간단위 강우자료보다 높게 나타났음에도 불구하고, 확률강우량의 차이는 시간해상도의 변화가 Gumbel 분포의 매개변수인 매개변수 중 위치매개변수에 변화뿐만 아니라 규모매개변수의 변화에 영향을 미친 것으로 나타났다. 강릉지점에서는 분단위의 규모매개변수가 시간단위보다 낮게 나타나, 평균은 높았음에도 불구하고 확률강우량은 낮게 나타났으며 부산지점은 반대로의 경향으로 분단위 확률강우량이 높게 나타났다. 서울 지점에 경우 연최대치, 연초과치 계열 각각 경향이 다르게 나타났다.
이처럼 시간해상도에 따른 계열의 변화는 수문자료 계열에서 평균적인 증가뿐만 아니라, 확률분포의 재현빈도 해석을 위한 표준편차의 변화로 나타나, 확률강우량 산정 결과에 큰 영향을 미친 것으로 나타났다. 평균의 변화는 고정시간-임의시간 환산계수 적용을 통해 단순한 증감으로 반영할 수 있지만, 표준편차의 변화는 재현빈도를 높힐수록 누적되기 때문에 더 큰 차이를 나타난다. 또한, 같은 지점이더라도, 지점별, 계열 구축 방법 별로 상이하게 나타날 수 있습니다.
분단위 강수자료가 지속적으로 누적되고 있어, 분단위 해석을 위한 기초자료가 확보되고 있습니다. 시간해상도는 단순히 평균적인 값의 차이뿐만 아니라, 값이 바뀜으로써 분포 표준편차의 변화도 나타나기 때문에 추후 환산계수 적용 시에 분포에 대한 연구가 추가적으로 필요할 것입니다. 또한, 분석유역의 세분화로 시간단위 이하에 대한 확률강우량 해석이 필요성이 증가하고 있으며, 시간단위 해석 후 내삽을 통한 설계보다 분단위 자료를 활용한 분석이 이루어져야 할 것입니다.













