1. 서 론
2. 연구방법
2.1 연구대상지역
2.2 자료 취득 방법 및 사용 센서
3. 연구 결과
3.1 국가측정망 분석
3.2 CASE 설정
3.3 연속모니터링을 통한 성층현상 분석
4. 결 론
1. 서 론
성층화로 인해서 녹조나 빈산소, 탁수 등 다양한 수환경 문제가 발생하고 지속되고 있다. 이러한 수환경문제는 하천에서 시공간적으로 광범위하게 발생하고 있다(Shin and Kim, 2017). 따라서 수환경 문제를 예방하고 수생태계를 회복하기 위해서는 하천을 파악할 수 있는 구체적인 자료가 필요하다. 이렇듯 성층화로 인한 수환경문제는 한강수계에서도 마찬가지로 발생하고 있기에 한강에 대한 관심도 증가하고 있다. 특히나 한강수계는 서울과 경기도 지역의 대표 상수원인 팔당호를 포함하고 있고(Chung et al., 2008), 팔당호는 서울과 경기도권의 식수원으로 상수원보호구역과 팔당대책지역으로 지정되어 있어 수질 개선의 관심도가 필요한 실정이다.
팔당호는 북한강과 남한강, 경안천이 합류하는 곳으로, 한강으로 향하는 길목에 팔당댐을 설치하여 생긴 인공호이다(Hwang et al., 2016). 팔당호는 여러 유입하천과 그로 인한 지형적특성, 여러 수리구조물의 운영으로 인해 복잡한 수체 혼합으로 인해서 북한강과 남한강의 수온차에 의한 성층현상이나 계절별, 유황별 밀도류 현상이 관찰된다. 이처럼 팔당호와 같은 복잡한 수체를 관찰하고 분석하기 위해서는 하천에 대한 시공간적인 조사와 분석이 필요하다(Noh et al., 2023).
성층을 구분지을 때는 열적층화와 물리적층화로 나눌 수 있다. 열적층화가 성층화(Stratification)에 가깝고, 물리적층화가 밀도류(Density current)에 가깝다(Son et al., 2020). 성층화와 밀도류는 층을 이룬다는 점에서 비슷하지만, 성층화의 경우 태양열에 의해 수표면만 가열되어 수표면과 하층과의 수온차가 발생할 때 형성되기에 성층화는 오로지 열에 의한 변화만 존재할 때 형성되고, 밀도류는 강이나 바다와 같이 두 하천의 밀도가 다를 때 형성된다(Boyd, 2020). 따라서 성층화나 밀도류는 계절별, 유황조건에 따라 다르기 때문에 구분이 필요하다. 특히 국내 인공저수지의 대부분은 수심이 깊고 기온 영향으로 여름철에는 높은 대기 온도에 의해 호소 상층부의 수온이 상승하여 표층과 저층 사이의 수온 차이로 인해 뚜렷한 수온성층이 형성된다(Yoon and Chung, 2012). 그에 반면 팔당호의 흐름특성은 수리구조물 운영으로 인한 수온성층의 흐름특성이 굉장히 다양하게 이뤄진다.
팔당호와 주변 하천의 측정망 위치를 확인해보았을 때, 여러 측정망들이 연계되어 운영되고 있고, 측정망 기반의 연구가 현재까지도 진행 중이다. 국가측정망의 경우 지점측정방식으로 운영이 되어 하천을 대표하는 지점의 자료만을 제공하고 있다. 따라서 각 측정망마다 위치나 항목, 공개일자가 다르기에 이는 통일된 자료라 판단하기에 어려움이 있다.
특히나 팔당호 연구는 성층현상을 확인할 수 있는 수온을 지표로 많이 연구되었다. 2013년부터 2018년까지의 팔당댐2(물환경정보시스템 호소측정망 중 팔당댐2)의 수심에 따라서 공간보간한 자료를 통해서 여름철에 수온 성층현상이 발생한다는 것을 확인하였다(Son et al., 2020). 하지만 이는 수심이 깊은 팔당댐2에 대한 자료를 바탕으로 분석이 되었기 때문에 한 지점에 대한 정보만 알 수 있다. 이 결과를 통해서 팔당호 전역의 공간적인 현상에 대해서 파악하기에는 어려움이 있다. 따라서 팔당호와 같이 복잡한 수체를 가진 하천에서는 수체를 구분할 수 있는 항목을 설정하여 여러 요인과 같이 분석을 진행하거나 하천의 수리와 수질정보를 파악할 수 있는 계측이 필요하다고 판단하였다(Meyer et al., 2019).
팔당호는 호소이지만 하천의 형상을 동시에 띄고 있다. 따라서 호소의 분석보다는 하천의 분석이 더 적합하다고 판단하여 하천 합류부에서 많이 사용되는 계측를 진행하고자 하였다. 계측은 수리와 수질이 연계된 연구방법(Nilsson and Renöfält, 2008)으로써 수체혼합과 흐름특성을 파악할 수 있다. 또한 측정망보다 많은 정점에서의 고해상도의 자료를 취득할 수 있는 장점이 있다. 따라서 본 연구에서는 계측자료를 기반으로 팔당호에 대한 고해상도 자료를 조사 및 분석하고자 하였다.
여러 조사를 통해서 시공간적인 데이터를 구축하고, 구축된 데이터 바탕으로 수리와 수질 관계를 파악하여 수체혼합특성을 분석하고자 하였다. 또한 팔당호는 북한강에는 청평댐, 남한강에는 이포보가 위치해 있어 수리구조물에 따른 성층도 발생한다. 따라서 본 연구에서는 계측 자료를 통해 팔당호 흐름분석을 통해서 수체혼합 분석뿐만 아니라 계절별/유황조건별 분석을 같이 진행하여 수리구조물 운영에 따른 성층구조 연구를 진행하고자 하였다.
2. 연구방법
2.1 연구대상지역
팔당호의 수리와 수질 복합측정을 위해서 아래의 그림과 같이 측선과 측정포인트를 설정하였다(Fig. 1). 유입하천과 팔당호 내로 들어오는 주요흐름에 대해서 분석하기 위해서 유입하천인 북한강과 남한강, 경안천, 그리고 팔당호와 팔당댐앞까지 각 측선을 설정하였고, 유입하천의 영향범위를 확인하기 위해서 각 유입하천의 하류부에도 측선을 설정하였다. 또한 각 측선에서의 수표면뿐만 아니라 좌안, 중안, 우안에서 연직방향으로 측정을 진행하여 수표면과 연직 데이터를 취득하였다(측선: 북한강(BJ1), 남한강(NJ1)유입부분, 북·남합류직후(BN), 합류후(PJ1, PJ2), 팔당호 사행구간(PS), 팔당댐(PH1, PH2, PH3), 소내섬 인근(KS2, KS3), 경안천 유입부분(KS1)). 따라서 본 연구에서는 여러 측선 중 유입하천의 수리구조물이 위치한 북한강(BJ1), 남한강(NJ1), 그리고 북·남한강의 합류지점(BN)에 대한 연구를 중점적으로 진행하였다.
2.2 자료 취득 방법 및 사용 센서
각 측선에서 유량과 유속을 측정할 수 있는 ADCP와 수질자료를 취득할 수 있는 YSI 두 센서(Fig. 2)를 이용하여 보트를 타고 하천을 횡단하면서 데이터를 취득하였다. 수표면 자료는 두 센서를 보트 옆에 부착한 뒤 좌안과 우안의 끝으로 이동하며 수표면의 전체적인 자료를 취득하였으며, 연직 자료는 각 측선의 좌안·중안·우안 정점에 정지하고 YSI-EXO를 연직릴을 사용하여 상층부터 하층까지 1초간격으로 수질자료를 취득하였다.
ADCP는 음향 도플러 효과를 이용하여 수중의 유속을 다층으로 정밀하게 측정할 수 있는 장비로(Kostaschuk et al., 2005), 주로 하천, 호소, 해양 등에서 수직 유속 분포를 실시간으로 계측하는 데 활용된다. 송신기(transducer)에서 수중으로 방출된 초음파 신호가 부유 입자(suspended particles)나 미세한 불순물에 반사되어 돌아오는 도플러 주파수 편이를 측정함으로써, 각 수심별 유속 성분을 연직 방향으로 프로파일링할 수 있다(Takeda, 1995).
ADCP는 선박 탑재형(vessel-mounted), 고정식(bottom- mounted), 무인선(unmanned surface vehicle, USV) 기반으로 운용될 수 있으며, 단순 수평 유속뿐 아니라 유량 추정, 난류 구조 분석, 밀도류 또는 수층 간의 이질 유동 특성 분석 등 다양한 수리적 응용이 가능하다. 또한 GPS와 결합하여 공간적 흐름장을 추정할 수 있어, 대규모 유역의 3차원 유동 해석에 유용하다. 그리고 YSI 다항목 수질측정기(YSI multiparameter water quality sonde)는 수중의 다양한 수질 항목을 동시에 실시간 측정할 수 있는 센서 통합형 장비로, 온도, 전기전도도, pH, 용존산소(DO), 탁도, 엽록소-a, 블루그린조류(BGA), 형광물질(FDOM) 등 다양한 파라미터의 정밀 측정이 가능하다(Wang et al., 2024).
특히 YSI의 EXO 시리즈는 모듈형 설계를 기반으로 하여 사용자 요구에 따라 센서를 구성할 수 있으며, 고내구성의 외장재 및 자가 세정 기능을 탑재해 장기간 수중 설치에도 적합하다. YSI는 연직 분포 및 정점 수질 모니터링, 무인선과의 연계 측정, 또는 실시간 데이터 전송 시스템과 연동되어 수질의 시공간적 변화를 정밀하게 관측하는 데에 활용된다(Tables 1 and 2).
팔당호의 혼합특성을 파악하기 위해서 전기전도도와 수온을 지표로 이용하였다(Lee et al., 2022). 전기전도도는 수체의 고유성질로 정량적 평가 수질항목으로 이용되고, 수체의 오염도를 나타내는 지표로 활용 가능하기에 전기전도도를 선택하였다. 또한 수온은 수온차에 의한 성층형상 해석에 용이하고 수체 혼합거동시 연직 분포 해석이 가능하기에 선택하였다. 특히나 이 두 항목은 강수량과 방류조건과 높은 상관성을 가지고 있다.
3. 연구 결과
3.1 국가측정망 분석
2022년~2023년 호소측정망(Fig. 3) 팔당댐3과 팔당댐4의 자료(https://water.nier.go.kr/web)를 이용하여 북한강(PD4)과 남한강(PD3)의 전기전도도를 비교하였다. 북한강과 남한강의 전기전도도가 차이가 나는 것을 Fig. 4를 통해서 확인할 수 있다. 두 강뿐만 아니라 상층, 중층, 하층끼리도 서로 차이가 난다는 것 또한 확인할 수 있었다. 이를 통해서 북한강과 남한강의 수체가 섞이지 않고 성층현상이 발생한다는 것을 시각적으로 확인하였다.
Table 1.
Hydraulic survey instrument specifications
Table 2.
Water quality survey instrument specifications
또한 청평댐의 발전방류 여부는 수문 관측망의 실시간 유량 자료를 활용하여 확인하였다(Fig. 5). 특히 청평댐 하류 측정지점에 설치된 유량계 자료를 분석함으로써, 시간대별 방류 유무 및 유량 변화 패턴을 정량적으로 파악하였다. 이러한 자료는 본 연구에서 설정한 수리 조건(CASE1, CASE2 등)의 기준값 도출(Table 3) 및 상류 방류가 하류 유동에 미치는 영향을 분석하는 데에 기초자료로 활용되었다.
Table 3.
Discharge amount at the time of measurement in CASE 1 and CASE 2
| CASE1 | CASE2 | |
| CheongpyeongDam | 57.14 m3/s | 263.64 m3/s |
| Ipo Wier | 15.22 m3/s | 306.63 m3/s |
| PaldangDam | 198.79 m3/s | 497.89 m3/s |
|
GyeonganStream (Seoha Bridge, Gwangju City) | 2.30 m3/s | 2.77 m3/s |
3.2 CASE 설정
Fig. 4의 측정망을 통해서 두 강의 수체가 섞이지 않는다는 것을 확인하였고, 이를 현장조사를 통해서 검증하고자 하였다. 그에 따라서 2023.10.27. / 2024.04.17. 두 케이스로 나누어서 계측(Table 4)을 진행하였다. CASE1 조건에서는 북한강 유입부에서 뚜렷한 성층 구조가 관찰되었다. 이러한 성층은 일반적인 계절적 요인보다는 상류에 위치한 청평댐의 발전방류에 기인한 비정상 수리 조건에 의한 것으로 해석된다. 실제로 본 사례에서는 청평댐에서 발전방류가 이루어졌으며, 이로 인해 남한강의 수체 일부가 북한강 방향으로 유입되는 역전 흐름이 형성되었다.
Table 4.
Summary of water quality concentrations for CASE1 and CASE2
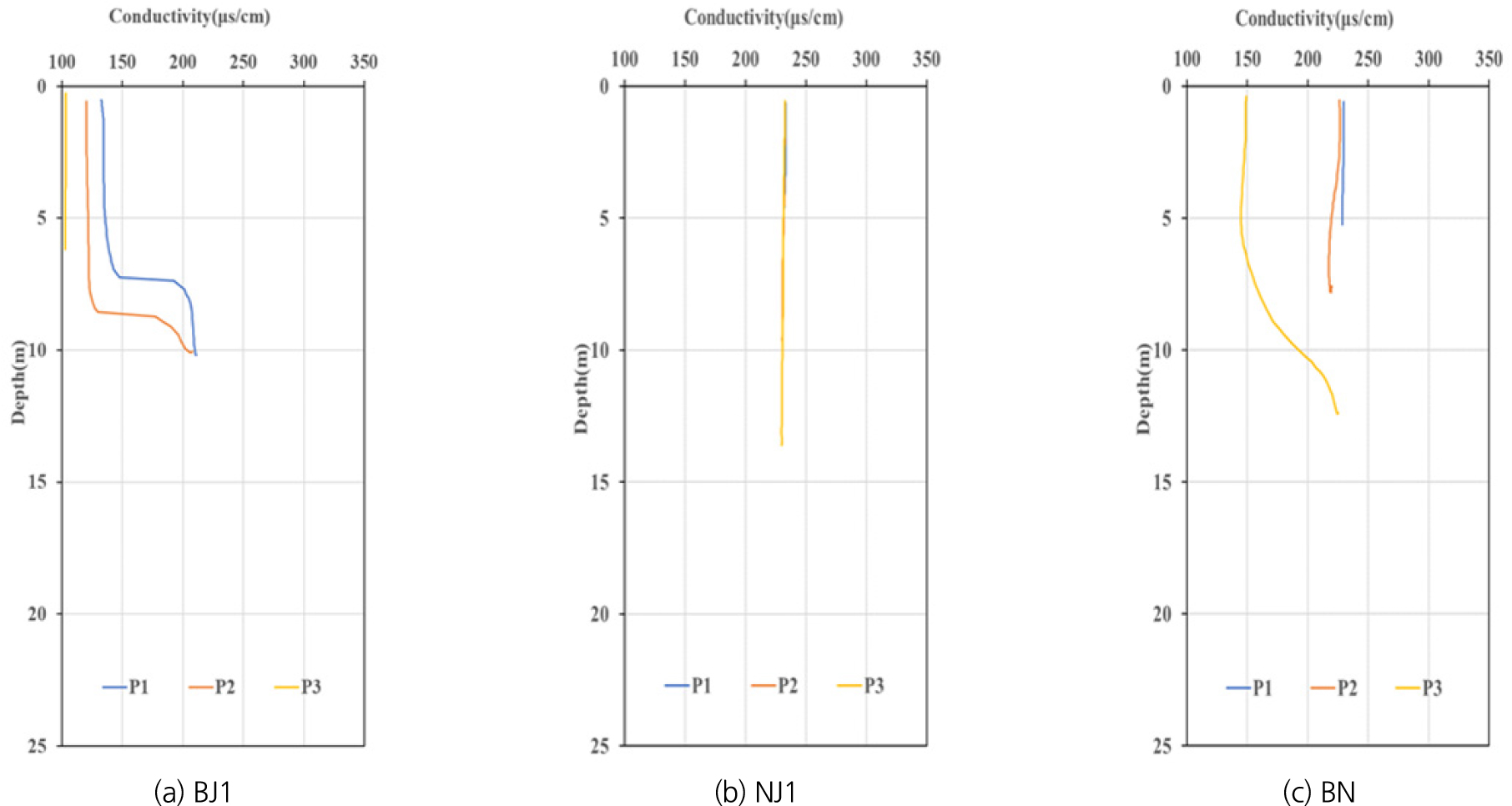
이러한 유동 구조는 전기전도도와 유량 자료를 통해 정량적으로 검증되었다. Figs. 6 and 7을 보았을 때, 당시 남한강의 전기전도도는 약 230 µS/cm로, 북한강의 120 µS/cm에 비해 약 2배 이상 높은 값을 나타냈으며, 유량 또한 남한강이 153.2 m3/s, 북한강이 57.13 m3/s로 약 3배에 달하는 차이를 보였다. 전기전도도 분포 결과, 북한강 유입수 상층에서 높은 전기전도도 수괴가 존재하고 하층은 전기전도도 수괴가 유지되어 수직 방향의 이질적인 수질층이 형성된 것으로 나타났다. 결과적으로 본 사례는 발전방류에 의한 유량 및 수질 특성 차이로 인해 밀도류적 성층 현상이 형성되었으며, 수체 내 혼합이 제한되는 조건에서 이러한 성층 구조는 일정 시간 유지되는 것으로 판단된다.
CASE2에서는 북한강 유입부에서 성층 구조가 나타나지 않았으며, 전형적인 연직 혼합형 하천 유동 특성이 관측되었다. 이는 전례인 CASE1과 비교하여 청평댐의 운영방식이 변화된 데에 기인한 것으로 판단된다. 실제 조사 시점에서 청평댐은 간헐적인 발전방류를 중단하고, 일정량의 수량을 상시적으로 방류하는 운영을 하고 있었으며, 이에 따라 북한강의 방류 패턴과 유량 조건이 크게 변화하였다.
이 시기의 유량 조건을 살펴보면, 북한강은 263.63 m3/s, 남한강은 306.6 m3/s로 두 유역 간 유량 차이가 약 1.16배 수준으로, 이전 CASE1(북한강-57.13 m3/s, 남한강-153.2 m3/s)의 약 3배 차이와 비교하면 현저히 감소하였다. 반면, 전기전도도는 북한강이 150 µS/cm, 남한강이 320 µS/cm로 여전히 큰 차이를 보였다.
그럼에도 불구하고 성층화가 발생하지 않은 것은 유량 균형의 변화에 따라 남한강 수괴가 북한강으로 역류하지 않았기 때문이며, 북한강 유량이 크게 증가하면서 수체 내 유속과 난류 강도가 높아져 수직 혼합이 활성화된 것으로 해석된다. 이와 같이 댐 방류 조건에 따른 유량 변화는 단순한 수질 농도 차이보다도 성층화 형성에 더욱 직접적인 영향을 미치는 요인으로 작용함을 시사한다.
본 연구에서는 팔당호에 유입되는 하천 중 북한강과 남한강의 유량 및 수질 특성이 상이한 조건에서 수체 내 성층 구조 형성 여부를 분석하였다. 특히 청평댐의 발전방류 여부가 팔당호 내 흐름 구조에 미치는 영향을 고찰하기 위하여, 발전방류가 이루어진 CASE1과 상시방류가 이루어진 CASE2를 비교하였다.
CASE1의 경우, 청평댐에서의 발전방류가 이루어졌으며, 이로 인해 남한강의 높은 전기전도도 수괴(230 µS/cm)가 북한강의 낮은 전기전도도 수괴(120 µS/cm) 위를 덮는 형태의 성층 구조가 북한강 유입부에서 관측되었다. 유량 또한 남한강(153.2 m3/s)이 북한강(57.13 m3/s)의 약 3배에 달해 수질적 이질성과 함께 유동의 비대칭성이 뚜렷하였다. 이는 남한강의 유입수가 북한강으로 부분적으로 역류하면서 상층을 점유하게 되었고, 이러한 조건과 함께 유량조건에서도 차이가 극명하게 발생하였다. 또한 앞서 Fig. 5에서 나타난 것처럼 방류조건이 발전방류로 측정했던 시간때의 방류가 이뤄지지않고 있었다. 이에따라 유입되는 남한강의 수체가 북한강 하상으로 침투되었다고 볼 수 있다.
반면 CASE2에서는 발전방류가 이루어지지 않고 청평댐에서 일정량의 수량이 상시 방류됨에 따라, 북한강의 유량이 263.63 m3/s로 크게 증가하였으며, 남한강(306.6 m3/s)과의 유량 차이는 약 1.16배 수준으로 축소되었다. 비록 이 시기에도 남한강과 북한강 전기전도도 차이는 약 2배(남한강-320 µS/cm vs. 북한강-150 µS/cm)에 달하였으나, 역류 유동이 발생하지 않았고, 북한강 수체의 유속과 난류 수준이 증가함에 따라 성층화는 발생하지 않았다.
Fig. 8은 CASE1 조건에서의 수온 및 전기전도도의 공간보간 결과를 나타낸 것으로, BJ1, NJ1, BN측선(Fig. 1) 좌·중·우에서의 연직 데이터를 기반으로 각 측선에서의 수리·수질 구조를 시각적으로 표현하고 있다.
BJ1 구간에서는 전 수심에 걸쳐 수온과 전기전도도가 모두 낮고 비교적 균일하게 분포하고 있어, 북한강 유입수가 저온·저전도도의 특성을 유지하며 유입되고 있음을 보여준다. 반면 NJ1 구간은 전 수심에서 수온은 유사하나 전기전도도는 고농도로 균일하게 분포하고 있어, 남한강 수체는 고전도도의 성격을 띠며 외부 영향 없이 안정적으로 유입되고 있음을 의미한다. BN 구간에서는 두 하천이 합류하면서 전기전도도와 수온 모두에서 뚜렷한 수직 구배가 형성되어 성층 구조가 나타나는 것을 확인할 수 있다. 특히 전기전도도 분포에서 상층은 고전도도(남한강 수괴), 하층은 저전도도(북한강 수괴)로 나뉘며, 이는 청평댐의 발전방류로 인해 남한강 수괴가 북한강 유역 상층부로 유입되어 형성된 역전 흐름 및 밀도류에 의한 성층현상으로 해석된다.
이와 같은 결과는 수질 차이뿐만 아니라 유량비와 댐 방류 조건이 수체 내 혼합 및 성층 구조 형성에 결정적인 영향을 미친다는 점을 시사한다.
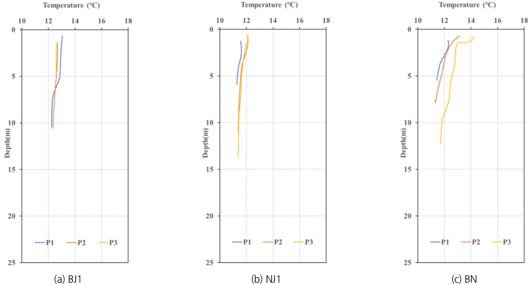
BJ1 구간에서는 수온 및 전기전도도가 전 수심에 걸쳐 균일하게 분포하고 있으며, 이는 청평댐의 상시 방류 운영에 따라 북한강 수체가 안정적이고 높은 유량으로 유입되고 있음을 의미한다. 실제 이 시기 북한강 유량은 약 263.63m3/s로, CASE1 대비 약 4.6배 증가하였으며, 이로 인해 유속과 난류 강도가 상승하여 연직 혼합이 활발하게 일어난 것으로 해석된다.
NJ1 구간에서도 전기전도도는 고농도로 균일하게 나타나며, 남한강 특유의 고전도도 수괴가 잘 유지되고 있는 것을 확인할 수 있다. 그러나 BN 구간에서는 상·하층 간 뚜렷한 수직 구배가 형성되지 않았고, 전기전도도와 수온 모두에서 연직 혼합이 잘 이루어진 균질한 수괴가 관측되었다. Figs. 9 and 10을 보았을 때, 이는 남한강과 북한강의 전기전도도 차이(남한강: 320 µS/cm, 북한강: 150 µS/cm)가 여전히 존재하였음에도 불구하고, 유량비가 거의 유사해지면서 남한강 수괴의 역류가 발생하지 않았고, 수체 간 경계면이 형성되지 않았기 때문으로 판단된다.
Fig. 11은 CASE2 조건에서의 수온 및 전기전도도의 공간보간 결과를 나타낸 것으로, BJ1, NJ1, BN측선(Fig. 1) 좌·중·우에서의 연직 데이터를 기반으로 각 측선에서의 수리·수질 구조를 시각적으로 표현하고 있다.
결과적으로, CASE2에서는 청평댐의 방류 방식 변화에 따른 유량 구조의 변화가 성층화 억제에 주요한 역할을 한 것으로 분석되며, 이는 수질지표 간 이질성보다 수리적 요인이 성층화 발생 여부에 더욱 큰 영향을 미친다는 점을 보여준다. 따라서 유량비와 방류 패턴의 변화는 단기적인 수질 분포뿐만 아니라 수체 구조와 장기적인 수질 관리에도 밀접하게 연결되어야 함을 시사한다.
3.3 연속모니터링을 통한 성층현상 분석
본 연구에서는 팔당호 및 주요 유입하천의 수리·수질 변화를 고해상도로 관측하기 위하여 총 3개 지점에서 고빈도 모니터링을 수행하였다. 호소 내부에는 팔당댐 상류로부터 하류 방향으로 PC1, PC2, PC3 정점에서 수행되었다(Fig. 12). 각 지점에서는 CTD를 이용한 수질 항목(수온, 전기전도도, 용존산소) 측정과 ADCP를 통한 연직 유속 계측이 병행되었으며, 측정 간격은 5분~15분 이내의 고빈도로 유지되었다.
본 모니터링 네트워크는 유입수의 상류 방류 영향 및 성층화·혼합 현상을 시공간적으로 분석하는 데에 활용되었다. 조사시간은 2023/09/08 ~ 2023/10/16로 총 38일간 3개의 정점에서 진행하였다. 정점은 북한강 상류인 PC1지점, 남한강 상류인 PC2지점, 북한강과 남한강 합류 후 족자도 밑인 PC3지점으로 설정하였다.
공간보간을 통해서 북한강 측선에서 성층현상이 관찰되었기에 PC1지점에 대한 결과를 확인해 본 결과, 연직유속분포를 보면 하층부분에서 상류지점으로 흐름이 역행하는 파란부분이 관찰되었다. 이는 청평댐의 발전방류로 인한 역행흐름으로 관찰되었다. 청평댐의 발전방류로 인한 시점과 연직유속분포와의 상류로 역행하는 시점과 일치하는 것을 확인할 수 있었다.
연구 결과에서 언급한 바와 같이, 팔당호 내에서 발생하는 성층 흐름(stratified flow)은 상류 구조물의 영향으로 유도된 현상으로 해석할 수 있으며, 이는 고해상도·고빈도 모니터링 결과를 통해 명확히 확인할 수 있다.
Fig. 13에서는 상단의 두 그래프가 방류량을, 하단의 두 그래프가 유동 방향을 나타낸다. 이 네 개의 시계열 그래프를 비교해보면, 상류 구조물의 방류 여부에 따라 유동 방향이 달라지는 양상을 확인할 수 있다.
특히, 발전 방류가 지속적으로 이루어질 때 PC1 지점에서는 상층과 하층의 유동이 뚜렷하게 분리되어 나타났다. 이러한 결과는 고해상도 모니터링 결과를 통해 확인되며, 상층은 주로 북한강의 영향을, 하층은 주로 남한강의 영향을 받는 것으로 해석된다.
본 연구에서는 고해상도(high-resolution) 및 고빈도(high- frequency) 모니터링을 통합적으로 활용하여 성층 흐름 구조에 대해 보다 종합적인 해석이 가능하였으며, 다양한 유동 사례에 대한 분석을 통해 서로 다른 수리 조건에 대한 이해도를 높일 수 있었다.
4. 결 론
팔당호를 포함하고 있는 한강에서도 성층화로 인한 녹조나 탁수등 많은 수환경 문제가 발생되고 지속되고 있다. 특히나 팔당호는 3개의 유입하천과 지형적 특성, 수리구조물의 운영으로 인해서 복잡한 수체가 관찰되는 곳이다. 하천의 정보는 국가측정망을 통해서 확인할 수 있지만 지점측정 방식으로 인해 위치나 운영방식이 달라 통일된 자료라 판단하기 어렵다. 하지만 팔당호와 같은 복잡한 수체가 관찰되는 곳에서는 측정망자료 뿐만 아니라 수리 수질 모니터링을 통한 현장모니터링자료와 연계한 분석이 필요하다고 판단되어 진행하였다. 팔당호를 포함한 3개의 유입하천과 팔당호를 ADCP와 YSI 센서를 이용하여 하천을 횡단하며 수표면과 연직방향의 모니터링을 진행하였다. 모니터링자료를 통해서 북한강과 남한강, 경안천, 팔당호의 성층현상과 팔당호의 수체흐름 확인하였다. 북한강과 남한강의 전기전도도가 상층·중층·하층에서도 차이가 나는 것을 그래프를 통해서 확인할 수 있었다. 단면 공간보간 자료를 이용하여 북한강과 남한강의 성층현상을 시각적으로 확인하였다. CASE별로 정리 하자면 CASE1에서는 수리구조물 운영으로 인한 북한강 하상부근에 남한강의 연행현상이 관측되었다. 이는 북한강 상류 청평댐의 발전방류로 인해 남한강의 유입이라고 판단된다. CASE2에서는 CASE1과 반대로 청평댐의 방류량 증가와 발전방류형태가 아닌 상시방류의 효과로 북한강에서의 흐름이 정상화되며, 발전방류형태에서 보였던 남한강 유입현상이 사라지는 효과를 볼 수 있었다. 또한, 측정망자료와 연계분석을 통해서 유황조건에서 팔당호의 성층현상을 관찰하고 그에 따른 수표면과 하상의 수질농도 및 수체 흐름구조를 해석하였다, 팔당호와 같이 복잡한 수체 흐름특성이 있는 하천의 경우 시공간적 자료를 확인할 수 있도록 수표면자료 뿐아니라 연직자료를 같이 이용하여 진행이 필요하다. 이처럼 하천의 성층흐름구조를 면밀히 파악한다면 효율적인 호 내 관리와 수리구조물의 운영방안으로 활용될 수 있을 것이라 사료된다.















