1. 서 론
2. 연구 방법 및 모형 개요
2.1 연구 방법
2.2 모형 개요
3. 모형의 적용
3.1 대상유역 현황
3.2 기상 및 지형 자료 구축
3.3 모형의 적용 결과
4. 결론 및 토의
1. 서 론
지구온난화로 인해 발생한 기후변화는 지역별 강수량, 유출량 및 증발산량을 변화시켜 예외적이던 홍수 및 가뭄 등의 발생빈도 및 강도를 증가시켰다. 이에 우리나라는 기후변화로 인한 수재해 대응을 위하여 국가 차원의 수자원장기종합계획을 수립하고 있으며, 국가하천 및 다목적 댐 등의 유출량과 유입량을 관측하고 예측한 후 유역을 대표할 수 있는 유량지속곡선 등을 만들어 대비 및 대응을 위한 지표로 활용하고 있다(MOLIT, 2000). 유량지속곡선은 유황곡선이라고도 불리며, 수자원 관리에 있어 활용성이 높다. 유량지속곡선을 만들기 위해서는 장기간의 자연유출량 자료가 필요하나 하천의 유속을 상시 관측하는 것은 현실적으로 불가능하므로 다양한 방법으로 유량을 추정한다(Choi et al., 2021a). 일반적으로 강우-유출 모형으로부터 도출된 약 30년 이상의 일유량 자료를 이용하여 유량지속곡선을 산정하고 있으며, 미계측 유역의 경우 비유량법 및 강우-유출 모형 매개변수의 지역화 등의 방법론을 사용하여 추정한다(KRIHS, 2020; Choi et al., 2021b).
유역 기반의 강우-유출 모형으로는 SWAT, TANK, SSAR, RRFS, HSPF 등이 있으며, SWAT (Soil Water Assessment Tool)의 경우 강우, 유출, 침투, 증발과 관련된 수문 성분의 미세한 조정이 가능하여 실측값과 높은 상관성을 가지는 유량지속곡선을 도출할 수 있는 것으로 나타났다(Han et al., 2016; Kim and Kim, 2012). SWAT 모형을 이용한 유출량 분석 연구는 국내외 많은 유역에서 이루어졌으며, 다양한 환경에서 신뢰도가 검증되었다. 국내에서 SWAT이 적용된 유역은 한강유역, 금강유역, 소양강댐 상류유역, 충주댐 상류유역, 만경강 유역, 안성천 유역 및 금강유역으로 신뢰성 있는 장기유출량을 예측하고 매개변수를 최적화하여 수자원계획 수립에 필요한 유량지속곡선을 생성하였다(Kim et al., 2018; Kim and Kim, 2017, 2012; Park, 2009). 국외에서는 베트남, 이란, 중국, 인도, 콜롬비아, 벨기에 및 미국 등 전 세계의 다양한 환경의 유역에 대해 장기유출량을 예측하였으며, 수자원 및 물 가용성을 평가하였다(Le et al., 2020; Khalilian and Shahvari, 2019; Chen et al., 2019; Visakh et al., 2019; Hoyos et al., 2019; Sehgal and Sridhar, 2018; Leta and Bauwens, 2018).
최근에는 기존의 강우-유출 모형 이외에 시계열 데이터의 특성을 학습하여 예측하는 딥러닝 오픈소스 라이브러리가 공개됨에 따라 수자원 분야에서도 이를 이용한 시계열 예측 연구가 활발히 진행되고 있다(Lee and Jung, 2018). 딥러닝 알고리즘의 하나인 LSTM (Long Short-Term Memory)은 기존의 RNN (Recurrent Neural Network)의 시간 의존성 문제를 개선한 모형으로 구글의 텐서플로우와 결합하여 수문 분야에서 많이 사용되고 있다(Mok et al., 2020). 국내에서 Han et al. (2021)과 Mok et al. (2020)은 각각 소양강댐과 용담댐을 대상으로 댐 유입량을 예측하였으며, 이수기 수자원 관리를 위한 딥러닝 모형의 적용 가능성을 확인하였다. Jung et al. (2021)은 강수량과 수위자료를 바탕으로 섬진강 구례교 지점의 수위를 예측하고 정확도를 검증하였으며, Jung et al. (2018)은 팔당댐 방류량과 한강하구의 예측조위를 이용하여 한강 잠수교의 수위를 예측하였으며, Yang et al. (2021)은 강수량과 저수지 수위 관측 데이터를 이용하여 저수지 수위를 예측하여 용수 공급 관리를 위한 딥러닝 모형의 적용 가능성을 확인하였다. 국외에서는 미국(뉴잉글랜드 외 4개 유역), 중국(헤이허 강 유역, 펀허강 유역, 훈허 강 유역), 동남아 지역(메콩강 유역), 케냐(은조이아 강 유역) 등에서 LSTM을 이용하여 강우-유출량 예측이 이루어졌으며, 장기유출량 예측에 대한 LSTM의 높은 신뢰도를 검증하였다(Kratzert et al., 2018; Mao et al., 2021; Hu et al., 2018; Xu et al., 2020; Lee et al., 2020; Ouma et al., 2021).
본 연구는 기존에 국내외 다양한 유역에서 검증된 강우-유출 모형인 SWAT과 최근 제시된 빅데이터와 인공신경망을 결합한 LSTM networks 딥러닝 기법을 이용하여 유량지속곡선을 도출하고 실측값과 비교하여 수자원 분야에서 LSTM 기법의 활용 가능성을 평가하였다.
2. 연구 방법 및 모형 개요
2.1 연구 방법
유량지속곡선은 유황곡선이라고도 불리며, 하천의 전체 유량 조건에 대한 변화를 분석하기 위해 일정 주기로 측정된 유량을 시간적 순위와 관계없이 크기순으로 배열한 곡선이다(Shim et al., 2021). 서론에서 기술한 바와 같이 일반적으로 유량지속곡선을 만들기 위해서는 30년 이상의 자연유출량 자료가 필요하나 현실적으로 수위 및 유량을 상시 관측하는 것은 불가능하다. 특히, 국내의 하천의 경우 상류부에 보나 댐 등이 있는 유역이 많으며, 보나 댐 등에서 방류와 같은 인위적 행위로 인해 관측된 유량 값을 사용하지 못하는 경우가 많다. 한편 LSTM과 같은 시계열 데이터를 기반으로 하는 딥러닝 모형의 경우 결측치가 존재하는 경우 모형의 구동이 불가능하며, 결측치를 삭제하거나 대체하여야 하나 결측값을 제거할 경우 모델이 편향적으로 학습될 가능성이 있으며, 결측값을 대체하는 데는 많은 시간과 노력이 필요할 수 있다(Kim et al, 2021). 본 연구에서는 각 모형의 장점을 이용하여 이러한 한계점을 극복하였다. 즉, SWAT의 경우 모형의 입력자료로 사용되는 기상데이터만 있으면 유출량을 계산할 수 있으므로, SWAT의 매개변수 보정(Calibration)을 통해 장기간의 결측치 없는 데이터를 산출하고, 이를 LSTM 모형의 훈련(Training) 데이터로 활용하였다. 각각의 모형에서 도출된 결과를 실측값과 비교하였으며, 모형 보정 및 검정 전 구간에서 도출된 모형의 결과값들을 이용하여 유량지속곡선을 도출하고 실측값과 비교하였다(Fig. 1).
2.2 모형 개요
2.2.1 SWAT
SWAT은 Soil Water Assessment Tool의 약자로 미국 농업 연구청(USDA Agricultural Research. Service, ARS)의 Arnold 박사에 의해 개발되었으며, 다양한 토양, 토지이용을 가진 복잡한 유역의 수문·수질 변화 해석이 가능하다(Arnold et al., 1993). SWAT 모형은 서론에서 기술한 바와 같이 국내외 다양한 유역에서 적용성 및 정확성이 검증되어 본 연구에 적합한 모형으로 선정하였다.
SWAT은 1990년 초반 최초 개발 이후 94, 96, 98, 99, 2000, 2005, 2009, 2012로 업그레이드되었으며, 본 연구에서는 가장 최근의 2012 버전을 사용하였다. SWAT의 지표 수문 순환 로직은 Eq. (1)에 근거하여 강수, 증발산, 지표, 기저(지하수) 유출 및 하천으로의 회귀 수량을 정의하며, 이상의 수문 순환 과정을 수문학적 반응 단위(Hydrologic Response Unit, HRU) 별로 계산한다.
여기서, SWt는 토양수분량(mm), SW0는 일의 초기 토양수분량(mm), t는 시간(일), Rday는 일의 강수량(mm), Qsurf는 일의 지표 유출량(mm), Ea는 일의 증발산량(mm), 는 일의 침루량(mm), Qgw는 일의 회귀수량(mm)이다.
2.2.2 LSTM 기반 딥러닝 기법
LSTM은 시계열 데이터 처리에 효과적인 딥러닝(Deep Learning) 기법인 순환신경망(Recurrent Neural Network, RNN)을 기반으로 하며, RNN이 가지고 있는 기울기 소실과 폭주(Vanishing and Exploding gradient)의 문제를 해결하기 위해 Hochreiter and Schmidhuber (1997)가 제안하였다. LSTM은 수많은 셀(cell)로 구성되어 있으며, 각 셀에는 데이터 흐름을 조절하기 위한 입력 게이트(Input Gate, it), 망각 게이트(Forget Gate, ft) 및 출력 게이트(Output Gate, ot)로 구성된다(Fig. 2).
망각 게이트(ft)는 이전 셀(ct‒1)에서 들어온 정보를 매개변수와 시그모이드 함수(Sigmoid Function, )를 이용해 얼마나 잊을지 결정하게 된다(Eq. (2)).
여기서, ft는 (0, 1) 범위의 값을 가진 결과 벡터, 는 Sigmoid 활성 함수, Wf, Uf, bf는 망각 게이트에 대한 학습 가능한 매개변수 집합, xt는 현재 입력, ht‒1는 이전 스텝의 은닉상태이다.
입력 게이트(it)에서는 하이퍼볼릭 탄젠트(Hyperbolic Tangent, tanh)를 이용하여 새로운 셀의 업데이트시 사용되는 후보 셀()을 생성하고(Eq. (3)), 시그모이드 함수()를 이용해 어떤 정보를 업데이트 할지 결정하여(Eq. (4)), 최종적으로 현재의 셀 상태(ct)를 업데이트 한다(Eq. (5)).
여기서, 는 범위(-1, 1)의 값을 가진 벡터, Wc와 Uc는 각각 xt와 이전 스텝의 가중치, 는 학습 가능한 매개변수 집합이다. 또한, it는 범위 (0, 1)의 값을 가진 벡터, Wi, Ui, bi는 입력게이트에 대해 정의된 학습 가능한 파라미터 집합이며, ⊙는 원소별 곱셈을 나타낸다.
마지막으로 출력 게이트(ot)에서는 시그모이드 함수()를 이용해 셀 상태의 어느 부분을 출력하는지 결정하고(Eq. (6)), 하이퍼볼릭 탄젠트(Hyperbolic Tangent, tanh)를 이용하여 특정 시점의 상태(ht)를 업데이트하게 되어 기울기의 소실과 폭주 문제를 해결할 수 있다(Eq. (7)).
여기서, ot는 범위 (0, 1)의 값을 가진 벡터이며, Wo, Uo 및 bo는 출력 게이트에 대해 정의된 학습 가능한 파라미터의 집합이다.
2.2.3 모형의 평가 방법
물리적 기반의 강우-유출 모형과 데이터 기반의 딥러닝 기법의 성능 평가를 위해서는 다양한 통계적 평가 지표가 사용된다. 본 연구에서는 실측값과 모형 예측값과의 오차범위를 확인하기 위하여 평균절대오차(Mean Absolute Error)와 평균제곱근오차(Root Mean Square Error)를 선정하였으며, 모형에서 도출된 총합 값의 범위를 확인하기 위하여 PBIAS (Percent Bias)와 체적효율(Volume Efficiency)를 선정하였으며, 모형의 경향성 및 적합도를 확인하기 위하여 NSE (Nash-Sutcliffe Efficiency; Nash and Sutcliffe, 1970)와 결정계수(Coefficient of Determination)를 선정하였다.
평균절대오차(MAE)와 평균제곱근오차(RMSE)는 수문 모형의 예측값과 실측값 간의 오차를 비교하는 지표로 각각 Eqs. (8) and (9)와 같으며, 0에 근접할수록 실측값과의 오차가 적어 최적값을 보인다. PBIAS와 체적효율(VE)은 수문 모형의 참값과 예측값 간의 총합의 크기를 비교하는 지표로 각각 Eqs. (10) and (11)과 같이 계산되며, 0 (%)의 값에 가까울수록 최적값을 보인다. NSE와 결정계수(R2)는 각각 모형의 경향성 및 적합도를 비교하는 지표로 Eqs. (12) and (13)과 같이 계산되며, 1에 가까울수록 최적의 값을 보인다.
여기서, Qi는 실측 유출량(m3/sec), Si는 모형의 유출량(m3/sec), 와 는 각각 실측 유출량과 모형에서 도출된 유출량의 분석 기간별 평균값, n은 데이터 개수이다.
3. 모형의 적용
3.1 대상유역 현황
본 연구에서는 경상북도 예천군 예천읍 남본리 310-19(예천교)를 출구점으로 하는 한천의 상류부를 대상유역으로 선정하였다(Fig. 3). 예천교 수위관측지점은 환경부 산하 낙동강 홍수 통제소에서 관리하는 자동관측기기를 이용하여 1996년 1월부터 수위 관측이 이루어지고 있다. 조사 결과 오랜 기간 수위 관측이 이루어졌음에도 불구하고 유속 측정은 매년 이루어지지 않았으며, 최근 2002, 2004, 2007년의 수위-유량 관계곡선식이 있는 것으로 조사되었다. 본 연구에서는 제시된 수위-유량 관계곡선식을 이용하여 유출량을 추정하였으며, 수문조사연보에서 제시된 보 개방 시기의 자료는 결측 자료로 가정하였다.
3.2 기상 및 지형 자료 구축
SWAT의 매개변수 검·보정을 위해서는 입력 자료로 기상자료 및 지형자료가 필요하다. 기상자료의 경우 강수량, 최고온도, 최저온도, 습도, 일사량, 풍속, 평균습도 등의 기상자료가 필요하며, 본 연구에서는 대상 유역의 주 하천인 한천 기본계획 등 기존 문헌 조사 및 GIS 분석을 통해 유역에 가장 가까운 유인기상대인 영주 및 문경 관측소를 선정하였다. 선정된 관측소를 기준으로 티센면적비를 구하였으며, 이를 이용하여 대상유역의 2006.1.1.-2018.12.31의 기상자료를 구축하였다. 기상자료 구축 결과 대상 유역의 연평균 강수량은 1,275 mm, 최고기온은 30℃, 최저기온은 -8℃, 평균습도는 65%, 평균 풍속은 3 m/s로 조사되었다.
지형자료 구축을 위하여 수치지형도로부터 환경부 산하 예천 유량관측소를 출구점으로 하는 소유역 24개로 나누었다. Cellsize 5 m인 DEM (Digital Elevation Model)을 분석한 결과 대상 유역의 고도는 1,100 - 79 m로 나타났다(Fig. 4(a)). 농촌진흥청의 정밀토양도 분석 결과 대상 유역의 토양통 분포율은 SAMGAG (60%), SEOGTO (14%), SACHON (8%) 순으로 나타나 양호한 배수와 빠른 투수성을 가진 산악지형이 주를 이루는 것으로 조사되었다(Fig. 4(b)). 환경부의 중분류 토지이용도를 이용하여 분석한 결과 혼효림(67%), 밭(26%) 순으로 나타나 산림 및 밭이 많이 분포하고 있는 것으로 나타났다(Fig. 4(c)). SWAT은 준 분포형 모형으로 수문학적 반응 단위(Hydrogic Response Unit, HRU)를 기본단위로 분석하며, 본 연구에서는 Fig. 4(d)와 같이 2,274개의 HRU로 대상 유역을 구분하였다.
3.3 모형의 적용 결과
3.3.1 모형의 보정 및 검정 결과
SWAT의 매개변수 검·보정을 위하여 ’06년 1년의 기간을 모델 안정화(Warm-up) 기간으로 설정하였으며, 5년(’07년 - ’11년)의 보정 기간과 7년(’12년 - ’18년)의 검정 기간을 설정하였다. 또한, SWAT 매뉴얼상에서 지표 유출, 중간 유출 및 기저 유출에 영향을 미치는 매개변수 5개를 선정하여 매개변수를 보정하였다. 먼저 SWAT의 매개변수 초깃값을 이용하여 모형을 구동하였으며, 구동 결과 유출곡선의 첨두부를 감소시키기 위해 AMC-Ⅱ에서의 유출곡선지수인 CN2 값을 25% 감소시켰으며, 토양증발보상계수인 ESCO 값을 0.1로 낮추었다. 첨두부 보정이 이루어진 후 유출곡선의 감수부 흐름 보정을 위하여 지하수 지체시간을 의미하는 GW_DELAY 값을 80일로 증가시켰으며, 기저유출 감수상수를 뜻하는 ALPHA_ BF를 0.8일로 증가시키고, 기저유량에 대한 얕은 대수층의 임계 수분량을 의미하는 GWQMN 값을 2,000 mm로 조정하여 매개변수 보정을 완료하였다(Table 1, Fig. 5).
Table 1.
Selected value for explanation and calibration of SWAT model parameters
SWAT의 매개변수 보정 결과는 LSTM의 학습데이터로 활용하였으며, 학습 결과와 검증 결과를 관측값과 비교하였다. LSTM 모형은 파이썬의 Tensorflow를 활용하였으며, Kratzert et al. (2018)에서 제시한 시계열 분석 방법론을 이용하여 구축하였다. 이때, 학습데이터로 사용된 5년(’07년 - ’11년) 일별 유출량 자료는 0-1 사이의 min-max로 정규화하는 전처리 과정을 거쳐 사용하였으며, 입력 데이터는 SWAT 모형의 입력 자료로 구축된 강수량과 최고온도만을 이용하였다. 본 연구에서 구축된 LSTM은 은닉층 유닛(Hidden Unit) 30개와 출력층 유닛(Output Unit)은 1개로 구성하였으며, 학습 시간을 의미하는 시퀀스 길이(Sequence Length)는 30 일, 은닉층 크기(Hidden Dimension)는 1, 학습률(Learning Rate)은 최적화 함수(ADAptive Moment, Adam)의 기본값인 0.001을 사용했으며, 학습의 반복횟수(Iteration)는 얼리 스타핑 기법을 이용하였으며, 최종 학습횟수는 381번이다.
SWAT의 매개변수 검·보정 결과 도출된 시계열 그래프는 Fig. 5와 같으며, 일부 구간에서 관측값을 다소 과대 산정하는 것을 볼 수 있다. LSTM의 매개변수 검·보정 결과 도출된 시계열 그래프는 Fig. 6과 같으며, SWAT과 마찬가지로 관측값을 과대산정하고 있었으나 전체적으로SWAT에 비해 낮은 유출량 값을 가지는 것으로 나타났다. 이는 산점도 그래프에서도 확인할 수 있었으며, 전체적으로 LSTM의 경우 과소 평가하는 경향을 보이는 것으로 나타났다(Fig. 7). 통계적 지표를 이용하여 평가해본 결과 평균절대오차(MAE) 및 평균제곱근오차(RMSE)는 모형의 검·보정 전체 기간(’07-’18) 동안 SWAT의 결과값과 실측치와의 오차가 LSTM 보다 각각 0.55 m3/sec, 0.30 m3/sec 작게 도출되었으며, 모형 결과와 실측값과의 총합의 크기를 나타내는 편향(PBIAS)은 1.90% 낮게, 체적효율(VE)은 0.09 높게 나타났고 경향성을 나타내는 Nash-Sutcliffe 효율과 적합도 비교를 위한 결정계수는 각각 0.04, 0.03 높게 나타났다(Table 2).
Table 2.
Statistical index for SWAT & LSTM results (Discharge)
3.3.2 유량지속곡선 도출 결과
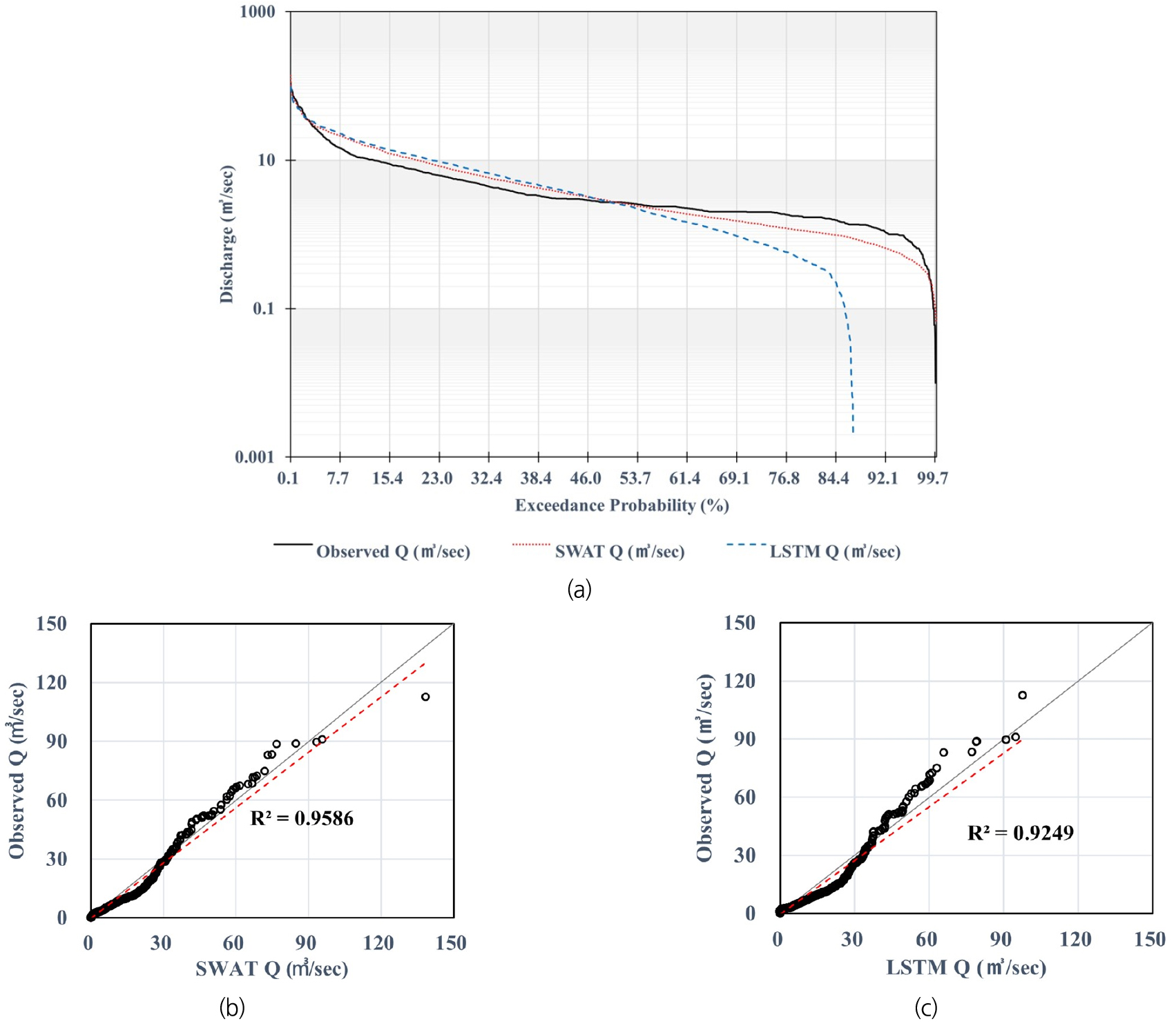
SWAT과 LSTM 모형을 이용하여 검·보정 전체 기간(’07 - ’18, 12년) 일별 유출량 자료를 도출하였으며, 이를 이용하여 유량지속곡선을 산정하였다. 유량지속곡선은 각 연도별로 내림차순 정렬된 값의 평균으로 산정하였으며, 시계열 그래프에서 보이는 바와 같이 SWAT은 최곳값을 다소 과대산정하였으며, LSTM의 경우 최곳값을 과소 산정하는 것으로 나타나 상반된 결과를 나타내었다(Figs. 8(a)~8(c)). 유황분석 결과 SWAT은 실측치와 오차범위 내에서 절댓값이 유사하게 나타났으며, LSTM의 경우 저수량, 갈수량 부근에서 과소평가하는 것으로 나타났다(Table 3). 향후 LSTM 모형의 입력자료 추가 및 다양한 학습방법을 이용한 매개변수 보정을 통해 저유량 부분 모의의 정확도 개선이 필요하다. 통곗값을 이용하여 분석한 결과 평균절대오차(MAE) 및 평균제곱근오차(RMSE)는 SWAT의 결과가 LSTM 보다 각각 0.73 m3/sec, 0.75 m3/sec 작게 도출되었고, 편향(PBIAS)은 1.90% 낮게, 체적효율(VE)은 0.12 높게 나타났으며, Nash-Sutcliffe 효율과 결정계수는 각각 0.04 높게 도출되었다(Table 4).
Table 3.
Flow value for exceedance probability using SWAT and LSTM
Table 4.
Statistical index for SWAT & LSTM results (Flow Duration Curve)
4. 결론 및 토의
기후변화로 인한 수재해 대비 및 대응을 위해서는 유량지속곡선이 필요하나 기존에 일반적으로 사용되는 물리적 기반의 강우-유출 모형의 경우 입력 자료 구축 및 구동에 시간이 오래 걸리며 모형의 매개변수 검·보정에 사용자의 높은 이해도가 요구되는 등 한계가 있다. 반면 최근에 개발된 데이터 기반 딥러닝 기법의 경우 입력 자료가 간단하며, 모형 구동 시간이 비교적 짧지만, 예측력이 높은 장점이 있다. 본 연구에서는 기존 강우-유출 모형으로 많이 사용되고 있는 SWAT과 LSTM 기법을 이용하여 유량지속곡선을 도출하였으며, 이를 실측값과 비교하여 LSTM 기법의 활용 가능성을 평가하였다. 본 연구의 결과 및 시사점은 다음과 같다.
1) SWAT 구동을 위해서는 GIS 기반의 DEM과 토양도, 토지이용도 및 기상자료(최고온도, 최저온도, 강수량, 풍속, 상대습도, 일사량)가 필요하며, LSTM 기법의 입력 변수로는 최고온도 및 강수량만을 사용하여 모형의 구축에 걸리는 시간이 상대적으로 적게 들었다. 또한, SWAT의 경우 지표 유출, 토양수, 지하수 침투 및 증발산에 관련된 다양한 매개변수 보정을 통해 정밀하게 모의할 수 있으나 사용자의 높은 이해도를 요구하며, 블랙박스 모형인 LSTM 대비 매개변수 검·보정에 많은 시간이 필요한 것으로 나타났다.
2) SWAT과 LSTM의 객관적인 평가를 위해 다양한 통계적 지표를 이용하였다. 모형의 결과와 실측값의 평균절대오차(MAE) 및 평균제곱근오차(RMSE)는 모형의 검·보정 전체 기간(’07 - ’18) 동안 SWAT의 결과가 LSTM 보다 각각 0.55 m3/sec, 0.30 m3/sec 작게 도출되었다. 모형 결과와 실측값과의 총합의 크기를 나타내는 편향(PBIAS)은 1.90% 낮게, 체적효율(VE)은 0.09 높게 나타났으며, 경향성을 나타내는 Nash-Sutcliffe 효율과 적합도 비교를 위한 결정계수는 각각 0.04, 0.03 높게 도출되어 SWAT의 결과가 LSTM보다 전반적으로 우수한 것으로 나타났다.
3) SWAT과 LSTM 모형을 이용해 도출된 대상 기간(’07 - ’18, 12년) 일단위 유출량 자료를 이용하여 유량지속곡선을 산정하였으며, 실측값과 시계열 그래프를 비교해 본 결과 LSTM의 경우 홍수량과 갈수량 모두 과소평가하는 경향을 보였다. SWAT의 경우 매개변수 보정시 유출량의 첨두부와 감수부의 미세 보정이 가능하여 실측치와 유사한 결과를 보이고 있었으나 LSTM의 경우 블랙박스 모형으로 보정이 불가능해 유량지속곡선의 정밀한 시계열을 산출하기에는 한계가 있는 것으로 나타났다.
4) 모형의 결과와 실측값을 평가해본 결과 평균절대오차(MAE) 및 평균제곱근오차(RMSE)는 SWAT의 결과가 LSTM 보다 각각 0.73 m3/sec, 0.75 m3/sec 작게 도출되었다. 편향(PBIAS)은 1.90% 낮게, 체적효율(VE)은 0.12 높게 나타났으며, Nash-Sutcliffe 효율과 결정계수는 각각 0.04 높게 도출되어 통계 지표상 차이가 SWAT과 비교하여 비교적 크지 않은 것으로 나타났으며 LSTM의 결과를 충분히 활용할 수 있을 것으로 판단되었다.
5) 데이터 기반 딥러닝 기법의 경우 다양한 입력 변수 및 학습방식에 따라 예측 정확도 달라지며, 추후 홍수기, 갈수기 등에 적합한 최적 학습변수를 도출하여 모형의 정확도를 향상한다면 더욱 신뢰도 높은 유량지속곡선을 산정할 수 있을 것으로 기대되며, 이에 관한 후속 연구가 필요할 것으로 판단된다.
우리나라의 경우 30년 이상 장기간의 유출량 데이터가 구축되지 않은 유역이 많으며, 완전 미계측 유역의 경우 유출량을 산정하기 위해서 비유량법 및 강우-유출 모형 매개변수의 지역화 등의 방법론을 사용하고 있으나, 신뢰도가 보장되지 않는 문제점이 있다. 본 연구에서 사용된 LSTM 기법의 경우 비교적 간단한 입력 자료를 이용하였지만, 실측값과 높은 상관성을 보임에 따라 방대한 입력 자료로 인해 모형 구축 및 구동에 시간이 오래 걸리는 대유역과 입력 자료가 부족하거나 기간이 짧은 미계측 유역 등에 활용성이 높을 것으로 판단된다.










