1. 서 론
2. 이론적 배경
2.1 도달시간의 개념과 다양한 산정법
2.2 DMCA 기법의 소개
2.3 DMCA 기법의 도달시간 적용원리
3. DMCA 기법의 검증 및 적용
3.1 가상유역을 이용한 DMCA 기법의 유효성 검증
3.2 대상유역의 선정 및 자료의 수집과 보정
3.3DMCA 기법을 이용한 소양강 중권역에서의 도달시간 산정
4. 결 론
1. 서 론
시스템에서 입력으로 인해 출력이 발생되기까지의 시간은 응답시간(response time)이라 명명되며, 수자원 분야에서 강우에 대한 유역의 반응으로 나타나는 첨두유출량의 응답시간은 도달시간(time of concentration)으로 명명되어 사용되고 있다(WMO, 1974). 도달시간은 하천기본계획과 같은 수자원 계획의 수립이나 기후변화로 인한 홍수 및 가뭄의 분석에 이르기까지 수자원공학 전 분야에 걸쳐 활용되므로 첨두유출량과 함께 수공구조물의 설계와 운영에 있어 객관적이고 신뢰성 높게 산정될 필요가 있다. 특히 최근의 도시침수는 작은 도시유역 내 배수시스템의 문제로 인해 발생되는 경우가 많고, 작은 유역일수록 도달시간의 선정은 하수관거의 용량 설계에 큰 영향을 미치므로 불확실성이 최대한 저감될 필요가 있다.
도달시간은 1800년대 중반부터 개념이 정의되어 현재에도 다양한 산정공식들이 사용되고 있으나, 각각의 개념이 가지는 단점은 개선될 필요가 있다(Grimaldi et al., 2012; Beven, 2020). 도달시간은 1800년대 중반에는 하천유로의 길이와 흐름의 속도를 이용하여 시간을 산정하는 물리학적 기반의 산정방식이 주로 이용되었고, 1900년대 중반부터 현재까지는 유역의 지형적 특징인 하천유로의 길이와 하천바닥의 경사를 지구물리학적으로 추출하여 통계학적 기법인 회귀분석 결과를 이용하는 산정방식이 이용되고 있다(Mulvany, 1851; Imbeaux, 1892; Sherman, 1932).
Grimaldi et al. (2012)은 동일 유역에 대한 기존 도달시간 산정식들의 적용결과가 500% 이상의 차이를 보이고 있음을 제시하고 이로부터 기존 도달시간 산정식들에 따른 산정결과의 선정에 있어 문제점이 있음을 제시하였다. 따라서 본 연구에서는 Giani et al. (2020)이 제안한 DMCA (Detrending Moving-average Cross-correlation Analysis)라는 통계적 기법을 소개하고 이를 소양강 중권역에 시험 적용함으로써 그 결과를 기존 도달시간 공식과 비교하는 연구를 수행하였다.
2. 이론적 배경
2.1 도달시간의 개념과 다양한 산정법
Mulvany (1851)는 일정한 강우가 지속된다는 가정하에 더 이상의 유출이 증가되지 않는 시점을 홍수발생의 최대시간으로 선정하여 합리식을 구성하였는데, 이때 사용된 최대시간이 최초로 사용된 도달시간의 개념으로 추정된다. Mulvany (1851)가 제안한 최초의 도달시간 연구에 이어 Kuichling (1889)와 Meyer (1917)는 유역 내 불균형하게 발생된 강우로부터 첨두유출량이 발생될 때, 유역의 가장 먼 곳부터 관측이 가능한 출구 지점까지 유량이 도달하는데 필요한 시간이 도달시간이라는 개념을 기술하였다. 이에 따라 도달시간의 개념은 주로 도시 하수관거에서 측정된 유체의 속도(velocity)와 관거의 길이를 이용하여 도시 내 하수관거 설계와 관련된 연구에서 응용되기 시작하였으며 이후 더욱 복잡한 유역의 구성 요소를 고려한 연구결과들이 제시되었다.
Imbeaux (1892), Ross (1921), Zoch (1934), 및 Richards (1944)는 속도와 거리를 이용하는 방식을 이용하여 Fig. 1과 같은 등시간선(isochrones)을 작성하고 유출구로부터의 홍수 발생특성을 분석한 바 있다. 특히 WMO (1974)는 유역의 출구로부터 가장 멀리 떨어진 지점에 내린 강우가 유역의 출구까지 흐르는 거리와 속도(velocity)를 이용하여 이로부터 구해진 시간으로 도달시간을 정의한 바 있다. 그러나 Beven (2020)은 강우로 인해 유역에 발생된 물은 개별적인 입자의 형태로 존재하여 유출구까지 이동되지 않고, 특히 홍수 시에는 파동의 형태로 유출구까지 이동되므로 WMO (1974)가 제시한 물 개별입자 또는 분자의 속도(velocity)를 이용한 도달시간의 정의는 유효하지 않으며, 홍수파의 속도(celerity)로 대체되어야 하므로 이러한 개념이 폐기되어야 함을 주장하기도 하였다.
등시간선을 이용한 도달시간 산정방식의 단점은 1900년 초반에 단위유량도의 개발로 개선되었다. 단위유량도는 Sherman (1932)에 의해 최초로 제안되고 Snyder (1938), Clark (1945), O’Kelly (1955), Dooge (1959), Morgali and Linsley (1965), Eagleson (1970), Beven (1979, 1981)에 의해 합성단위유량도(synthetic unit hydrograph) 이론으로 발전되어 지금도 미계측유역에서는 합성단위유량도를 사용하여 수공구조물을 설계하는 경우가 매우 많다.
합성단위유량도의 작성에 있어 도달시간은 강우의 질량중심부터 첨두유출량의 발생시점까지의 시간으로 정의된다. 단위유량도 작성에 있어 도달시간의 산정은 매우 중요한 과정이며, 이를 산정하기 위한 다양한 산정식들은 합성단위유량도를 제안한 연구자들(Snyder, 1938; Clark, 1945; Kerby, 1959)에 따라 제안되어 사용되고 있다. 유역면적이나 유로연장 등을 이용한 회귀분석(regression analysis)에 기반한 도달시간 산정식들은 비록 여러 개의 산정식들이 존재하기는 하지만, 기존의 등시간선을 이용한 방법보다 객관적인 것으로 판단되고 특히 미계측 유역에 대해서도 적용가능하다는 점에 있어 현재에도 주로 활용되고 있다.
우리나라에서는 도달시간을 하천이나 우수관거까지 도착하는데 필요한 시간인 유입시간과 하천이나 우수관거를 통해 유역의 출구까지 흐르는데 필요한 시간인 유하시간을 각각 산정하여 그 합을 도달시간으로 이용한다(Lee, 2006). 이때 유입시간은 Kerby (1959)가 개발한 지표면 유출에 따른 공식이 사용되며, 유하시간은 Kirpich 공식, Rziha 공식, Kraven I, II 공식, 연속형 Kraven 공식 및 서경대 공식을 적용하고 비교함으로써 결정된다. 특히 홍수량산정 표준지침(ME, 2019)에서는 유입시간이 전체 도달시간에서 차지하는 비중이 크지 않다는 점과 하도의 시점이 축척에 따라 다르게 지정될 수 있다는 점을 감안하여 유하시간만을 추정하여 도달시간으로 사용하도록 정하고 있으며, 산정식으로는 서경대 공식을 사용하도록 하고 있다.
Table 1은 우리나라에서 주로 사용되는 도달시간 산정식을 나타낸다. 우리나라에서 주로 사용되고 있는 도달시간 산정식들은 하천유로의 길이()와 하천바닥의 경사()를 주요 인자로 사용하고 있는데 이로부터 이 식들이 Chezy의 평균유속공식()을 바탕으로 하고 있음을 알 수 있다. Yoo et al. (2019)은 Table 1에서 제시한 도달시간 산정식을 포함한 21개 도달시간과 홍수량 산정에 필요한 11개의 저류상수(storage coefficient) 산정식의 지수부분에 대한 분석을 통해 해당 산정식들이 난류 또는 층류에 근거하는 지를 분류하고 우리나라는 도달시간 산정식이 의 관계에 적합된다는 점을 제시한 바 있다.
Table 1.
Various formulas for estimating time of concentration in South Korea
| Names | Formulas | Remarks |
| Kirpich (1940) |
· Agricultural Area · Turbulent flow | |
| Rziha (1876) |
· Upstream to natural river (≥1/200) · Turbulent & laminar flow | |
| Kraven I (JSCE, 1999) |
· Downstream to natural river (<1/200) · Turbulent flow | |
| Kraven II (JSCE, 1999) |
· <1/200: =2.1 m/s · 1/200≤≤1/100: =3.0 m/s · >1/100: =3.5 m/s · Turbulent flow | |
| Continuous Kraven (MOLIT, 2012) |
· >3/400: m/s · ≤3/400: , m/s | |
| Seokyeong University (ME, 2019) | · : Height from outlet to the farthest point |
2.2 DMCA 기법의 소개
Giani et al. (2020)은 도달시간의 정의 및 다양한 회귀분석 공식으로 인한 불확실성 문제를 개선하기 위하여 이동평균과 상관계수를 이용한 DMCA (Detrending Moving-average Cross-correlation Analysis)라는 통계적 자료 분석 방법을 제안하였다. 이 기법은 특정 시스템에서 입력변수로 인해 발생된 출력변수의 응답시간을 추정하기 위한 방법으로서 특히 입력변수가 많거나 시스템의 비선형성으로 인해 입력과 출력 간의 인과관계를 물리적으로 규명하기 어려운 경제학 분야에서 처음 개발되어 적용되었다. 최근 이 기법은 주가변동이 시작되는 시점이나 특정 경제정책의 시행으로 인한 물가의 변동시점을 예측하기 위해 효과적으로 이용될 수 있는 것으로 알려져 있다.
DMCA는 Vandewalle and Ausloos (1998)가 제안한 DMA (Detrending Moving Average) 기법과 이를 개선한 Alessio et al. (2002)의 연구결과를 조합하여 개선한 방법이다. 강우량 시계열과 유출량 시계열 같은 두 개의 시계열 자료, {}와 {}가 수집되면 다음 식과 같은 각각의 누적 시계열을 구성할 수 있다. 단, 여기서 두 개의 시계열은 같은 길이()와 같은 시간 간격을 가져야 한다.
Vandewalle and Ausloos (1998)는 DMA 기법을 제안함에 있어 다음의 두 개 변동함수(fluctuation function)를 제시하였다.
여기서, 𝜆는 항상 홀수로 결정되는 이동평균 창의 길이(moving average window length)이며, 𝜃는 이동평균의 종류로 전방은 𝜃=0, 중앙은 𝜃=0.5, 후방은 𝜃=1.0이다. 또한 와 는 특정시간 에서 이동평균 창의 길이가 𝜆인 특정 이동평균으로 다음의 식으로 계산된다.
위의 Eq. (2.1)과 Eq. (2.2)에서 제시된 변동함수를 이용한 분석을 DMA 분석이라고 하는데, 이를 이용하여 시계열 자료의 변동특성들을 추출할 수 있으며 이동평균의 창의 길이의 변화에 따른 시계열 자료의 변동특성도 추출할 수 있다.
He and Chen (2011)은 DMA 기법으로부터 두 개의 시계열 사이의 상관관계를 고려한 시계열을 통계적 변동 특성을 추출하기 위한 DMCA 기법을 제안하였다. DMCA 기법은 두 시계열 사이의 공분산을 고려하는 방법으로 다음의 Eq. (4)가 Eq. (2.1)과 Eq. (2.2)를 대신하며, Eq. (5)에 따른 DMCA 기법을 이용한 상관계수, 를 활용하여 두 시계열 사이의 입력과 출력 사이의 시간을 산정한다. 이 절에서 기술된 식들을 이용하여 입력에 따른 출력의 응답시간을 추정하는 방법은 다음 절에서 소개한다.
2.3 DMCA 기법의 도달시간 적용원리
이 절에서는 DMCA 기법의 작동원리가 수문학 분야의 도달시간 산정에 적용되는 과정을 단일 호우사상을 가정하여 설명하고자 한다. Fig. 2(a)과 같이 강우량 시계열은 유출량 시계열에 비해 매우 짧은 시간에 발생되고, 특히 유출량 시계열은 첨두유출량을 중심으로 상승부가 하강부보다 짧은 시간을 가지는 형상을 가지는 것이 일반적이다. 따라서 이와 같은 단일호우 사상은 Fig. 2(b)의 강우량 시계열(파랑색 실선)과 유출량 시계열(빨강색 실선)의 누가 시계열 자료로 표시될 수 있으며, 누가 강우량 시계열은 중심점을 기준으로 대칭되나 누가 유출량 시계열은 중심점을 기준으로 상승부의 기울기가 하강부의 기울기보다 급한 비대칭적인 형상으로 나타난다.
또한 특정한 이동평균 창의 길이, 𝜆를 이용해 산정된 누가 강우량 시계열의 이동평균(파랑색 점선)과 누가 유출량 시계열의 이동평균(빨강색 점선)은 Fig. 2(b)와 같이 얻어질 수 있다. 여기서, Fig. 2(b)에서의 (누가 강우량 시계열-누가 강우량 시계열의 이동평균) 및 (누가 유출량 시계열-누가 유출량 시계열의 이동평균)은 각각 Eq. (2.1)과 Eq. (2.2)의 변동함수들을 나타내는데, 이를 그림으로 나타내면 Figs. 2(c)~2(e)와 같다(강우량 변동함수: 파랑색 실선, 유출량 변동함수: 빨강색 실선).
Fig. 2(b)에 표시된 두 점은 강우량 시계열과 유출량 시계열 자료를 독립적인 자료인 상태에서의 각각의 시계열들의 질량중심이다. 그러나 도달시간은 두 시계열 자료가 서로 독립적인 상태가 아니라 유출량 시계열이 강우량 시계열에 의해 종속적인 상태인 이변수 상태를 고려해야 하고, 따라서 Eq. (4)와 같은 이변수 변동함수가 활용된다.
두 시계열을 동시에 고려하는 이변수 변동함수로부터 도달시간을 산정하기 위해서는 입력 시계열과 출력 시계열의 상관계수가 가장 클 때의 경우를 고려해야 한다. 즉 Eq. (5)가 +1에 가까운 값을 가지거나 -1에 가까운 값을 가지는 경우를 고려해야 한다. 강우량 시계열에 대한 반응으로 발생된 유출량 시계열이 동시에 발생된다면, 두 시계열은 특정 시간에 대해 동일한 형상의 변동함수를 가지게 되므로 궁극적으로 이변수 변동함수의 값은 양의 부호를 가지게 된다. 따라서 +1에 가까운 값에 대한 경우는 강우에 대한 유출의 반응이 너무 빨라 도달시간으로 고려될 수 없으며, 두 시계열을 이용한 Eq. (5)의 값이 -1에 가까운 경우에 대해서만 도달시간이 산정될 수 있다.
이 경우에 대하여 도달시간을 산정하기 위하여 최소 이동평균의 길이, 는 Eq. (5)에서 제안된 의 값을 이용하여 결정될 수 있으며, Figs. 2(c)~2(e)로부터 다음의 세 가지 경우를 고려할 수 있다.
(1)𝜆의 길이가 너무 짧으면, Fig. 2(c)과 같이 두 시계열의 이동평균선의 기울기가 커지게 되고 중복되는 면적이 감소하므로, 궁극적으로 상승부의 기울기카 커지고 - 구간이 더 길어짐에 따라 은 0에 가까운 음수값을 가지게 되는 경우가 발생된다.
(2)𝜆의 길이가 너무 길면, Fig. 2(d)와 같이 누가 강우량 시계열 및 누가 유출량 시계열의 기울기가 작아지게 되어 같은 부호를 가지는 면적이 증가하게 되어 궁극적으로 값이 0에 가까운 양수값을 가지게 된다.
(3)의 값이 최소의 음수값을 가질 때의 이동평균 길이, 를 찾으면 Fig. 2(e)와 같은 형태의 변동함수를 얻을 수 있으며, 이러한 변동함수의 특성을 나타낼 때의 최소 이동평균 길이를 이용하면 가장 적절한 시스템의 응답시간을 산정할 수 있다.
즉 유출량 시계열이 처음 발생할 때 Eq. (4)에 따른 이변량 변동함수의 값이 음수라는 점을 고려하면, 강우량 시계열의 양의 변동과 유량 시계열의 음의 변동이 두 시계열의 질량중심 사이의 전체 시간 범위와 일치하는 경우는 이변량 변동함수 값이 극대화되고, Eq. (5)의 가 최소가 된다. 그리고 이는 두 시계열의 질량중심 사이의 시간의 2배, 즉 도달시간의 2배인 이동평균 창의 길이를 사용할 때만 발생될 수 있다.
이와 같은 특성을 이용하여 Giani et al. (2020)은 도달시간과 최소이동평균창의 길이의 관계를 로 정의하여 특정유역에서의 도달시간을 통계적 방법으로 추정하는 절차를 제안하였다.
3. DMCA 기법의 검증 및 적용
3.1 가상유역을 이용한 DMCA 기법의 유효성 검증
DMCA 기법에 따른 계산절차는 Matlab을 이용하여 코딩되었으며, 이 기법 및 작성된 코드의 이상 유무를 검증하기 위하여 Table 2의 인자들을 가지는 가상유역과 강우사상을 설정하였다. 가상유역 1은 유역면적이 100 km2인 비교적 적은 유역이며 도달시간은 2, 3, 4, 5 hr로 설정하였다. 가상유역 2는 유역면적이 500 km2인 비교적 큰 유역이며 도달시간은 3, 6, 7, 8, 9, 10 hr로 설정하였다. 또한 가상유역 3은 대상유역과 비슷한 면적을 가지는 2,000 km2의 면적과 도달시간 15, 16, 17, 18, 19, 20 hr로 설정하였다.
Table 2.
Validation of DMCA method
| Name | Area (km2) | CN | Time of Concentration (hr) |
| Basin 1 | 100 | 85 | 2, 3, 4, 5 |
| Basin 2 | 500 | 85 | 3, 6, 7, 8, 9, 10 |
| Basin 3 | 2,000 | 85 | 15, 16, 17, 18, 19, 20 |
세 유역 모두 선행강우로 인한 기저유출량은 발생하지 않도록 단순화시켰으며, CN은 85로 동일하게 설정하였다. 강우사상은 100 mm/h 1개와 100 mm/h의 강우강도를 가지는 강우사상 3개를 10시간 간격으로 배치하여 2개로 구분하여 도달시간 검증에 활용하였다. 앞에서 언급한 유역 3개, 유역별 도달시간 4개, 6개, 6개와 2개의 강우사상을 이용하여 Hec-hms 모형을 간략히 구축하고 Clark 합성단위유량도 방법을 이용하여 해당 입력자료에 대한 유출량을 산정하였다(Table 2).
Table 3에는 각각의 가상유역에 대해서 DMCA 기법을 이용하여 산정된 각각의 유역 및 강우사상에 대한 결과를 나타내었는데, Table 2에서 선정된 도달시간과 다른 도달시간이 산정된 경우는 밑줄과 함께 숫자를 굵게 표시하였다. DMCA 기법을 이용하여 주어진 도달시간에 대한 도달시간을 추정한 결과, 유역 1의 경우 강우사상의 개수와 상관없이 도달시간 5시간 이내에서 정확한 도달시간이 산정되었음을 알 수 있다. 그러나 유역 2의 경우 유역면적 증가에 따라 강우의 시간 간격인 10 hr에 근접하는 도달시간에서는 단순호우사상이 복합호우사상으로 이동평균되면서 DMCA에 의한 도달시간이 과대추정되는 결과를 얻을 수 있었다. 이와 같은 경향은 유역면적의 큰 Basin 3에 대해서도 동일하게 발생되었으나, 오차의 크기는 면적이 증가해도 증가하지 않음을 확인하였다. 이 같은 사항은 DMCA 기법을 적용하여 도달시간을 추정하는 경우에 입력자료를 사전에 확인할 필요가 있음을 나타내므로 DMCA 기법을 적용하기 위해서는 반드시 자료의 전처리 과정이 필요함을 알 수 있다.
Table 3.
Test results of DMCA code
| Name | # of rainfall events | Results of DMCA (hr) |
| Basin 1 | 1 | 2, 3, 4, 5 |
| 3 | 2, 3, 4, 5 | |
| Basin 2 | 1 | 3, 6, 7, 8, 9, 11 |
| 3 | 3, 6, 7, 8, 10, 13 | |
| Basin 3 | 1 | 15, 16, 17, 18, 20, 20 |
| 3 | 15, 16, 17, 18, 20, 21 |
3.2 대상유역의 선정 및 자료의 수집과 보정
본 연구에서는 Fig. 3과 같은 소양강 중권역에 대하여 DMCA 기법을 이용한 도달시간을 추정하였다. 도달시간은 댐의 운영이나 취수 등의 인간활동으로 인한 유량의 변동이 최대한 적은 자연유량을 활용하는 것이 바람직하므로 분석대상 지점의 상류에 비교적 인간의 활동이 적은 소양강 중권역(1012)을 대상유역으로 선정하였다.
소양강 중권역은 8개의 표준유역(내린천 상류, 내린천 하류, 방내천, 방태천, 소양강상류, 양구교수위표, 소양강댐 및 소양강댐 하류)으로 구성되나, 본 연구에서는 소양강댐 유입량 자료를 수집하여 사용하였으므로 8개 표준유역 중 소양강댐 하류 표준유역은 제외하고 도달시간을 선정하였다.
본 연구에서는 현리 강우관측소의 시강우량 자료를 2000년부터 2024년까지 수집하여 사용하였고, 결측된 강우는 인근 강우관측소 자료를 활용하여 보완하였다. 강우자료는 결측보완을 제외하고는 별도의 보정작업이 필요하지 않으나, 유입량 자료의 경우는 별도의 보정작업이 필요하다. 국가수자원종합관리시스템에서 제공되고 있는 다목적댐의 유입량자료는 측정된 자료가 아니라 저수위의 변동값과 방류량을 이용하여 역산된 자료이므로 강우가 없음에도 불구하고 상당한 크기의 유입량이 발생되는 경우가 있으며, 기저유출로 판단할 수 없을 만큼 큰 유입량이 존재하는 경우가 있다. 따라서 이 연구에서는 홍수기를 제외한 기간에서 10일 선행강우가 없음에도 500 m3/s 이상의 유량이 기록된 자료는 이상치로 판단하고 유입량을 0으로 보정하였으며, 유입량이 음수를 가지는 경우도 이상치로 판정하여 0으로 보정하였다.
DMCA 기법의 적용성 향상을 위해서는 유입량 자료의 정확도가 상당히 중요하므로 향후 연구에서는 유량 자료의 이상치 제거를 위하여 기저유출을 반영한 보정용 필터를 별도로 개발함으로써 유량 자료의 신뢰도를 제고할 필요가 있다. Fig. 4는 이 연구에서 사용된 최종 결측보완된 강우자료와 최종 보정된 유입량 자료를 나타낸 것이다.
3.3DMCA 기법을 이용한 소양강 중권역에서의 도달시간 산정
기존 하천기본계획에서 산정된 도달시간들은 이 연구에서 적용되는 DMCA 기법에 의한 도달시간 결과와 비교될 수 있으므로 중요한 정보이다. MOCT (2016)는 소양강 하류권역 하천기본계획(변경)에서 소양강 구간 전체에 대한 홍수량 산정을 수행하였다. 이 과업에서 제시하고 있는 주요 홍수량 산정 구간에 대한 정보는 Table 4와 같으며, 당시 기존 방법(Table 1)에 의해 산정된 도달시간은 Table 5와 같다. 단, 서경대 공식은 이 연구에서 추가로 계산되었고, Table 4에서 1번 산정구역은 소양강댐 하류에 위치하고 있어 이 연구의 총 도달시간 산정에서는 제외되었다.
Table 4.
Major information of the selected basin
Table 5.
Results of time of concentration (Interval 1-2 was excluded)
Table 5의 전체 도달시간 중 가장 큰 도달시간은 Rziha 공식에 의한 값으로 46.24 hr이며, 가장 작은 도달시간은 서경대 공식에 의한 값으로 10.20 hr으로 최대 도달시간은 최소 도달시간에 비해 4.53배 크다. 또한 6가지 방법에 의한 전체 도달시간의 평균은 22.61 hr이었고 편차는 14.63 hr으로 편차가 매우 크게 나타남을 알 수 있다. 따라서 도달시간은 홍수 시 첨두유량의 발생시점과 크기에 크게 영향을 미치는 중요한 수문학적 인자임에도 불구하고, 위의 결과로부터 국내에서 사용되고 있는 미계측유역에서의 합성단위유량도를 이용한 홍수량 산정절차에 사용되는 도달시간 공식은 불확실성이 매우 크다는 점을 알 수 있다.
이 같은 다양한 공식의 물리적 및 통계적 특성에 따라 산정되는 불확실성을 개선하기 위해서는 많은 가정을 필요로 하지 않는 자료분석 위주의 기법을 사용할 필요가 있는데, 본 연구에서는 그 중 하나로 DMCA 기법을 위와 동일한 소양강댐 유역에 적용하였다.
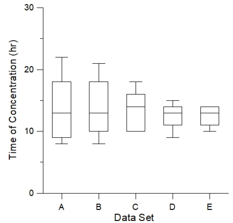
DMCA 기법을 이용한 도달시간 기법은 다양한 길이의 자료를 이용하므로 자료의 길이에 따른 DMCA 성능에 대한 유효성을 먼저 살펴볼 필요가 있다. 이를 위하여 이 연구에서는 DMCA 기법에 의한 도달시간 산정절차를 2000∼2024년까지 25개년의 시간당 강우량 및 유입량 자료에 적용함에 있어, 자료의 길이에 따른 불확실성을 편차의 변화를 통해 알아보았다. 두 자료는 모두 2년 이상의 자료를 연속하도록 구성하여 A세트(1년씩 25개), B세트(2년씩 24개), C세트(3년씩 23개), D세트(4년씩 22개), E세트(5년씩 21개), F세트(25년씩 1개)로 구분하였다.
Table 6은 자료의 길이에 따른 A∼F세트의 최저, 최고, 평균, 표준편차 및 95% 신뢰구간과 상한 및 하한의 차이를 추정한 결과이며 Fig. 5는 자료세트 별 사분위 도표이다. 자료의 최대 개수가 25개로 소표본에 해당되므로 정규분포가 아닌 Student-t 분포를 이용한 다음의 식을 이용하여 각각의 자료세트에 대한 평균의 신뢰구간을 추정하였다.
여기서 , 은 각각 자료의 개수와 표준편차이며 는 평균의 점추정 값이다.
Table 6.
Results of DMCA method
자료의 길이가 길어짐에 따라 DMCA 기법에 의한 평균은 다소 감소하였으나 크게 변화하지 않음을 알 수 있었으며, 자료의 길이가 길어질수록 편차와 95% 신뢰구간의 차이가 확연히 감소하고 있어 자료의 길이가 증가할수록 불확실성이 감소하고 있음을 알 수 있었다.
또한 5년 이상의 자료를 사용하는 경우 편차가 2시간 이내로 감소되므로 소양강 중권역에 DMCA 기법을 적용하는 경우 5년 이상의 자료를 사용하는 것이 바람직함을 제안할 수 있었다. 자료의 길이에 따른 불확실성 감소에 대한 분석결과는 Giani et al. (2020)의 결과와 유사하였다. 그러나 도달시간이 증가할수록 자료의 길이가 증가해야 한다는 기존 연구결과가 있으므로 향후 연구에서는 더 많은 지점과 다양한 유역면적에 대한 DMCA 적용을 통해 더욱 상세한 국내 적용성을 분석할 필요가 있다.
DMCA 기법의 도달시간 추정결과와 기존 도달시간 공식들의 결과를 비교하여 어떤 결과가 가장 정확한지를 결정하기 위한 연구 방향은 현재에도 높은 불확실성으로 결정이 어려운 도달시간의 선정에 어려움을 더하는 방식이다. 특히 특정 유역의 도달시간은 다수의 시험유역 등을 통해 계측한 신뢰도 높은 결과가 없는 경우가 많아 정확한 도달시간의 결정은 매우 어렵거나 불가능할 수 있다.
따라서 도달시간은 다양한 방식을 통해 산정될 필요가 있으며 산정결과들을 종합적으로 판단하여 합리적인 범위를 제시하고, 그 범위 내에서 최종적으로 설계자의 주관적 경험이나 다수의 의견 수렴 등을 통해 결정하는 것이 바람직한 방향이라고 판단된다. 이 연구에서는 도달시간의 불확실성을 고려한 객관적인 범위를 제안하기 위한 연구 중 하나로 최근 수자원 분야에 적용된 DMCA 기법에 대한 이론적 배경을 소개하고, 이 기법의 검증과정과 소양강 중권역에 시범적으로 적용하였다. 이 연구를 통해 분석된 결과가 가지고 있는 제약점과 향후 연구사항들은 다음의 결론에 제시하였다.
4. 결 론
도달시간을 산정하기 위한 노력은 과거 많은 수문학자들에 의해 다양한 방법으로 연구되었으나 현재까지도 이론적인 부분부터 응용절차까지 불확실성과 관련된 문제가 제기된다. 따라서 본 연구에서는 큰 불확실성을 내포하고 있는 유출 해석의 핵심 인자인 도달시간(time of concentration)의 산정절차의 개선을 위하여 측정된 자료에만 기반한 DMCA 기법의 이론적 배경을 소개하고, 국내 유역에 시범적으로 적용한 결과를 제시하였다.
DMCA 기법은 입력과 출력의 두 개 시계열에 대한 이동평균과 상관성을 고려함으로써 두 시계열 자료 사이의 시간적 간격을 추정하기 위한 자료기반의 통계적 추정기법으로 경영/경제학 분야에서는 물리적 모형으로 추정이 어려운 자본시장에서 비선형시스템의 응답시간 추정을 위하여 사용되고 있다.
먼저 6개의 기존 도달시간 공식들을 소양강 중권역에 적용하였다. 그 결과 최대 도달시간(Rziha 공식)은 최소 도달시간(서경대 공식)에 비해 453% 과대 추정되었으며, 6개 도달시간 공식에 의한 평균 도달시간은 22.61 hr이었고 편차는 14.63 hr으로 편차가 매우 컸다. 이러한 높은 불확실성은 도달시간이 가지고 있는 수문학적 중요성을 고려할 때, 향후 불확실성의 범위를 감소시키기 위한 다양한 연구가 수행되어야 함을 보여주었다.
DMCA 기법을 이용함에 있어 자료의 길이에 따라 추정결과가 다르게 나타날 수 있으므로 자료의 길이가 다른 1년, 2년, 3년, 4년, 5년 및 25년의 5개 자료세트를 구성하였다. 각각의 자료세트에 대한 분석결과 자료의 길이가 5년 이상인 경우 편차와 신뢰구간이 상당히 감소됨을 알 수 있었으며, 이를 통해 DMCA 기법을 이용한 도달시간 산정절차가 향후 객관적인 도달시간의 범위를 제안함에 효율적으로 이용될 수 있음을 알 수 있었다.
이 연구의 중심은 DMCA 기법의 이론적 배경의 소개와 국내 시범적용에 있으므로, 기존 방법들과의 직접적인 비교는 제시하지 않았으며 각각의 적용결과에 대해서만 분석결과를 제시하였다. 다음에는 이 연구결과의 제약점 및 향후 연구에 필요한 사항을 기술하였다.
(1) 이 연구결과는 DMCA 기법이 기존 도달시간 공식보다 우수하다는 결과를 보여주지는 않는다. 이 연구는 DMCA 기법의 도입이 특정 유역에서 가장 정확한 도달시간을 산정하기 위함이 아니라, 설계자가 도달시간의 합리적인 범위를 제공받고 이를 통해 가장 적절한 도달시간을 채택하여 사용할 수 있도록 하는 절차를 향후 제안하기 위함이다.
(2) 이 연구결과를 통해 분석된 DMCA 기법의 불확실성은 사용된 자료의 길이에 따른 분석만 수행되었으므로, 기존 도달공식의 불확실성과 직접적으로 비교될 수 없다. 이를 위해서 국내 다양한 지점에 대한 추가적인 분석이 수행 중에 있으며, 향후 이를 통해 DMCA 기법이 가지는 장점과 유역의 면적 등에 따른 유역특성별 불확실성의 변동특성을 제공할 수 있을 것으로 판단된다.
(3) DMCA 기법은 강우량과 유출량 자료만을 사용하므로 자료의 선정이 신뢰도에 매우 큰 영향을 줄 수 있다. 따라서 향후 유출지점에 영향을 미치는 강우관측소의 추가에 따른 영향 및 유역평균강우량을 사용하는 경우를 분석함으로써 강우량 자료의 선정에 따른 결과를 비교할 필요가 있다.
(4) 또한 DMCA 기법의 적용에 있어서는 유출량 자료의 신뢰도가 강우량 자료의 신뢰도보다 중요하다고 볼 수 있다. 따라서 유출량자료는 기저유출을 고려함과 동시에 불필요하게 인입된 이상치 또는 잡음을 제거할 수 있는 별도의 필터를 개발함으로써 첨두유출량 및 첨두유출량 발생시각에 대한 신뢰도를 제고시킬 필요가 있다.
(5) DMCA 기법에 의해 추정되는 도달시간은 측정자료의 시간 간격보다 작은 시간로는 추정될 수 없다. 따라서 유역이 작은 경우는 1시간 간격보다 작은 시간 간격의 관측자료가 사용되어야 보다 정확한 도달시간을 추정할 수 있다는 한계가 있어 향후 이를 개선하기 위한 관측자료 측면의 개선이 필요하다.
마지막으로, DMCA 기법은 최근 개발되고 있는 다양한 센서 및 인공지능을 활용한 자료분석 기술을 활용할 수 있다. 최근의 해당 분야 기술발전을 고려하면 DMCA 기법을 이용한 도달시간의 산정은 유출량 모의에 있어 불확실성을 개선할 수 있으며, 이 결과들을 활용하면 향후에는 미계측 유역에서의 도달시간 공식의 개선에도 영향을 미칠 수 있을 것이다.







