1. 서 론
2. 이론적 배경
2.1 가뭄의 정의 및 가뭄빈도분석
2.2 시계열 모델링
2.2.1 Autoregressive (AR) model
2.2.2 Gamma autoregressive (GAR) model
2.2.3 Copula-based autoregressive (CAR) model
3. 대상유역 및 분석자료
4. 분석결과
5. 논 의
6. 요약 및 결론
1. 서 론
전 세계적으로 가뭄재해는 사회·경제적으로 극심한 피해를 유발시키는 자연재해로 분류되고 있으며 기후변화로 인한 비정상적인 대기 및 해양환경 패턴의 변화가 가뭄의 발생 가능성을 높이고 있다(Hanson and Weltzin, 2000; Yoo et al., 2010). 하지만, 가뭄은 홍수재해에 비해 장기간 동안 광범위한 지역에 점진적인 피해를 유발하는 특징을 갖고 있어 이에 대한 전망 및 감시가 어렵고 피해완화 차원의 대처가 미흡한 실정이다(Son et al., 2011; Lee et al., 2012). 따라서, 실제 가뭄을 대응하고 관리하기 위해서는 가뭄을 정량적으로 평가하는 연구가 선행되어야 한다.
이를 위해 전세계적으로 다양한 가뭄지수를 개발하고 활용하는 연구가 다수 진행되어 왔다(Palmer, 1965; Shafer and Dezman, 1982; McKee et al., 1993; Du Pisani et al., 1998; Heim Jr., 2002; Keyantash and Dracup, 2002). 가뭄지수 개발 및 활용연구와 관련하여 Byun and Wilhite (1999)은 과거 많은 연구에서 제시된 가뭄지수들의 장단점을 분석하고 일 단위 강수자료를 활용하여 가뭄의 강도 및 기간을 결정하고 가뭄을 실시간 평가할 수 있는 가뭄지수인 Effective Drought Index (EDI)를 개발하였으며 Ryu et al. (2002)은 기상학적 가뭄지수인 Standard Precipitation Index (SPI) 및 Palmer Drought Severity Index (PDSI)와 수문학적 가뭄지수인 Surface Water Supply Index (SWSI)를 남한지역에 적용하고 가뭄지수간의 정량적인 비교 연구를 수행한 바 있으며, Keyantash and Dracup (2004)은 주성분 분석을 수행하여 강수량, 유출량 및 토양수분량을 통합하여 Aggregate Drought Index (ADI)라는 가뭄지수를 개발한 바 있다. 또한, Kwon et al. (2006)은 가뭄에 영향을 미치는 수문인자의 종류에 따라 전국을 세분화하였고 지하수위 인자를 SWSI에 보완하여 Modified Surface Water Supply Index (MSWSI)를 제시한 바 있다. Kim et al. (2012)은 Standardized Precipitation Evapotranspiration Index (SPEI)를 이용하여 남한지역의 가뭄발생 변화를 평가한 바 있다. Hao and AghaKouchak (2013)은 결합분포함수를 이용하여 기상 및 농업적 가뭄을 결합한 Multivariate Standardized Drought Index (MSDI)를 개발하였다.
가뭄의 장기적인 예측과 관련하여 Lee and Kim (2013)은 3개의 Global Climate Model (GCM) 모델로부터 SPI를 전망하고 Severity-Duration-Frequency (SDF) 곡선을 유도 및 전망하였고 Kim et al. (2014)는 GCM 모델로 생산된 기상전망 자료와 SPI를 이용한 빈도해석을 통해 SDF 곡선을 유도하여 남한지역의 확률가뭄우심도를 작성하여 미래 가뭄에 취약한 지역을 제시한 바 있다. So et al. (2014)은 Copula 함수를 이용하여 이변량 결합가뭄지수를 생산하여 기존 단일변량 가뭄지수의 해석적 한계를 보완하기위해 노력하였다.
이처럼 대부분의 연구가 가뭄지수를 활용하여 현재 및 미래의 가뭄상태 모니터링에 집중되어 있다. 하지만, 가뭄지수의 경우 정량적인 여유수량 확보 및 가뭄의 발생 및 예상 시 댐 용수 제한·공급량 설정 등 실질적인 가뭄대책의 정량적인 기준으로 활용하는 데에는 한계가 있다. 따라서, 저수지 설계, 단일 댐 및 댐군의 운영 등 가뭄에 대비 및 대응을 위해서는 정량적인 빈도 개념의 기준이 필수적이다. 홍수재해의 경우 빈도개념을 도입하여 수공구조물을 설계 및 관리가 이루어지고 있다. 예를 들어 제방 설계 시 국가하천의 경우 200년, 지방하천은 50-80년, 소하천은 30년을 설계지침으로 명확히 제시되고 있다. 하지만, 가뭄의 경우 댐과 저수지 설계에 활용되는 이수안전도 평가방법(보장공급량, 신뢰도 등)이 존재하나 물 공급의 안전성에 대한 정책적 혹은 기술적으로 판단할 수 있는 지침 수준으로 활용되지는 못하는 실정이며 가뭄의 특성상 가뭄이 발생하기 전의 시기가 매우 중요하고 사전에 어떠한 기준을 통해 얼마나 가뭄에 대한 준비가 잘 수행되었느냐가 핵심임에 따라 정량적인 기준 정립을 위한 연구가 시급한 실정이다.
따라서, 본 연구에서는 가뭄을 지수화한 분석보다는 강우의 부족분을 통한 빈도개념을 도입하여 가뭄이 빈도에 따라 어떻게 표현될 수 있는지 현 가뭄상황을 중심으로 분석하였다. 향후 가뭄대책을 위한 빈도개념의 기준을 통해 댐이나 저수지와 같은 수공구조물을 설치 및 운영하게 된다면 현재보다 가뭄 취약성이 개선될 것으로 기대된다.
2. 이론적 배경
2.1 가뭄의 정의 및 가뭄빈도분석
Fig. 1에 나타난 바와 같이 가뭄을 연 강우의 임계치(
)에 대한 부족분들의 합으로 크게 가뭄의 지속기간(Duration, L)과 가뭄의 심도(Depth or severity, D)를 통해 표현하였으며 추가적으로 가뭄강도(I)는 가뭄의 심도에 대한 가뭄의 지속기간, 즉 I=D/L로 나타내었다(Yevjevich, 1967). 우리나라의 경우 일반적으로 장마가 시작되면서 가뭄이 해갈되는 경우가 대부분이므로 연 강우를 통해 가뭄을 정의하기 위해 연 강우자료를 장마가 시작되는 6월부터 다음해의 5월까지 월 강우자료를 합산하여 표현하였다.
가뭄의 통계학적 분석을 위해서는 가뭄 지속기간과 심도로 표현되는 이변량(bivariate) 형태로 분석이 수행되어야 하며 빈도해석을 위해서는 우선적으로 초과확률에 대한 산정이 필요하다. 따라서, 본 연구에서는 Salas et al. (2005)에서 적용한 형태로 가뭄의 초과확률을 산정하였다(Eqs. (1), (2)). 가뭄은 하나의 사건(Event)으로서 불확실성이 포함된 확률변수로 표현하고 이때 가뭄 지속기간이 결정되었을 때 L=l인
보다 큰 가뭄의 초과확률은 아래 Eq. (1)과 같고 가뭄 지속기간이 l 보다 클 확률은 Eq. (2)로 표현될 수 있다.
(1)
(2)
이를 수학적으로 계산하기 위해서는 가뭄 지속기간(L)과 가뭄심도(D)를 확률변수로 고려한 이변량 확률분포함수 (bivariate probability distribution) 형태로 표현이 가능하며 Eq. (3)과 같다.
(3)
여기서, fD|L(d,l)은 가뭄 지속기간(L)를 안다고 가정해졌을 때 가뭄심도(D)의 조건부확률분포이며 각각의 가뭄부족분 하나씩을 감마분포(Gam(r,
), 여기서 r,
는 감마분포의 매개변수이다.)로 가정하고 독립적이고 동일분포로 가정(i.e. identically independently distributed, iid)한다면 하나하나 부족분의 합이 되어 Eq. (4)와 같은 다른 매개변수를 가지는 감마분포로 표현할 수 있다(Guven, 1983; Shiau and Shen, 2001).
(4)
또한 가뭄 지속기간(L)에 대해서는 부족(0)과 과잉(1)의 발생확률로 고려하여, Markov Chain으로 가정하게 되면 가뭄 지속기간은 Eq. (5)와 같은 기하확률분포(geometric distribution)를 따르게 되며 Eq. (4)와 Eq. (5)를 이용하여 Eq. (3)를 정리하면 Eq. (6)과 같다. 여기서,
은 가뭄 지속기간(
)과 감마분포 매개변수(
)의 곱을 의미한다.
(5)
(6)
가뭄부족분의 이변량분포를 Eq. (7)과 같이 모든 가뭄 지속기간에 대하여 합산해 주면 가뭄심도(D)에 대한 주변확률분포를 구할 수 있다.
(7)
Eq. (1)과 Eq. (2)에 대해서 유도하면 각각 Eq. (8)과 Eq. (9)와 같이 표현할 수 있다.
(8)
(9)
재현기간은 이 초과확률의 역을 통해 계산할 수 있다(1/P). 추가적으로 재현기간 산정 시 가뭄이 오는데 걸리는 시간(interarrival time)을 고려해주어야 하며 이는 각 가뭄에 대해서 평균적으로 걸리는 시간으로 고려해 주거나(i.e. E[IT], expectation of interarrival time), 연 강수량의 부족기간과 과잉기간의 합으로 표현이 가능하다. 이를 통해 Eq. (1)과 Eq. (2)에 대한 가뭄의 재현 기간을 산정하면 Eq. (10), Eq. (11)과 같다.
(10)
(11)
실제로 재현기간은 관측된 자료를 통해 산정할 수 있으나 대부분 자료기간 대비 발생된 사건의 개수가 극소수여서 직접적으로 구하기는 어려운 단점이 있어 본 연구에서는 가뭄의 재현기간 값의 타당성 확보를 위해 간단한 시계열 모델(e.g. simple lag-1 order Autoregressive model)을 통해 장기간의 자료를 모의하여 가뭄사상에 대한 재현기간을 산정하였다(Eq. (12)).
(12)
여기서,
은 총 모의된 자료의 길이,
는 해당 가뭄사상(E, for example
)이 발생한 횟수를 의미한다.
2.2 시계열 모델링
Eq. (10)과 Eq. (11)로 산정된 재현기간의 결과를 비교 및 검토하고자 본 연구에서는 3가지 시계열 모델(Autoregressive (AR) model, Gamma autoregressive (GAR) model, Copula- based autoregressive (CAR) model)을 통해 장기간의 자료를 발생시키고 가뭄의 재현기간을 Eq. (12)를 통해 산정하였다. 추가적으로 우리나라의 연 강우자료는 큰 자기상관을 가지지 않으나 작은 상관성이라도 가뭄해석에서는 자기상관이 많은 영향을 주므로 Lag-1을 고려한 모델을 적용하였다.
2.2.1 Autoregressive (AR) model
자기상관 모델(AR model)은 전통적인 시계열 모델 중의 하나로서 자신의 이전상태에 대한 메모리를 바탕으로 이루어진 것으로 추계학적 확률변수 Xt에 대해서 가장 간단한 모델인 AR(1) model은 Eq. (13)으로 표현된다.
(13)
여기서, Xt는 평균
, 분산
인 정규분포를 따르며(i.e. N(
,
2)),
는 독립난수로서 분포는 N(0,(1-
2)
2)이다. Xt가 정규분포를 따르게 되나, 만일 원자료의 분포가 편향성(skewness)을 가질 경우 정규분포형태로 변환시키는 자료변화(Data transformation)을 해주어야 한다(Salas et al., 1980).
2.2.2 Gamma autoregressive (GAR) model
감마자기상관 모델(GAR model)은 전통적인 시계열 모델이 갖는 단점인 자료의 확률변수가 정규분포를 따른다는 가정을 극복하기 위해 제시된 모델로 Fernandez and Salas (1990)는 편향성을 가지고 있는 수문자료에 적용성이 용이함을 밝힌 바 있다. GAR(1) model은 Eq. (14)와 같이 표현되며
를 여러 개의 지수함수 분포로 모의된 값의 합으로 나타내어 자료의 확률변수가 편향된 감마분포를 가지는 시계열 자료를 생산해낼 수 있다.
(14)
2.2.3 Copula-based autoregressive (CAR) model
Copula를 기본으로 한 자기상관 모델(CAR model)은 Lee and Salas (2011)에 의해서 수문자료에 대한 적용의 유용성이 검증된 모델로서 자료의 확률변수가 정규분포나 감마분포로 한정되지 않아 어떤 형태의 확률분포형에도 적용이 가능하며 다양한 형태의 비선형적인 상관성도 고려할 수 있는 특징이 있다. 이는 Copula 함수가 가지는 특징을 이용하여 자기상관 모델을 구축함으로서 가능하다. Copula 함수는 Eq. (15)와 같이 정의된다.
(15)
여기서, F(x)=u, F(y)=v로 정의되며, u와 v에 대해 미분하게 되면 Eq. (16)과 같이 조건부 확률로 표현될 수 있다.
(16)
앞서 제시한 조건부 확률과 더불어 다음의 과정을 통해 장기간의 모의를 수행할 수 있었다.
1) 연 강우자료에 적절한 확률분포형을 결정하고 분포형의 매개변수를 추정하여 각 연도에 대한 누적분포함수(cumulative distribution function, cdf), F(Xt) 을 구한다. 이를 ut=F(Xt), t=1,…., N이라 하며 N은 자료길이를 의미한다.
2) NG길이의 모의를 수행한다면 u1에 대한 모의가 선행되는데 이때, cdf는 0에서 1사이인 uniform 분포를 통해 난수를 발생시키면 된다(i.e. u1~Unif[0,1]).
3) t=2,…, NG에 대해서는 ut-1을 v로 놓고
또한 cdf이므로
~Unif [0,1]로 난수를 발생시키게 되고 Eq. (14)를 적용해서 u를 추정하여 ut값을 산정하게 된다.
4) 발생된 ut에 대해서 누적분포함수의 역(F-1(Xt))을 계산하여 모의되는 연 강우자료 Xt를 얻게 된다.
이러한 절차로 제시된 Lee and Salas (2011)의 모형을 적용하였다. 보다 자세한 설명은 Lee and Salas (2011)를 참고할 수 있다.
3. 대상유역 및 분석자료
본 연구에서는 권역별 가뭄의 심각성이 다름에 따라 기상청 관할 지점 강우자료를 Thiessen가중법을 이용하여 권역별 면적 평균강우량으로 산정하였으며 월별로 강우자료를 구축하였다(Fig. 2). 월별로 축소한 이유는 마지막 년도의 경우 기존 2015년 9월까지는 관측자료를 이용하였고 이후 2016년 5월 까지는 평균값을 가정하여 넣어서 결국 2015년의 값을 산정하게 되고 연자료를 장마가 시작되는 월을 기준으로 익년 6월에서 다음년 5월까지로 기존과 다르게 산정한 부분이 있어 이를 고려하기 위해 월별로 자료를 구축하였다.
|
Fig. 2. Map of South Korea and four divisions (thick lines) of four river regions as well as Thiessen polygons (grey lines) based on 59 rain gauges under Korea Meteorological Administration |
연 강우 자료는 앞에서 기술한 바와 같이 장마가 시작되는 해의 6월부터 다음해의 5월까지 월 강우자료를 합산하여 구축하였으며 대권역은 한강, 낙동강, 금강, 영산강으로 구분하였다. 적용된 강우 및 관측소는 상대적으로 30년이상의 자료가 확보되고 강우자료 품질에 대한 신뢰성이 확보된 59개소 기상청 관할 관측소 자료를 이용하였다(Fig. 2). 관측년도는 1973년 6월에서 2015년 9월까지의 관측자료를 이용하였고 장마가 시작되는 내년 봄까지의 가뭄이 계속될 것으로 가정하고자 2015년 10월에서 2016년 5월까지를 관측기간의 월평균강우량으로 적용하여 현 가뭄의 빈도를 계산하였다. Fig. 3은 각 권역별 연 강우량 자료 산정결과를 보여주고 있으며 전체 연평균 강우량(x0) 기준 강우량의 부족분을 통해 앞서 Fig. 1에 제시된 가뭄정의에 따라 가뭄사상의 지속기간(L) 및 심도(D)를 산정하였다. Fig. 3에 나타난 바와 같이 현재 한강과 금강유역은 3년의 가뭄이 지속되고 있으며, 관측기록상 두 번째로 심각한 가뭄임을 알 수 있다. 1970년대 당시 5년의 지속기간을 가지는 극심한 가뭄이 대부분의 권역에 발생하였음을 확인할 수 있으며 이는 현시점의 가뭄이 미래에 지속될 여지가 충분히 있음을 암시한다. 또한, 한강 및 금강유역의 경우 상대적으로 가뭄심도가 크며 가뭄의 지속기간이 길어 극심한 가뭄이 진행되고 있는 반면 낙동강 및 영산강유역은 가뭄심도가 적고 2014년의 강우로 가뭄의 지속기간이 상대적으로 짧게 나타났다. 보통 서북태평양지역에서 생성되는 태풍 중 평균적으로 1년에 약 3개의 태풍이 한반도에 직·간접적인 영향을 미치며 북태평양고기압의 가장자리를 따라 이동하므로 상대적으로 많은 태풍이 한반도 남부지역 및 남해안을 통과하는 양상을 보임에 따른 결과로 판단된다(Cha et al., 2014; Kim et al., 2015; TRC, 2015). 또한, 장마전선은 북상하기 때문에 제주도, 남부지역, 중부지역의 순서대로 장마가 시작되며 6월말 장마가 시작하고 7월말에 약해지면서 한반도 북쪽으로 이동함에 따라 장마의 세력은 남부지역에 더욱 강한 영향을 미침에 따른 결과로 판단된다(KMA, 2011).
4. 분석결과
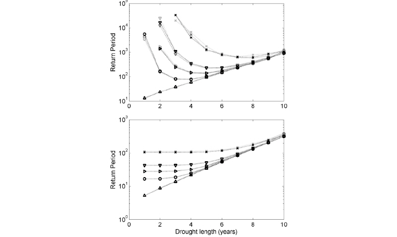
Fig. 4와 Fig. 5는 각 권역별 가뭄사건에 대한 재현기간 분석결과를 나타낸 것으로 Eq. (10)과 Eq. (11)을 통해 산정된 결과는 검은색 두꺼운 실선으로 표현하였으며, AR model(1)을 이용한 모의 자료와 Eq. (12)를 통해 산정한 결과는 점선으로 표현하여 비교하였다. Eq. (1) [D>D0, L=l]에 정의된 가뭄사건의 분석결과는 Fig. 4와 같고, AR model(1)의 모의자료에 의해 산정된 결과가 Eq. (10)을 통해 산정된 결과에 비해 대체적으로 짧은 가뭄 지속기간에서는 크게 산정되었고 긴 가뭄 지속기간에서는 작게 나타났다. Eq. (2) [D>D0, L>l]에 정의된 가뭄사건은 Fig. 5와 같고 Eq. (11)을 통해 산정한 결과가 모의자료를 통해 추정한 결과보다 크게 산정됨을 보여주고 있다. 일반적으로 가뭄사건은 Eq. (1)보다는 Eq. (2)를 통해 표현된다. Eq. (11)로 산정된 재현기간 결과가 모의자료를 통해 추정한 결과에 비해 크게 산정되는 것은 이를 가뭄의 설계빈도에 적용할 경우 해당 재현기간에 대한 가뭄심도 및 가뭄 지속기간이 모의를 통해 나온 결과에 비해 다소 작을 수 있음을 의미한다. 따라서, 모의된 자료를 활용하여 재현기간을 산정하는 방법이 Eq. (11)을 통해 산정한 결과에 비해 가뭄재해에 대한 안전율 측면에서 합리적이라 판단된다.
앞서 2장에서 서술된 3가지 시계열 모델을 이용하여 자료의 모의하고 Eq. (12)를 통해 재현기간을 산정하였으며 분석결과는 Fig. 6과 같다. 여기서 Copula AR(1) 모델은 Bivariate normal copula를 이용하였고 감마분포를 적용하였다. 이 모델의 적정성에 대한 검증 및 자세한 설명은 Lee and Salas (2011)에 잘 나타나 있다. 분석결과, Copula AR(1) 뿐만 아니라 모든 모델을 통해 산정된 모의 자료의 재현기간 결과가 유사하게 나타났으며 이는 시계열 모델을 통해 산정되는 재현기간 결과가 상당히 적정함을 의미한다.
5. 논 의
현재 중부지방을 중심으로 심각한 가뭄을 겪고 있는 실정이다. 슈퍼엘니뇨의 영향 등과 같은 비정상적인 대기 및 해양환경 변화 등으로 지난 3년여동안의 중북부 지방에 태풍 및 장마에 따른 강한 호우사상이 생성되지 않았다. Table 1에는 현재 겪고 있는 가뭄이 내년 5월까지 평균적인 월 강우가 내린다고 가정하여 산정된 가뭄심도, 가뭄 지속기간, 재현기간의 통계학적 특성을 나타내고 있다. 예를 들어, 금강권역의 현재까지 가뭄과 2015년 10월부터 2016년 5월까지의 평균강우를 가정하였을 때 가뭄 지속기간은 3년 이상의 기간을 가질 것으로 예상되며 3년동안 부족분의 합(D0)은 843 mm가 될 것으로 보이고 한강권역은 동일한 가뭄 지속기간에 이보다 더한 996 mm의 부족분이 발생하는 것으로 추측된다. 이를 평균값으로 나누어 부족비(λ= D0/x0)를 산정하면 각각 0.69 및 0.77이다. 따라서 금강권역의 경우 가뭄 지속기간이 3년이상이고 가뭄부족분이 D0 (842.5 mm) 현재 가뭄보다 크게 되는 초과확률을 Eq. (11)를 통해 추정하면 재현기간은 39년으로 산정되었다. 또한 정확히 지속기간이 3년이며 가뭄부족분이 현재 가뭄보다 크게 되는 확률을 Eq. (1)을 통해 산정한 결과 174년의 재현기간을 가지는 가뭄으로 분석되었다. 한강권역도 금강권역과 유사한 빈도를 보이는 것으로 산정되었다(Table 1). 남부지역에 위치한 낙동강과 영산강 유역에서는 가뭄 지속기간이 약 1년, 가뭄 부족분은 약 300 mm로 중북부지역에 비해 1/3정도의 수준이며 각각 재현기간 9년, 8년의 빈도를 가지는 가뭄으로 산정되었다. 현재 가뭄은 중북부 지역에서 보다 심각하며 향후 강우량의 부족현상이 지속된다면 전 지역에서 극심한 가뭄을 겪게 될 실정이며 사회·경제적인 면에서 큰 파급효과를 초래될 수 있다. 현재의 가뭄은 상대적으로 1970년대 가뭄에 비해 정량적으로 약할 수 있으나 과거에 비해 현재의 용수공급 필요량이 많아져 가뭄에 대한 민감도가 근래에 훨씬 커져 있는 상태이다.
이번 가뭄은 약 40년 정도의 재현기간을 가지는 가뭄으로 볼 수 있으며 현재의 40년 빈도에 여러 심각한 가뭄이 발생한 것을 근거로 수공구조물의 설계 및 물 공급수요 계획에 이를 설계빈도로 반영한다면 보다 적극적인 수자원 대비와 계획으로 현재와 같은 가뭄에 대해서 보다 탄력적으로 운영이 가능할 것으로 보인다. 예를 들어, 용수공급 댐 설계뿐 만 아니라 생활용수, 농업용수, 산업용수 산정 시 가뭄빈도(e.g., 50년빈도)를 근거로 미래의 공급가능수량을 보수적으로 산정 및 계획한다면 가뭄에 대한 구조적 대책이 될 수 있으며 추가적으로 댐에서 용수공급 시 가뭄빈도를 근거로 미래의 시나리오별(e.g., 평균강우상태)로 가능용수량을 산정하여 공급량을 조절하도록 하는 비구조적 대책을 강구할 수 있다.
6. 요약 및 결론
본 연구에서는 가뭄에 대한 통계학적 빈도를 계산하는 방법을 이론적인 식을 통하거나 시계열 모델을 통해 자료를 모의하여 발생된 가뭄의 빈도를 계산하는 방법에 대해 비교하였다. 이론적인 식에 의한 방법의 가뭄빈도 모의결과가 시계열 모의자료를 통한 가뭄빈도가 크게 산정되어 시뮬레이션 자료를 통한 방법이 안정성 측면에서 적정한 것으로 판단된다. 이는 여러 모의기반 산정기법이 비슷한 빈도 값을 나타내주는 것으로 모델에 대한 차이는 크지 않다는 것을 알 수 있으며 모의기반 산정기법의 안정성을 보여주고 있다. 시뮬레이션 자료를 통한 가뭄빈도의 산정은 아직 적용가능성에서 검증이 되지 않은 부분이 있기는 하나 향후 연구를 통해 그 가능성을 검증한다면 기존 식을 통해서 나온 가뭄치보다 정확한 값을 제공할 수 있을 것으로 판단된다.
이를 통해 산정된 현재 한국 중북부지역에 진행중인 가뭄의 빈도를 계산하였고 한강 및 금강유역에 40년 빈도의 가뭄이 발생되었으며 가뭄이 계속해서 진행 중이라는 것을 알 수 있었다. 가뭄빈도를 통해 댐 설계 및 수자원이용에 적극적으로 이용한다면 심각한 가뭄에 보다 탄력적인 대처가 가능할 것으로 보인다. 본 연구에서는 부족분의 임계치(
)를 자료의 평균값으로 사용하였으나 실수요량 수준의 용수공급량 등을 적용하거나 사회경제적인 요소를 고려하여 임계치(
)로 활용한다면 실제적인 가뭄대책의 일환인 저수지 및 댐 운영 등에 활용 가능할 것으로 판단된다.








