1. 서 론
2. 기상관측장비 설비
2.1 Atmos-41
2.2 관측 결과 검증
3. 수문 모의모형 적용
3.1 대상 유역
3.2 대상 유역에 대한 SWMM 모델 구축
3.3 SWMM 모델 검증
4. 물순환 특성 분석 결과
4.1 관악산 유역의 물순환 특성 분석
4.2 서울시와의 비교를 통한 유역내 물순환 특성 분석
5. 결론 및 향후 연구
1. 서 론
도시화로 인한 물순환의 왜곡은 이미 수없이 지적되어왔으며(Franczyk and Chang, 2009; Shukla et al., 2019; Mitchell, 2006), 급격한 도시 팽창을 이루어온 우리나라는 상당히 심각한 경지에 이르고 있다(Joo, 2020). 서울시의 경우 1962년과 2010년 사이에 증발산량의 경우 43.3%에서 25%로 감소, 지표면 유출의 경우 10.6%에서 51.9%로 증가, 중간 유출과 기저 유출의 합의 경우 32.1%에서 12.1%로 감소, 그리고 지하수 함양률 또한 14.4%에서 11.4%로 감소하였다(Seoul, 2015).
서울 관악산 유역은 1970년대 서울대학교 관악캠퍼스가 건설된 이후로 산 중턱의 자연 모습에서 250여 개의 건물이 들어선 유동 인구 30,000명 이상의 소도시 형상을 띄고 있다. 이와 같은 과도한 건물로 인한 불투수율의 증가는 관악캠퍼스 하류 도림천의 수량과 수질에 직접적인 영향을 미쳤다. SNU Bureau of CFM (2017)에 따르면 2016년 관악캠퍼스 주요 건물 10곳의 상수 사용량은 약 70만 톤 이상으로 상수 공정, 송수, 하수처리 등에 사용된 물은 모두 도림천으로 흘러간다. 우면산 산사태 등 극심한 집중호우가 있었던 2011년 서울대학교도 곳곳에 침수가 발생해 큰 피해를 입었다(Seo et al., 2012). 이에 대한 대책으로 서울시는 관악산 유역에 두 개의 저류조(각각 5,000 m3 및 20,000 m3)를 설치하였지만, 2022년 8월 발생한 최대 일강우량을 막기에는 속수무책이어서 관악캠퍼스는 11년 만에 또다시 수십억 이상의 피해가 발생한 것으로 추정되고 있다.
현재까지 관악캠퍼스 및 도림천 유역을 대상으로 한 선행연구는 다음과 같다. Lee et al. (2005)는 도시개발 이전의 물순환 형태를 회복하기 위해 도림천 유역 전체를 대상으로 Water and Energy Transfer Process (WEP) 모형을 구축한 바 있다. 이는 불투수율 및 침투 트랜치와 투수성 포장재 사용 여부에 따른 물순환 항목들을 비교 분석한 연구이다. 그 외에도 Lee (2010)는 도림천 본류의 상류를 대상으로 지표면과 하계망의 이동 패턴을 고려하여 도시화 전후를 비교하였는데, 이를 통해 수문 연결성의 중요성과 연결성 복원 시나리오를 제시 및 적용하여 도림천 유역의 구조변화를 분석하였다. 2011년에는 집중호우로 인한 피해에 대해 Seo et al. (2012)가 서울대학교를 대상 유역으로 설정해 Soil Conservation Service (SCS)의 Curve Number (CN)법을 적용하여 재현기간 별 유출량 및 위치에 따른 유출량을 파악하고, 수해 방지 대안을 검토하였다. 또한, Park (2015)은 도림천 최상류 유역인 서울대학교 관악캠퍼스를 대상으로 물순환 왜곡으로 발생하는 도시 내 문제점에 대한 고찰과 XP-Storm Water Management Model (SWMM)으로 대상 유역의 분석을 통해 대안을 제시하였다. 이러한 선행연구들은 현재의 토지이용 상태에 따른 유출량을 공통적으로 분석하였고 도시화로 인한 문제점과 개선 방향을 제시하였으나, 해당 유역의 물순환과 관련된 자료 구축에 있어서는 미흡한 부분이 있다.
본 연구에서는 캠퍼스화로 인한 물순환 변화를 분석하기에 앞서 물순환 항목과 관련된 자료를 우선 구축할 필요가 있다고 판단하였다. 앞선 연구들에 비해 소유역에 해당하며 산을 끼고 있는 서울대학교 관악캠퍼스의 경우 실측 유량 값이나 물순환과 관련된 기상학적 인자들을 측정하는 시스템이 미흡한 실정이다. 기상청의 방재기상관측자료가 관악 지역에 있기는 하나, 다양한 종류의 기상학적 인자 또는 잠재증발산량에 대한 값을 얻기에는 어려움이 있다. 따라서 복합기상관측장비 Atmos-41을 설치하여 물순환 관련 기상학적 자료와 이를 바탕으로 산정한 잠재증발산량 자료를 지속적으로 수집하고자 한다.
관악캠퍼스를 대상으로 한 선행연구들을 이어받아 본 연구에서도 SWMM을 활용하여 관악캠퍼스 물순환 모의를 진행하고자 한다. 연구를 진행함에 있어 증발산량의 추정에 부정확성이 상당함을 인지하게 되어 이에 대한 심화 연구를 진행하였다. SWMM 모형화 과정에서 증발산 추정을 연구한 사례를 찾아보면 Dell et al. (2021), Hörnschemeyer et al. (2021), Randall et al. (2020) 등이 있는데 이들은 모두 매개변수의 차이에 따른 관측값이나 다른 모델과의 결합 및 비교를 통해 증발산량을 보정하고 연 물수지 비율을 모의하였다. 그중 Hörnschemeyer et al. (2021)은 기존 SWMM에 통합할 수 있는 SWMM-UrbanEVA를 개발하여 도시 지역의 식생 및 토양 변화를 고려할 수 있게 하였고, 이를 통해 잠재증발산량 모의의 정확도를 높혔다. Lee (2007) 또한 기존의 SWMM 모형이 가지는 불완전한 증발량 모의 출력에 있어 투수성 포장과 침투 트랜치 모의기능을 추가하여 개선 시킨 바 있다. 이에 본 연구에서도 관측 자료를 통한 증발산량의 보정에 초점을 맞추었다.
따라서 본 연구의 궁극적인 목적은 캠퍼스화로 인한 물순환의 변화를 평가하는 것이며, 이를 위해 어떤 자료를 구축하고 어떤 모형화 과정을 거쳐야 하는지를 제시하는 것이다. 앞서 언급한 바와 같이 지금까지 도시화로 인한 물순환 평가는 많이 연구되었으나, 캠퍼스화로 인한 물순환 평가는 드물었고 계측이 거의 안 되어 왔기 때문에 본 연구가 시작되었다. 궁극적 목적을 달성하기 위해 본 연구는 첫째, Atmos-41의 효용성을 밝혀 관악캠퍼스의 물순환 항목과 관련된 수문·기상학적 자료를 구축하고자 한다. 둘째, 관악캠퍼스의 물순환을 강우유출모형 SWMM으로 평가하고자 한다. 앞서 언급 바와 같이 관측장비를 활용하여 증발산 모의를 개선하는 연구에 학문적 초점을 맞추고자 한다. 마지막으로 물순환 특성 변화를 정량적으로 제시하고 이를 서울시 전체의 그것과 비교함으로써 캠퍼스가 나아갈 방향을 제안하고자 한다.
2. 기상관측장비 설비
2.1 Atmos-41
본 연구는 소도시 유역에 해당하는 관악캠퍼스의 물순환 항목과 관련된 자료를 우선 구축함으로써 물순환 특성을 분석하고자 하였다. 자료 구축은 강우유출 모형 검증에 활용될 수 있으며 추후에도 활용성이 높을 것으로 판단하여 서울대학교 관악캠퍼스 35동에 복합기상관측장비인 Atmos-41을 설비하였다(Fig. 1(a)).
Atmos-41은 강수량, 기온, 증기압, 상대습도, 대기압, 포화증기압, 풍향, 풍속 등을 측정하는 복합 기상센서로 관측장비와 데이터로거가 연결되어 데이터가 수집된다. 이와 동시에 블루투스를 이용한 클라우드 서비스를 통해 실시간 원격 모니터링이 가능하다(Fig. 1(b)). Fig. 1(a)와 같이 간편한 장비에 각 기상 항목별로 센서가 있어 다양한 요소들에 대한 측정이 가능하다. 먼저 장비 꼭대기에 있는 피라노미터(Pyranometer)와 실리콘-셀 센서(Silicon-cell sensor)를 통해 태양 복사량이 측정된다. 풍속은 바람의 영향을 받는 초음파 신호가 유리 플레이트에 반사되어 반대쪽으로 되돌아가는 원리로, 신호가 왕복하는데 걸리는 시간을 통해 계산된다. 또한, 증기압 센서와 테플론 스크린(Teflon screen) 장치를 사용해 상대습도 및 포화증기압이 측정되고, 액체와 먼지로부터 센서를 보호하는 역할을 한다. 강수량의 경우 레인 게이지(Rain gauge)에 떨어지는 물방울을 세고 누적된 총 강수량을 출력하여 측정된다. 그 외에도 온도 센서, 낙뢰 센서, 대기압 센서 등을 통해 각 기상학적 요소들이 측정된다(Meter Group, 2017). 추가로 Atmos-41은 측정한 풍속, 태양 복사량, 증기압, 기온 등을 통해 FAO 56 Penman-Monteith 식을 적용해 잠재증발산량을 하루 간격으로 산정하여 값을 확인할 수 있다.

Fig. 1.
(a) Atmos-41 installed at building 35 of the Gwanak campus (b) The data download process of atmos-41 (Meter Group, 2017)
2.2 관측 결과 검증
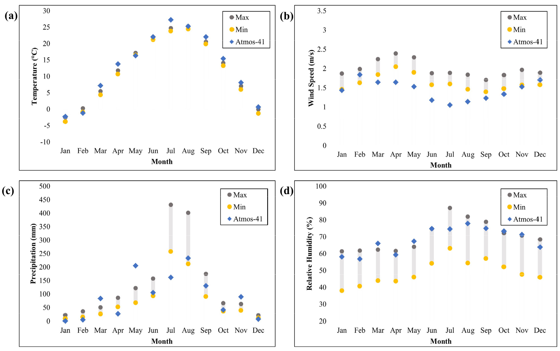
2021년 4월 23일 설치한 Atmos-41은 한 시간 간격으로 각 기상학적 요소들을 측정하고 관측 결과는 클라우드 상에 저장된다. 본 연구에서는 우선 Atmos-41의 관측 결과를 기상청의 방재기상관측자료 중 관악 지역에 해당하는 위치인 관악(509)와 관악레이더(116)의 해당값과 비교 검증하였다. 기상청 자료의 경우 관악(509)은 서울대학교 47동에 위치하여 시 간격으로 기온, 강수량, 풍속 값을 측정하고, 관악레이더(116)는 관악산 정상에 위치한 기상 레이더로 시 간격으로 기온, 상대습도, 강수량, 풍속 등을 측정한다. 본 연구에서는 Atmos-41 설치 이후 1년에 해당하는 기간인 2021년 5월 1일부터 2022년 4월 30일까지 비교 가능한 관측값으로 관악(509)의 경우는 기온, 강수량, 풍속을, 관악레이더(116)의 경우는 기온, 강수량, 풍속, 상대습도를 사용하였다. 이에 대해 우선 평균값, 최대값, 최소값을 비교하였고, 각 통계적 특성에 대한 차이가 크지 않음을 확인한 후 정확도 평가 지표를 통해 세부적인 검증을 진행하였다.
관측값을 참값으로 한 정확도 평가 지표로는 R2(Coefficient of Determination), RMSE (Root Mean Square Error), rRMSE (Relative Root Mean Square Error)를 사용하였는데 여기서 rRMSE는 RMSE를 관측값 평균과의 비율로 나타낸 개념이다. 풍속을 제외한 기온, 상대습도, 강수량의 경우 R2는 0.72~0.98, rRMSE는 0.1~3%로 매우 정확한 것을 확인하였다. 하지만 풍속의 경우 rRMSE의 값이 0.5~0.8%로 낮아 오차가 적다고 볼 수 있으나, R2이 0.5에도 미치지 못하였다(Table 1). 이는 풍속이 관측 위치에 따른 변동성이 큰 값이므로 이 같은 결과를 보인 것으로 판단하였다. 각각의 관측 위치는 Fig. 2와 같이 차이가 나는데, 관악레이더(116), 관악(509), 그리고 Atmos-41의 해발고도는 625 m, 142 m, 그리고 114 m로 상이하다. 해발고도가 500 m 이상 차이가 나는 관악레이더(116)와의 RMSE가 2.34 m/s인 것에 비해 해발고도의 차이가 적은 관악(509)와의 RMSE는 0.81 m/s으로 오차가 적었다. 해발고도가 높을수록 풍속이 강하고 이에 따라 풍속의 차이가 나는 것으로 사료되었다.
Table 1.
Accuracy evaluation of atmos-41 over two KMA sites shown in Fig. 2
정확도 평가 지표를 통한 검증에 추가하여, 월별 변동성에 있어 Atmos-41이 관측값과 어떻게 다른지 비교해보았다. 모든 정확도 지표에 있어 Atmos-41의 기온, 강수량, 풍속은 관악(509)과 더 유사하기 때문에 관악(509)의 총 관측 기간인 1993년에서 2021년까지의 시간별 기온, 풍속에 대한 월 평균 신뢰구간, 강수량에 대한 월합 신뢰구간을 Fig. 3에 도시하였고, 상대습도는 관악레이더(116)만 2002년부터 2021년까지 자료가 있기에 그것을 도시하였다. 여기서 신뢰구간이라 함은 실제 값이 존재할 가능성이 있는 구간으로, 각 요소들의 관측 기간에 대한 월별 95% 신뢰구간을 구하였다. 기온, 풍속, 상대습도와 같은 요소는 평균값을 통해 각 월의 통계적 특성을 나타내므로 관측 기간에 대한 월별 평균값으로 신뢰구간을 계산하였다. 그러나 강수량은 주로 총량으로 통계적 특성을 표현하기에 각 월의 총 강수량을 구해 월 합 신뢰구간으로 분석하였다. 이는 앞선 정확도 지표를 통해 동일 기간에 대한 Atmos-41의 기상학적 인자들의 타당성을 보였지만, 과거 관측값을 활용하여 통계적 신뢰성을 확인해 보고자 함이다.
Fig. 3을 보면 기온과 상대습도의 경우 대부분의 월에 대해 신뢰구간 안에 포함되었으나, 강수량의 경우 일부 월은 신뢰구간을 벗어난 것을 확인할 수 있다. 이는 2021년 봄철(3월~5월) 강수량이 평년 대비 138.7% 많았고, 장마철 강수량이 평년 대비 85.1%로 적었기 때문이다(KMA, 2022; Statistics Korea, 2022). 추가로 2021년 5월 1일부터 2022년 10월 23일에 대해 관악(509)의 자료로 Atmos-41의 강수량 자료를 비교한 결과, R2가 0.52, RMSE가 1.23 mm로 차이를 보였다. 이러한 차이는 2.1절에 언급한 바와 같이 Atmos-41의 강수량 측정 방법으로 인한 것으로 판단된다. Atmos-41은 우량계에 떨어지는 물방울을 세고 이로부터 누적된 총 강수량을 출력하는데, 강우강도가 큰 기간에 대해서는 우량계의 입구가 작아 측정의 오류가 있을 것으로 사료되었다. 따라서 3장의 수문 모의모형을 적용함에 있어 강수량은 관악(509)의 자료를 사용하기로 하였다. 또한, 풍속의 경우 위치 차이에 따른 변동성이 큰 항목으로 3월에서 10월의 경우 Atmos-41의 값이 신뢰구간보다 낮게 위치하는 것을 볼 수 있다. 이는 Atmos-41의 지리적 조건상 35동 건물의 옥상에 설치하였음에도, 실제 풍속보다 낮게 측정될 수 있는 요소로 관측장비 뒤쪽의 높은 건물과 오른쪽의 작은 건물이 있기 때문이다. 그럼에도 모든 월에 대해 신뢰구간의 추세를 따라가는 것을 확인하였다(Fig. 3(b)).
이러한 기상학적 인자들은 추후 잠재증발산량 값을 산정하는 데 매우 중요한데 태양복사에너지, 일사랑, 온도, 기압, 상대습도 등이 증발산의 주요 영향 인자이기 때문이다. 결국 기상학적 인자들의 값을 신뢰할 수 있다면 그 값을 활용하여 산정한 잠재증발산량 또한 신뢰할 수 있기 때문이다. 정확도 검증에서 기온과 상대습도의 타당성을 입증하였으므로, 이를 통해 산정되는 Atmos-41의 잠재증발산량을 본 연구에서 추후 활용하기로 결론 내렸다.
3. 수문 모의모형 적용
3.1 대상 유역
본 연구의 대상 유역은 서울특별시 관악구에 위치한 서울대학교 관악캠퍼스로 도림천의 최상류이다. 관악캠퍼스를 거쳐 배수되는 배수구역의 총 면적은 약 4 km2로 도림천 본류로 흐르는 서울대-도림천 배수구역 2.7 km2와 봉천천으로 흐르는 서울대-봉천천 배수구역 1.3 km2로 나뉜다(Seo et al., 2012). 이중 본 연구에서는 서울대-도림천 배수구역 2.7 km2에 대해 연구를 진행하고자 한다(Fig. 4).
과거 서울대학교는 서울 각지에 흩어져 있었으나 1970년대 서울대학교 종합화 계획에 따라 관악산으로 이전하였다(SNU, 2016). 현재 관악캠퍼스에는 약 250여 개의 건물이 있으며 약 33,000명의 구성원이 생활하는 소도시 유역의 형태를 띄고 있다. 2016년 관악캠퍼스 내 전체 건물 중 주요 건물 10곳의 상수사용량은 약 70만톤 이상으로 상수공정, 송수, 하수처리 등에 사용된 물은 모두 도림천으로 흘러 도림천의 수량과 수질에 영향을 미친다(SNU Bureau of CFM, 2017). 배수시설로는 버들골 댐, 공대폭포, 자하연, 저류조, 옥상 및 지하 저류시설 등 자연, 인공적 저류시설이 캠퍼스 곳곳에 존재하고 있다. 공대폭포는 700 m3의 용량으로 저수지 제방 높이는 최대 3 m에 달하며(Seo et al., 2012), 친수공간을 제공하는 자하연은 대략 1,425 m3의 용량으로 인문대 14동 측면 벨브를 통해 유입수량을 조절할 수 있다. 최근 추가 저류시설로는 버들골, 공대폭포, 그리고 정문에 각각 20,000 m3, 5,000 m3, 그리고 40,000 m3의 저류조가 설치되었다. 버들골 지하 저류조는 신림3교의 수위가 2.67 m 이상부터 가동되도록 설계되었으며, 버들골 지하 저류조로 유량이 유입되기 위해 버들골 댐의 중간부에 여수로도 추가로 신설되었다. 이러한 서울대학교의 저류시설 및 배수시설들의 위치도는 Fig. 5와 같고 건물이 신축됨에 따라 복잡한 우오수관들이 약 11개의 배수시설을 통해 도림천으로 흐른다.
3.2 대상 유역에 대한 SWMM 모델 구축
SWMM은 집중형 도시유출 모형으로 대상 유역을 강수, 기온과 같은 기상학적 변수와 물리적, 수문학적 매개변수 입력을 통해 수문 성분을 모의하는 강우-유출 모형이다. 또한, 지형, 배수 경로, 토지 특성 등의 공간적 변화를 반영하는 모델이므로 SWMM을 구축하기 위해서는 우선 대상 유역에 관한 자료 수집이 선행되어야 한다. 따라서 먼저 대상 유역의 특성 파악을 위한 현장 조사, 관망 입력에 필요한 우수관망도, 고도 및 유역 경사 입력을 위한 1:5000 수치지형도, 불투수율 입력에 필요한 세분류 토지피복지도 등을 수집하였으며 Auto CAD 및 QGIS로 자료를 분석하였다. 다음으로 배출 지점과 지형학적 특성을 고려하여 소유역을 분할하는 과정을 거쳤다. 분할한 소유역의 흐름과 최종 배출구까지의 흐름의 연결성을 고려하여 44개의 소유역으로 분할하였다. 이후 매개변수 입력 및 옵션 설정을 해야 한다. 소유역의 매개변수로는 유역 면적, 지면 경사, 불투수율, 불투수유역의 조도계수, 투수유역의 조도계수, 불투수유역의 지표면 저류 깊이, 투수유역의 지표면 저류 깊이를 설정하였다. 유역 면적, 지면 경사, 불투수율의 경우 수치지형도와 토지피복지도를 통해 각 소유역별 값을 입력하였고, 조도계수 및 지표면 저류 깊이와 같은 경우 해당 유역의 수문학적 토양군에 따라 Rossman and Huber (2016)의 기준값으로 설정하였다. 불투수유역 조도계수의 경우 저밀도 주거지역에 해당하는 0.05, 투수유역 조도계수의 경우 산지에 해당하는 0.08로 설정하였다. SCS 토양형에 따라 달라지는 불투수유역 지표면 저류 깊이와 투수유역 지표면 저류깊이의 경우 A군에 해당하는 소유역은 각각 1.9, 7.62로 설정하였고, D군에 해당하는 소유역은 각각 1.9, 3.81로 설정하였다.
다음으로 인위적 요소에 해당하는 절점, 배출구, 저류조의 고도, 최대 깊이, 형상과 관망의 길이, 크기, 형상은 수치지형도와 우수관망도, 그리고 대상 유역 조사 위치도를 활용하였다. 관악캠퍼스의 경우 건물별로 소관망이 다수 존재하였는데 유역별 흐름 경로와 지형학적 특성을 반영하여 관망의 연결성에 영향을 주는 관망을 추려 관경 300 mm 이상의 관들로 구축하였다. 이후 98개의 관망, 두 개의 위어, 네 개의 저류조로 구축하였다(Table 2). 침투량 매개변수의 경우 연속 모의에 적용한 바 있는 Green-ampt 방법을 설정하였으며, 이때 필요한 매개변수는 흡입수두와 포화 투수계수로 정밀토양도에 따른 토양 종류에 따라 소유역 별로 다르게 설정하였다(Rawls et al., 1983). SWMM 구축을 완성하였다면 강수 및 기온 시나리오를 입력하여 모의를 하게 되고, 원하는 기간에 대한 표면유출량, 침투량, 증발량 등을 소유역 별 또는 전체 시스템에 대해 확인할 수 있다. 모의하기에 앞서 실측값이나 과거 타 모의 결과와의 검증 과정을 거친 후 모델을 활용하게 된다. 본 연구에서 구축한 모델은 Fig. 6과 같다.
Table 2.
SWMM input parameters of study area
3.3 SWMM 모델 검증
3.2절에서 구축한 SWMM 모델은 2.7 km2의 소유역을 모형화한 것으로 유량과 같은 실측 자료가 존재하지 않고 유역 내 별도로 유량을 관측하는 장비 또한 없다. 따라서 과거 동일 대상 유역의 결과를 활용하여 검증을 진행하고자 하였다. Park (2015)은 본 연구와 같은 대상 유역을 여섯 개의 소유역으로 분할하여 유출량과 침투량을 XP-SWMM으로 모의한 바 있다(Fig. 7). 이때 증발량은 0으로 설정하였으며, 2011년 7월 26일부터 2011년 7월 29일에 대해 표면유출량과 침투량을 모의하였다. 따라서 본 연구의 유역 경계를 과거 연구 결과의 유역 경계와 동일하게 합하여 표면유출량 및 침투량의 결과를 비교하였다. 정확도(즉, Park (2015) 모의 결과를 참값으로 가정한 일치도) 지표로는 R2, rRMSE, NSE (Nash Sutcliffe Efficiency)를 사용하였는데, NSE는 참값과 모의값의 차이인 잔차와 참값의 분산에 대한 상대적 크기를 비교한 개념이다. 표면유출량과 침투량 모두 R2가 0.98 이상이고, rRMSE 또한 표면유출량, 침투량에 대해 0.06, 0.10으로 오차가 매우 적은 것을 확인하였다. 또한, NSE도 0.95 이상의 높은 정확도 효율을 나타내 대상 유역에 대한 모형 구축이 타당하게 진행되었음을 확인하였다(Table 3).
물순환 중 중요한 또 다른 항목은 잠재증발산량 또는 증발량으로 이를 검증하기 위해서는 실측값이나 해당 유역의 연구 결과가 필요하다. 이를 위해 Atmos-41의 기상관측장비를 활용하였는데, Atmos-41로부터 산정된 잠재증발산량을 참값으로 가정하여 SWMM으로 모의한 잠재증발산량과의 결과를 비교 검증하였다. Atmos-41의 경우 풍속, 태양복사량, 증기압, 기온의 관측값을 통해 FAO 56 Penman-Monteith 방법(Eq. (1))으로 산정하고, SWMM의 경우 일 최대, 최저 기온을 통해 Hargreaves 방법(Eq. (2))으로 산정한다. FAO 56 Penman-Monteith 방법에서 △는 온도변화에 대한 증기압 변화의 기울기, 는 순복사에너지, 는 토양과의 에너지 교환량, 는 건습계상수, 은 기준 작물의 분자 상수, 는 기준 작물의 분모 상수, T는 기온, 는 고도 2 m에서의 풍속, 는 포화증기압, 는 대기의 증기압이다. Hargreaves 방법에서 Tmax, Tmin, Tmean은 각각 일 최대 온도, 일 최저 온도, 일 평균 온도이고, 는 외기 복사에너지로 잠재증발산량을 산정한다.
Table 3.
Accuracy evaluation of SWMM over previous study result
| R2 | rRMSE | NSE | |
| Surface runoff | 0.99 | 0.06 | 0.98 |
| Infiltration | 0.98 | 0.10 | 0.95 |
잠재증발산량 검증을 위해 2021년 5월 1일부터 2022년 4월 30일까지 모의하였으며 그 결과를 Fig. 8에 도시하였다. 그래프에서 볼 수 있듯이 SWMM의 경우 변동성이 크지 않은 반면, 풍속 및 대기압의 영향까지 고려하여 계산된 Atmos-41의 경우 값의 요동치는 정도가 큰 것을 볼 수 있다. 모의 기간에 대해 SWMM과 Atmos-41의 잠재증발산량 합은 각각 894.7 mm, 1001.4 mm, 평균은 각각 2.45 mm, 2.74 mm, 최대값은 각각 5.84 mm, 7 mm, 그리고 최소값은 각각 0.22 mm, 0.3 mm로 차이가 있다. 특히 기온이 낮아지는 2021년 10월 중순부터 2022년 3월 중순까지는 SWMM 값이 Atmos-41 값에 비해 상당히 낮은데, 이는 Hargreaves 방법이 기온만을 매개변수로 사용하여 기온이 낮은 기간에 대해서는 잠재증발산량을 정확히 나타내지 못한다고 해석할 수 있다. 잠재증발산량과 관련 있는 기상학적 인자로는 기온 외에도 풍속, 포화증기압, 상대습도, 강수량 등이 있으며, 이는 Atmos-41에서 잠재증발산량을 구할 때는 고려되는 변수이다. 따라서 풍속, 포화증기압, 기온, 상대습도, 강수량을 독립변수로 두고 Atmos-41의 값과 SWMM의 값 사이의 오차를 종속변수로 하여 독립변수와 종속변수의 관계를 분석하는 다중회귀분석을 실시하고자 하였다. 다만, Atmos-41은 변동 폭이 커 이동평균법을 적용하여 이동평균 간격이 10일, 30일인 경우에 대해서도 조사해보았으며, 종속변수와 독립변수는 결국 Table 4와 같이 정리된다.
세 개의 종속변수와 다섯 개의 독립변수를 조합하여 총 75가지 경우의 수에 대해 회귀분석을 시행하였다. 이중 다중공선성과 잔차의 독립성을 만족하고, R2가 가장 높은 결과로 종속변수가 y1, 독립변수가 x1, x4, x5로 y1 = 0.559x1 ‒ 0.052x4 ‒ 0.028x5 + 3.10의 회귀식으로 도출되었다. 보정 전후의 결과는 Fig. 8과 같으며, Atmos-41의 변동 폭과 유사해졌다. 보정을 통해 R2가 0.54에서 0.80으로 높아져, 기온만을 변수로 가지는 SWMM의 Hargreaves 방법의 정확도를 높일 수 있었다.
4. 물순환 특성 분석 결과
4.1 관악산 유역의 물순환 특성 분석
앞서 검증을 마친 모델로 2020년의 월별 물수지를 모의하여 물순환 특성을 확인하였다. 역대 최장 장마가 있었던 8월의 경우 표면유출량이 침투량의 3배 이상인 것을 확인하였다(Fig. 9, Table 5). 그리고 기온 차이에 따라 증발량의 비율이 월별로 상이한데 이는 강수와 기온의 영향뿐만 아니라 SWMM에서 증발량이 도출되는 과정 때문으로 판단되었다. SWMM은 가능한 표면 수분이 증발 속도보다 낮으면 증발량이 표면 수분량과 같아지는 원리로 모의된다. 즉, 본 연구와 같이 1년에 대한 연속적 강우를 모의한 경우 무강우 일수가 지속되는 경우가 모의기간 중 발생하게 되고, 이 기간에 대한 표면 수분량이 없어지게 되는 것이다. 그럼에도 기온이 높고 강수가 적었던 4, 5월에 대해서는 총 강수량 대비 약 20% 정도 증발된 것을 알 수 있다. 또한, 잠재증발산량의 경우 3.3절의 보정 방법을 적용하여 Fig. 8과 같이 모든 월에 대해 과소추정된 잠재증발산량 값을 보정시켰으며, 그 결과 2020년 연 잠재증발산량이 861.46 mm에서 1244.92 mm로 증가하였다.
공간적으로는 불투수율 및 경사도 차이에 따른 표면유출량을 비교하였다. 이를 위해 Fig. 10과 같이 네 개의 소유역을 선정하였는데 각 소유역 중 불투수율의 차이가 큰 소유역 (a)와 (d)를 보면 유역 경사가 더 가파른 것은 소유역 (a)임에도 불투수율이 훨씬 높은 소유역 (d)의 표면유출량이 모든 월에 대해 높았다(Fig. 11). 따라서 유역 경사보다는 불투수율이 표면유출량에 더 큰 영향을 미치며, 불투수율이 높은 위치의 경우에는 장마에 대한 추가적 대책이 필요하다고 분석되었다.
또한, 2022년 8월 8일 발생한 관측 이래 최대 일강우량에 대해서도 모의를 진행한 결과, 총 202.5 mm의 강우량에 대해 176.5 mm의 표면 유출, 24.7 mm의 침투 및 저류, 그리고 1.3 mm의 증발이 산정되었다. 이는 최장 장마가 있었던 2020년 8월의 강수량 대비 표면유출률이 75.7%인 것(Fig. 9)과 비교했을 때, 2022년 8월 8일은 약 87.1%의 표면유출률로 약 1.15배 더 크다. 따라서, 모의 결과를 통해서도 1장에 기술한 바와 같이 그날의 피해가 발생했음이 설명되었다.
Table 5.
Monthly water balance in 2020 (mm)
4.2 서울시와의 비교를 통한 유역내 물순환 특성 분석
본 절에서는 관악산 유역의 물순환 특성을 도시화 전후에 따른 변화율로 서울시와 비교 분석을 하였다. 도시화 전 연도에 해당하는 1962년과 도시화 후에 해당하는 2010년에 대해 앞서 구축한 SWMM 모형으로 모의하였다. 단, 1962년의 경우 도시화 전에 해당하므로 관악산 유역 전체를 산지로 보고 불투수율을 0%, 관로는 없는 경우로 모델을 변경하여 모의하였다.
Seoul (2015)에 따르면 서울시의 경우 도시화로 인해 1962년과 2010년의 물수지 변화율은 표면유출량, 침투량, 증발량에 대해 각각 38% 증가, 21% 감소, 17% 감소하였다고 한다. 관악산 유역의 1962년과 2010년의 물수지 변화량은 표면유출량, 침투량, 증발량에 대해 각각 15.7% 증가, 14.2% 감소, 1.6% 감소하였다(Table 6). 표면유출량과 침투량 변화량 같은 경우는 2010년대의 서울시와 관악산 유역의 불투수율을 비교해볼 때, 서울시가 47.6%, 관악산 유역이 46.3%로 관악산 유역이 1.3% 낮으며, 서울대학교 캠퍼스 건설로 인해 도시화가 진행되었음에도 관악산 유역의 전체 면적 중 41.5%는 아직 산지로 이루어져 있기 때문으로 사료된다(Fig. 12). 각 물수지 항목별 변화량은 서울시에 비해 관악캠퍼스가 적지만, 대도시 유역 서울이나 소도시 유역 관악캠퍼스 모두 도시화로 인한 물순환 특성의 변동이 있는 것은 명확하다. 이미 표면유출률이 50%를 넘었고, 불투수율 또한 50% 대에 근접하고 있다는 결과를 반영하여 관악캠퍼스가 앞으로 개발에 집중하기 보다는 자연성을 회복하는 방향으로 나아갈 것을 제안한다.
5. 결론 및 향후 연구
본 연구는 도림천의 최상류인 관악산에 위치하여 하류 도림천의 수량과 수질에 영향을 미치며, 소도시 규모의 구성원들이 생활하는 서울대학교 관악산 유역의 캠퍼스화에 따른 물순환 특성 변화를 파악하고자 하였다. 대부분의 캠퍼스 유역이 그렇듯 물순환과 관련된 자료가 절대적으로 미흡하였기에 복합기상관측장비 Atmos-41을 도입함으로써 수문·기상학적 자료를 구축하고 본 연구를 시작하였다. Atmos-41의 관측 결과(강수량, 기온, 상대습도, 풍속)를 기상청의 관악지역 방재기상관측자료 중 해당값과 비교 검증하였고, 과거 관측값을 활용하여 월별 95% 신뢰구간을 구해 통계적 신뢰성을 확인하였다.
이후 대상 유역에 대한 물순환 모의를 위해 SWMM 모델을 구축하고 과거 동일 대상 유역의 결과를 활용하여 표면유출량과 침투량 모의값을 검증하였다. 잠재증발산량의 경우 SWMM은 기온만을 매개변수로 하는 Hargreaves 방법으로 모의하였는데, Atmos-41로부터 산정된 잠재증발산량을 참값으로 가정하여 검증했을 때 기온이 낮은 기간에 대해서는 과소 추정되는 경향이 있었다. 따라서 잠재증발산량과 관련 있는 기상학적 인자 중 강수량, 상대습도, 풍속을 독립변수로 두고 Atmos-41의 값과 SWMM의 값 사이의 오차를 종속변수로 하는 다중회귀분석을 통해 보정하였고, 그 결과 R2가 0.54에서 0.80으로 개선되었다.
2020년에 대한 물순환 모의 결과 시간적으로는 월별 강수 및 기온 차이에 따른 물순환 특성을 파악하였고, 공간적으로는 소유역별로 표면유출량 분석 시 경사도보다 불투수율이 더 큰 영향을 미친다는 것을 알 수 있었다. 또한, 다중회귀분석을 통한 잠재증발산량의 보정 효과 때문에 연 잠재증발산량의 추정이 861.46 mm에서 1244.92 mm로 대폭 상향 조정됨을 알 수 있었다. 마지막으로 서울시의 도시화 전후 물순환 변화량과 서울대학교 건설 전후의 물순환 변화량을 비교한 결과, 표면유출량과 침투량의 변화 정도가 관악캠퍼스에서 더 적음을 확인할 수 있었다. 이는 서울시의 2010년대 불투수율보다 관악캠퍼스의 불투수율이 낮고, 대상 유역은 현재까지도 전체 면적 중 41.5%가 산지이기 때문인 것으로 판단된다.
결론적으로 Atmos-41의 지속적인 관측 결과는 추후 관악캠퍼스 물순환 연구의 기초 자료로 활용성이 높을 것이라 기대되며, 이미 표면유출량 증가와 침투량 감소 비율이 상당하므로 서울대학교가 현재의 물순환 변화율을 유지함으로써 지속가능한 친환경 캠퍼스로 나아가길 제안하는 바이다.













