1. 서 론
2. 연구지역
3. 분석 자료 및 방법
3.1 분석자료
3.2 국소회귀분석 (Locally Estimated Scatterplot Smoothing, LOESS)
3.2 계층적 일반화 가법 모형(Hierarchical General Additive Model)
4. 결 과
4.1 지점별 강수량
4.2 자료 고유 편향(Bias)과 장기 추세 분석
4.3 편향 보정 후 가뭄, 우기, 평균 계절 강우 추세
5. 결 론
1. 서 론
기후변화는 전 세계적 강수량의 장기적인 추세 변화에 중대한 영향을 미치며, 이는 수자원 관리, 농업 생산성, 생태계 안정성 및 기후 재해 대응에 있어 매우 중요한 요소로 작용한다. 강수량 변화는 지역적으로 상이하게 나타나며, 특히 한반도는 복잡한 지형과 대규모 기후 시스템 간의 상호작용으로 인해 강수량 변화의 정확한 예측이 어려운 지역 중 하나이다(Kim et al., 2016). 게다가, 이러한 강수량 변화가 계절별로 상반되게 나타남에 따라 한 해에 홍수와 가뭄이 동시에 발생하는 등 예측이 어려운 이상 현상 발생이 빈번해지고 있어 수자원 및 농업용수 관리의 불확실성을 증가시키고 있다(Sung et al., 2024b; Marvel et al., 2021).
최근 연구들은 장마 기간이 단축되거나 길어지는 등 장마 패턴이 불규칙하게 변하고, 국지적인 극한 강수의 증가와 장마철 총강수량의 감소가 동시에 관측되는 등, 한반도의 장마 패턴 변화와 강수량 변동성 증가를 보였다(Moon et al., 2020; Lee et al., 2024). 또한, 장마 이후 강수 패턴 역시 지역별로 상이함이 보고됨에 따라, 이러한 변화의 원인을 분석하고 예측할 필요성이 대두되고 있다(Moon et al., 2020; Park et al., 2015). 따라서, 지역 및 계절별 강수 변화를 보다 정밀하게 예측하는 것은 기후변화 연구 및 기후위기 대응 전략 수립에 있어 중요한 과제로 남아 있다.
미래 기후 예측에 널리 사용되는 전지구 기후 모델(Global Climate Model, GCM)은 약 100 km 이상의 공간 해상도를 가지며, 이는 한반도와 같은 복잡한 지형에 적용하기에는 한계가 있다(Kim et al., 2022). 이를 보완하기 위해, GCM을 역학적 상세화 한 CORDEX (Coordinated Regional Climate Downscaling Experiment) 시나리오가 개발되어(약 50 km, 또는 12.5 km의 공간 해상도) 한반도 기후변화 분석에 활용된 바 있다(Giorgi et al., 2009). 이후, GCM과 CORDEX 데이터를 통계적 상세화하여 생산한 1 km 공간 해상도의 국가 기후변화 표준 시나리오가 구축되는 등 한반도 지역별 기후변화 예측의 정밀도를 향상시키기 위한 노력이 이어져 왔다(Kim et al., 2016, 2022; Hur et al., 2024a).
선행연구들은 개발된 CORDEX와 국가 표준시나리오가 한반도의 지역별 장기적인 기후 추세를 개략적으로 유사하게 모의할 수 있음을 보였다(Kim et al., 2023, 2024; Hur et al., 2024b; Huang et al., 2015). 그러나, 이러한 연구들에서 수행된 한반도의 미래 기후 분석은 시간적으로는 연단위, 공간적으로는 한반도 전체 또는 유역 평균이라는 시공간적 한계가 있었다(Kim et al., 2024; Hur et al., 2024b). 또한, 자료를 개별적으로 분석하여 병렬적으로 비교하는 방법이 주로 활용되어 왔고, 따라서 여러 자료를 통합하여 개별 자료의 불확실성은 줄인 장기 추세를 도출한 연구는 부족한 상황이다.
여러 종류의 자료를 통합하여 장기 트렌드를 도출하기 위해서는 해결되어야 할 과제들이 많다. 미래 강수량 예측 모델은 자료별, 지역별로 강수량의 편차가 다르고, 한 지역 내에서 계절별로 강수량 자료의 편차가 상이할 수 있다(Sung et al., 2024b; Song and Chung, 2020). 예를 들어, GCM 모델은 기후 가정 및 물리적 매개변수화에 따라 강수량을 과대 또는 과소 평가할 수 있으며(Buser et al., 2009; Sung et al., 2024a), 지상 관측자료(AWS)는 지형 효과, 바람에 의한 강수량 손실, 미세 강수량 과소추정 등의 원인으로 인해 편향이 발생하게 된다(Pollock et al., 2018). 따라서, GCM 기반 강수량 예측의 신뢰성을 높이기 위해서는 다양한 자료를 활용하여 계절 및 지역별 강수량 편차를 정량적으로 분석하고 이를 보정하는 과정이 필수적이다. 이러한 편차 보정 과정은 다양한 기후 자료를 통합하여 단일 자료의 불확실성을 줄이고, 계절 및 지역별 강수 변화 예측의 신뢰도를 향상시키는 데 중요한 역할을 한다.
더 나아가, 기후변화에 따른 강수 패턴의 변화는 비선형(Non-linear)적 특성과 비정상성(Non-stationarity) 특성을 가지므로, 전통적인 통계 기법만으로는 강수량 변화를 효과적으로 분석하는 데 한계가 존재한다(Milly et al., 2008). 따라서, 강수량 변화의 복잡한 특성을 보다 정밀하게 포착하기 위해, 기존의 전통적인 통계적 접근법을 넘어선 새로운 분석 기법이 필요하다.
이에 따라 본 연구의 목적은 다음과 같다. 1) 국가 표준 기후변화 시나리오 및 CORDEX 자료를 관측자료(AWS)와 동화(Assimilation)하여 자료 내 예측오차가 보정된 강수량 변화를 추출하고 2) 추출된 강수량의 비정상적 변화 패턴을 분석하여 과거부터 미래까지의 계절적 패턴과 장기 트렌드를 예측하는 것이다. 더 나아가, 본 연구에서는 우기(Pluvials) 및 기상학적 가뭄(Meteorological Drought) 기간내 강수량의 장기 변화 추이를 함께 분석함으로써 미래의 특정 강도의 가뭄 또는 우기가 현재에 비해 어떻게 달라지는지 관찰하였다.
연구 목적을 달성하기 위하여 지점별 관측자료(AWS)와 14종의 미래 기후변화 시나리오를 병렬적으로 분석하고, 각 자료의 편차를 정량화하여 공통적인 강수량 변화 추세를 도출할 수 있는 Hierarchical Generalized Additive Model (HGAM)을 개발 및 적용하였다. GAM 모델링 기법은 생태학, 수문학, 기상학 등 다양한 분야에서 시계열을 분석하는데 활발하게 쓰이는 기법으로 특성이 다른 다양한 데이터를 사용하는 본 연구에 매우 적합하다고 판단되어 본 연구에 사용하였다(Choi and Yoon, 2020; Shiau, 2020; Yee and Mitchell, 1991).
2. 연구지역
본 연구는 서울, 대전, 태백 세 도시를 대상으로 진행되었다. CORDEX와 국가표준 시나리오 강우자료는 ASOS 종관 관측소 위치(Table 1)를 기준으로 수집되었다. 종관 관측소 총 105개소 중 서로 상이한 지형적 특징을 대표하는 세 도시를 선택하여 연구하였다. 세 도시는 각각 인구가 밀집된 대도시권(서울), 내륙 분지지역(대전), 고지대 산(태백) 지형의 대표적인 강우 패턴을 보이는 곳으로써, 해상도가 낮은 모델로 지역 강우 예측 시 불확실성이 클 수 있어 지점 관측 자료와 다운스케일된 강수량 예측 자료의 면밀한 검토가 필요한 대표적인 도시라고 판단되었다. 또한 연구진은 연구 범위의 현실적인 한계를 감안하여 세 도시를 연구 대상지로 한정하였다.
Table 1.
Details of case study locations
| City | Latitude | Longitude | ASOS Number |
| Seoul | 37.44 | 126.96 | 108 |
| Daejeon | 36.37 | 127.37 | 133 |
| Taebaek | 37.17 | 128.99 | 216 |
서울 지역 여름철(6월, 7월, 8월) 강수량 합은 892.1 mm로 연강수량의 약 63%를 차지하여 전체 강수량 중 여름철 강수량의 비율이 특히 높은 특징을 지니는 반면, 겨울철(12월, 1월, 2월)의 강수량 합은 67.6 mm로 연강수량의 약 5%를 차지한다. 태백 지역은 해발 고도가 1.567m로 매우 높아 전형적인 고산지역 기후를 보인다. 연강수량은 1,308.0 mm이고, 계절별 강수량은 봄 230.8 mm, 여름철 693.3 mm, 가을 309.1 mm, 겨울 73.2 mm으로 여름철 강수량이 연강수량의 약 53%를 차지한다. 대전 지역은 산에 둘러싸인 분지 형태의 도시로 전형적인 대륙성 기후 특성을 나타낸다. 연강수량은 평균 1351.2 mm이며, 계절적으로 연강수량의 55~60%가 여름에 내리고 5~10%가 겨울에 내린다. 대전을 비롯한 충남 지역은 겨울 기상가뭄이 전국평균에 비해 현저히 높으며 최근 10년간 이러한 현상이 잦아짐에 따라 기후변화에 따른 겨울 강수량의 추세를 면밀하게 분석할 필요가 대두되고 있다(Chungcheong Today, 2025).
3. 분석 자료 및 방법
3.1 분석자료
본 연구는 현재 기상청 종관관측자료(이하 본 논문에서 AWS로 표기함), 미래 예측을 위해서 CORDEX 자료 3종, 그리고 농촌진흥청에서 고해상도로 재분석한 GCM기반 국가 표준 시나리오 10종을 결합하여 계절강수량의 장기 추세를 분석하였다. 지역 기후 모델(RCMs)의 성능을 비교·평가하기 위해 국제적으로 통합된 연구 프레임워크인 CORDEX 데이터를 활용하였다. CORDEX는 전 세계적으로 표준화된 지역 기후 다운스케일링 실험으로, 다양한 기후 모델 간 비교 분석을 가능하게 하여 지역 기후 변화 연구의 신뢰도를 높이는 것을 목표로 한다(Giorgi et al., 2009). 특히, CORDEX는 CGCM (결합대기-해양 대순환 모델) 및 ESM (지구 시스템 모델)의 동적 다운스케일링(dynamical downscaling)을 기반으로, 국지적인 지형 및 대기-해양 상호작용을 보다 정밀하게 모의할 수 있도록 설계되었다. 또한, 해륙풍 및 산악 강수 등 서브 그리드 규모(sub-grid scale)의 기상 과정까지 고려할 수 있어, 태백과 같은 지형이 급격하게 변화하는 지역에서 보다 정밀한 기후 예측을 수행하는 데 적합하다. 본 연구에서는 이러한 CORDEX 데이터를 활용하여 서울, 대전, 태백 세 지역의 계절별 강수량 변동성과 기후 특성을 분석하고, 다양한 RCM 모델의 성능을 비교하였다(Giorgi et al., 2009; Huang et al., 2015).
시나리오의 불확실성을 파악하고, 각기 다른 공간 해상도를 가진 자료의 정보를 통합하기 위해 총 18개의 GCM 자료를 앙상블 하여 활용하였다(Table 2). 미래 기후변화를 파악하기 위하여 본 연구에서는 기후변화로 인한 사회 변화에 따른 기후변화 범주를 파악하기 위하여 IPCC AR6의 공통사회경제경로(SSP)중 가장 낙관적인 저탄소 시나리오 SSP1-2.6와 가장 비관적인 고탄소 시나리오 SSP5-8.5를 사용하였다.
Table 2.
12 Datasets used in this study
3.2 국소회귀분석 (Locally Estimated Scatterplot Smoothing, LOESS)
국소회귀분석(이하 LOESS)는 전역 함수 대신 여러 개의 국소 회귀를 적용하여 노이즈가 많은 데이터에서 추세를 식별하는 비모수 회귀 방법이다(Cleveland, 1979). 이는 moving window 방식을 사용하여 데이터의 작은 단위의 하위 집합을 선택한 후, 다항식(일반적으로 선형 또는 이차 함수)에 회귀 하는 방법이다. 이는 고전적인 최소자승법(Least Squares Method)의 단순성과 비선형 회귀(Nonlinear Regression)의 유연성을 결합한 최신 회귀분석 방법으로써 하위집합에 정의된 모함수없이 비선형 관계를 부드러운(Smoothed) 곡선을 이용하여 효과적으로 포착하는 데 유용하다.
LOESS는 복잡한 경향을 가진 변수들의 비선형 추세를 이해하는데 용이하나, 다차원 자료의 분석에는 적합성이 떨어질 수 있으며 이상치(Outlier)에 대한 민감도가 높아 일부 극단적인 값이 전체 회귀 결과에 영향을 줄 수 있다는 한계가 존재한다(Gijbels and Prosdocimi, 2010). 따라서 본 연구에서 쓰이는 미래 강수량 분석과 같이 이상치가 빈번하게 나타나고, 다량에 데이터를 한번에 적합시키는 경우에 한계가 따를 수 있다. 또한 본 연구 목표 중 하나인 가뭄, 우기, 평균 강수량의 경향성을 동시에 파악하기에는 어려움이 따를 수 있다. 따라서 본 연구에서는 자료의 전체적인 경향성을 예비결과로 도출하기 위해 전체 자료에 LOESS를 적용하여 강수량의 개략적인 비선형 장기 추세를 이해 목적에 한정지어 사용하였다.
3.2 계층적 일반화 가법 모형(Hierarchical General Additive Model)
일반화 가법 모형(Generalized Additive Models, 이하 GAM)은 선형 공변량 대신 비선형 스무스 함수(Smooth function)를 기반으로 회귀 분석을 수행하는 통계 모델이다. GAM은 일반화 선형 모델(Generalized Linear Models, GLM)을 기반으로 발전된 모델 방법이므로 GLM과 같이 회귀항(Regression terms)이 정규 분포 이외 다양한 분포를 가진 데이터를 모델링할 수 있도록 설계되어 있으며 모수, 비모수 모형에서 모두 다 사용할 수 있다. 특히, 분포형의 매개변수 모델링에 선형회귀식만 적용할 수 있는 GLM의 한계를 보완한 GAM은 비선형 항(Nonlinear terms)을 기반으로 매개변수의 움직임을 모의할 수 있다는 강점이 있다(Wood, 2008; Pedersen et al., 2019). 비선형 항이 시계열 데이터에 적용되면 불규칙하게 변화하는 시계열, 대표적으로 본 연구 대상인 계절 평균 강수량, 에 대한 비정상적인 경향성을 모의할 수 있다.
이런 장점으로 인하여 GAM모델링은 생태학, 수문학, 기상학 등 다양한 분야에서 시계열을 분석하는데 활발히 쓰이는 모델링 기법중 하나이다. 예를들어, Yee and Mitchell (1991)이 본 모델이 식물 생태학에서 기후조건에 따른 종 분포를 분석하는데 유용하다는 것을 소개하였으며 이후 많은 학자들이 기후변화 하에서 생물종의 변화를 분석하는데 GAM모델을 활발히 사용하였다(Usinowicz, et al. 2017; Tilahun et al., 2024; Zhang et al., 2024). Shiau (2020)과 Stagge and Sung (2022)은 각각 중국과 미국의 가뭄의 비정상성 특성을 분석하는데 GAM모델을 적용한 바 있다. 또한 국내에서는 Choi and Yoon (2020)이 GAM을 적용하여 겨울철 저온과 교통사고 발생과의 관계를 분석하는 등 활발하게 사용되어왔다.
이 중에서도 HGAM은 GAM을 발전시킨 형태로, 여러 그룹의 데이터를 다룰 때 공통 패턴과 개별 특성을 효과적으로 반영할 수 있게 고안된 모델이다(Pedersen et al., 2019). GAM은 모든 데이터를 하나의 곡선으로 회귀하기 때문에 여러 종류의 데이터를 사용하는 경우 다른 회귀방법과 같이 데이터 간 차이를 놓칠 수 있고, 그룹별로 독립적으로 회귀하는 경우 상대적으로 데이터가 적은 그룹에서 불안정한 결과가 나타날 수 있다는 한계를 가지고 있다. 이를 극복하기 위하여 HGAM은 모든 그룹의 변화를 반영하는 공통 회귀항과 그룹별 회귀 항을 함께 결합하여 모델하는 방법을 취한다. 이 방법은 공통 경향성을 유지하면서 각 그룹의 특성을 유연하게 반영하기 때문에 데이터가 적거나 노이즈가 클 경우에도 안정적인 추정이 가능할 뿐 아니라 그룹별 곡선이 공통 곡선에서 크게 벗어나지 않도록 패널티를 부여해 과적합을 방지할 수 있어 결과에 신뢰성을 높일 수 있다는 장점이 있다(Pedersen et al., 2019).
본 연구에서는 다양한 형태의 편차가 존재하는 자료들을 사용하기 때문에 각 데이터에서 얻어진 정보를 결합하여, 기후변화에 따라 서서히 변화하는 감마 확률분포형(Gamma Distribution)의 위치, 형상 매개변수의 모든 자료가 내포한 공통적인 추정치를 도출하기에 GAM모델링, 특히 HGAM기법이 가장 적절하다고 판단되어 본 방법을 적용하였다.
특히, 계절 강수량의 평균강수량 및 이상치(Anomaly)를 도출하는 방식은 강수량을 분포형에 적합(Fitting) 한 후 강수량의 발생 확률을 계산한다는 점에서 기상학적 가뭄지수인 SPI를 계산하는 방식과 유사하다(Guttman, 1999). 따라서 본 연구에서는 저자가 앞서 개발한 비정상성 가뭄지수(NSPI)를 기반모델로 삼고 이를 본 연구에 맞게 변형하여 분석을 수행하였다(Sung et al., 2024b; Stagge and Sung, 2022) NSPI 모델은 GAM을 기본 구조로 활용하여 자료 간 동화 및 각 자료 고유 편향을 동시에 분석할 수 있는 방식으로, 편향 보정 및 추세 분석을 동시에 수행할 수 있도록 개발되었다(Sung et al., 2024a).
본 연구에서는 해당 모델을 활용하여 3개월 평균 강수량의 정규화시킨 후, 시기별(평상시, 우기, 가뭄) 강수량을 분석하였다. 특히, 기후의 비정상성을 모사하기 위해 월별 및 연도별 누적 강수량을 감마 확률분포형에 맞추고, 해당 계절의 분포형이 10년마다 서서히 변화하도록 모델링하였다(Stagge and Sung, 2022). 즉, 해당 분포형의 매개변수를 10년마다 다른 스플라인 회귀식에 적합하는 방식으로 모델링하였다(Pedersen et al., 2019). 본 연구를 위해 개발된 분포형과 매개변수에 대한 회귀식은 Eqs. (1), (2), (3)에 나타내었다. 특정년도 y의 3개월(m-2, m-1, m개월) 평균 강수량은 감마 확률분포형에 적합되므로(Eq. (1)), 은 확률 p값을 가질 때 위치매개변수(Location parameter) μ, 형상매개변수(Shape parameter) α를 갖는 감마 분포의 역누적 분포함수를 의미한다.
Eqs. (2) and (3)은 감마 분포의 매개변수가 비선형적으로 변화하는 것을 모의하였다. 두 방정식에서 첫 항()은 모든 자료에 공통으로 적용되는 모든 기간 및 모든 계절에서의 일관적인 편차(y절편)를 의미하며, 두 번째 항()은 각 계절동안 자료 고유의 편차를 나타낸다. 세 번째 항, ()는 텐서 스플라인을 베이스로 각 계절별 비정상성 장기 추세를 분석한다. 본 모형을 이용하여 각 자료별로 다르게 적합되는 되는 μ와 α를 통하여 자료별로 적합한 감마 확률분포형을 파악할 수 있다. 그 후 자료의 편향 보정을 위하여 저자는 1) AWS자료는 관찰값이므로 미래 예측인 GCM에 비교하여 상대적으로 매우 신뢰할 수 있다 2) GCM 자료의 편향 크기는 관찰값과 겹치는 기간 즉, 2010-2024년 기간의 편향이 자료 전 구간에서 동일하게 나타나지만 이는 계절에 따라서는 달라진다는 가정을 수립하였다. 두 가정은 미래 예측자료의 편향보정에서 일반적으로 사용되는 가정이다. 두 가지 가정을 바탕으로 GCMs의 계절별 장기 추세 모델링시 AWS관측자료를 기준으로 분포형을 보정하는 방법으로 편향 보정을 수행 하였다. 이와같이, 개발된 모델을 통하여 각 자료가 공통으로 가진 추세정보를 추출하여 장기 추세를 분석하고, 예측값 생성시 자료간 편향을 보정하는 작업을 동시에 수행하였다. 모델에 대한 자세한 설명은 Sung et al. (2024b)에 서술되어 있다.
4. 결 과
연구 결과로 12종류의 자료가 각각 예측한 서울, 태백, 대전 지점의 계절 강수량을 비교하고, 각 자료의 계절별 고유 편차를 포함한 장기 추세 분석 결과와 관측자료(AWS)를 중심으로 보정한 장기 추세 분석결과를 나타내었다. 이후, 각 지점별로 SSP 1-2.6과 SSP 5-8.5 시나리오에 따른 장기 추세를 추산하였으며, 이 과정에서 평균 강수량 및 상위 98%(SPI = +2, 극심한 습윤 상태)와 하위 2%(SPI = -2, 극심한 가뭄 상태)의 강수량 장기 추세도 함께 분석하였다.
4.1 지점별 강수량
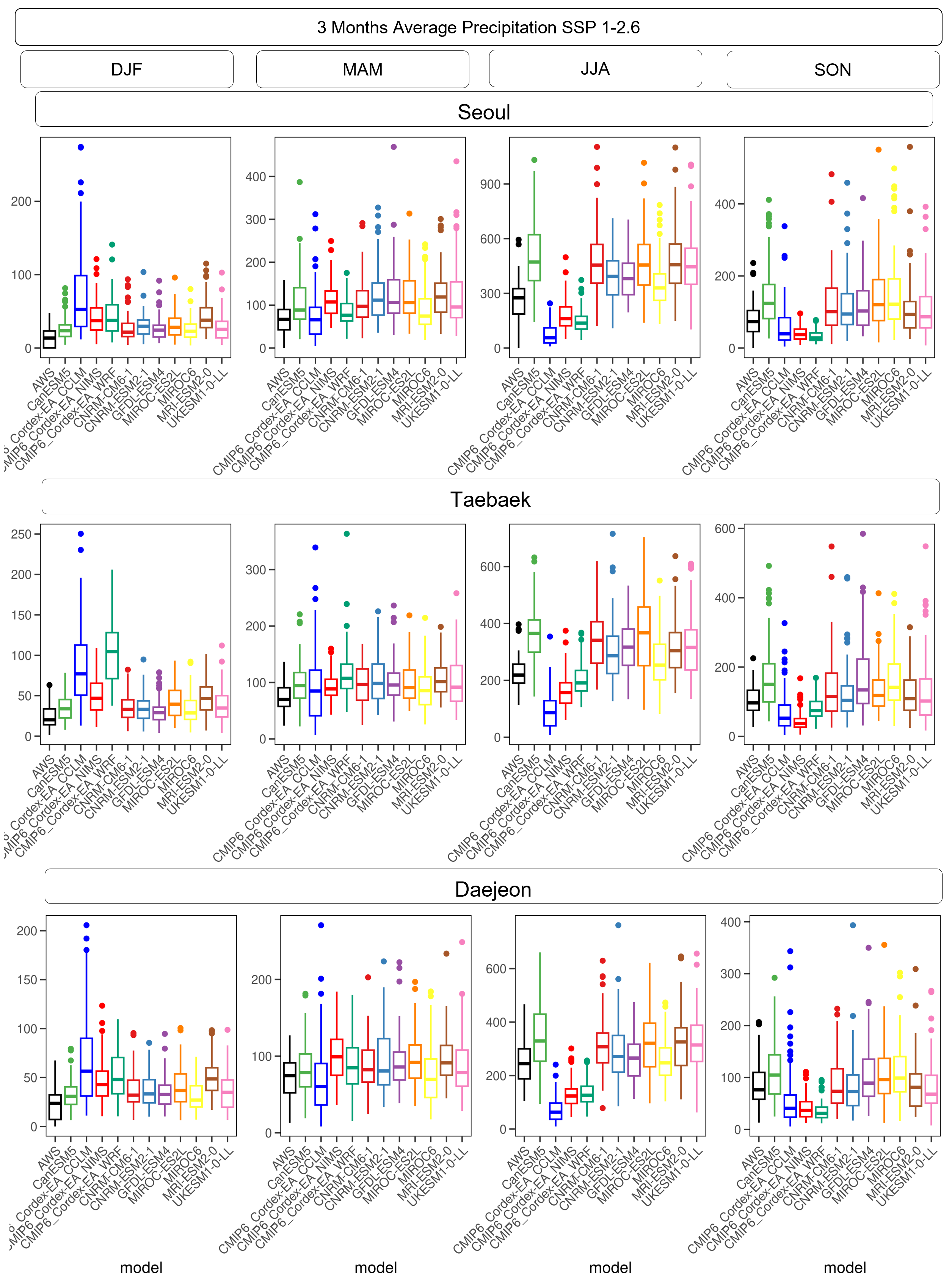
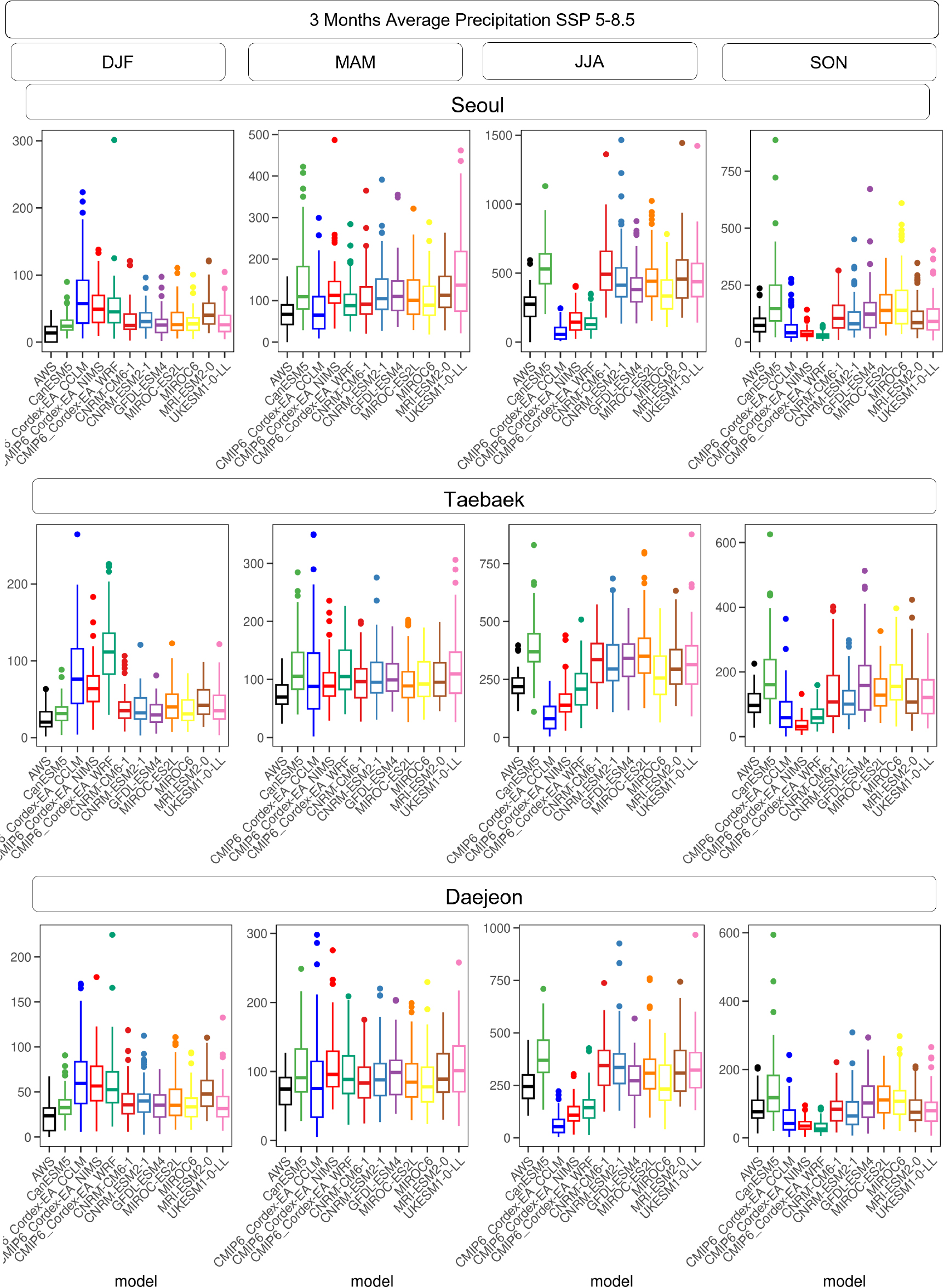
본 장에서는 자료별 계절별로 3개월 평균 강수량의 특징을 분석하였다. Table 3에 탄소배출량 별 미래 시나리오 자료와 관측값 자료의 특성을 비교하여 나타내었고 Figs. 2 and 3은 실제 자료값과 그 평균값의 변화를 나타내었으며 Figs. 4 and 5는 각 자료별 평균과 표준편차를 박스플랏을 통해 나타내었다. 분석결과, 강수량 예측값의 편차는 자료별로 매우 크며 이 편차는 계절별로 상이한 경향성을 보인다는 점을 확인하였다(Figs. 2, 3, 4, 5). 이 중 CORDEX 자료는 모든 연구 지점에 대해 계절마다 일정한 편차를 보이며 이는 두 가지 시나리오 모두 유사하게 나타났다. CORDEX-CCLM자료는 겨울(DJF)에 관측자료(AWS) 대비 강수량을 과대예측하는 경향이 뚜렷하였다. 반면 여름(JJA)과 가을(SON)에는 모든 CORDEX 자료가 과소예측하는 경향을 보였으며 봄(MAM)에는 상대적으로 관측값과 가까운 예측력을 보였다(Figs. 4, 5, 6, 7). 특히, 박스플랏(Figs.6 and 7)을 보면 서울지역의 SON에서는 세 가지 CORDEX자료모두 관측값과 다른 미래 시나리오에 비해 강수량을 과소 예측하는 경향이 뚜렷하게 나타났다.
이러한 자료의 편차는 SSP 1-2.6과 SSP 5-8.5의 시나리오간 차이는 크지 않고 계절마다 일정한 패턴을 유지하는 것으로 나타났다. 다만 SSP 5-8.5에서 전체적으로 자료간 변동성이 더 커지는 특징을 보였다(Table 3). 8개의 표준 시나리오는 자료별로 편차에 대한 일관적인 경향성은 확인되지 않았으나 대체로 겨울, 봄, 가을에는 관측값의 표준편차가 10-90 mm사이로 비교적 관측값과 유사한 수준으로 강수량을 예측한 반면 여름에는 자료별로 예측값이 크게 분산되며 표준편차가 100 이상인 큰 편차를 보였다. 여름의 평균 강수량이 상대적으로 매우 높음을 감안하더라도 편차가 매우 큰 수준임을 알 수 있다(Table 3).
Table 3.
Summary statistics for observational and scenario-based climate model data
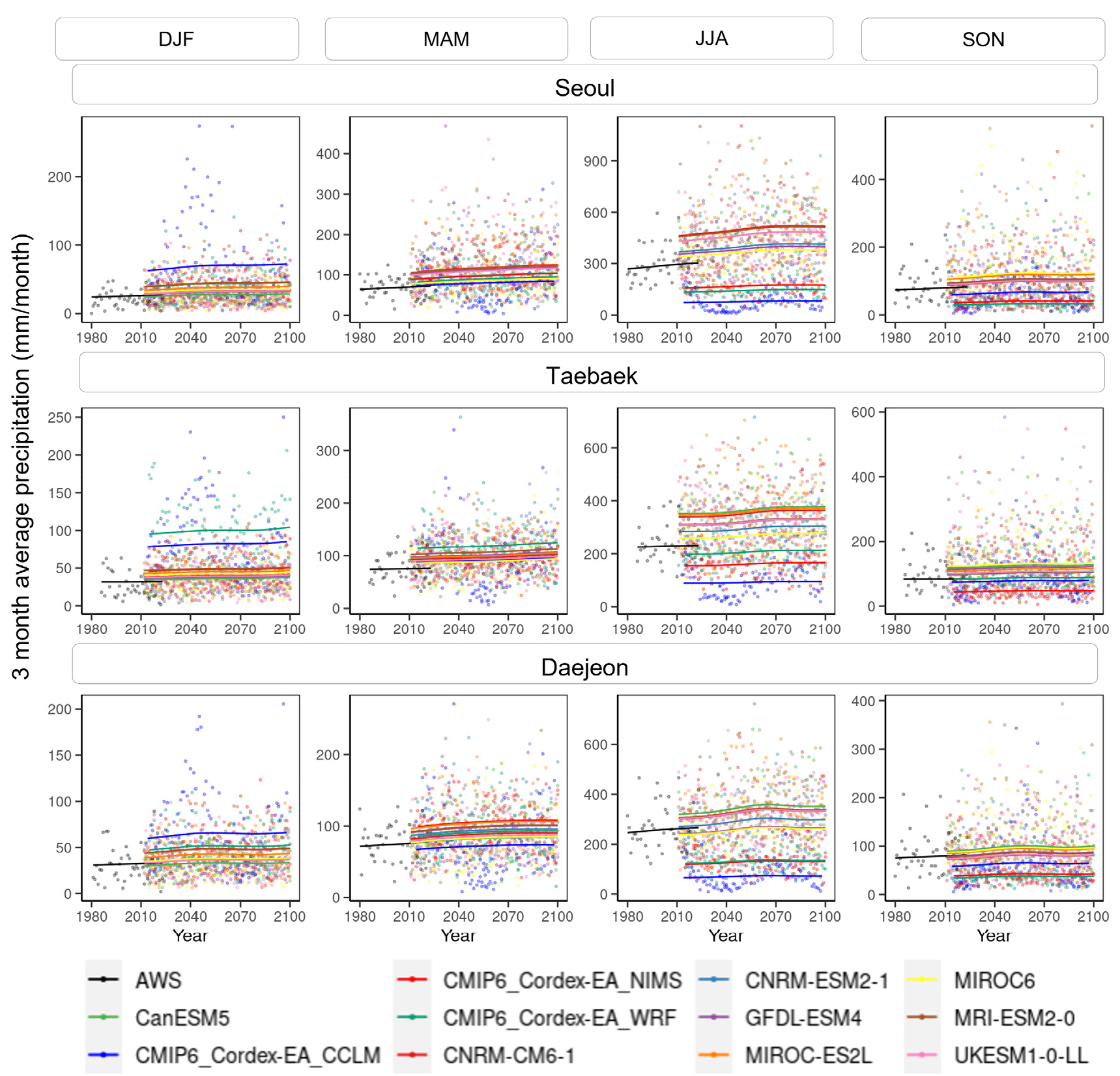
서울과 대전의 경우, 2015-2024년의 모든 자료에 대한 LOESS 회귀값이 관측값(AWS)과 모든 계절에서 잘 일치하는 경향을 보이는 반면, 태백은 전반적으로 큰 편차를 보였고, 특히 여름과 겨울 기간에 큰 편차를 나타냈다(Figs. 4 and 5). 박스 플랏 역시 이러한 경향성을 잘 보여주는데, 여름(JJA)기간의 태백의 강수량 분포는데이터간 많은 차이를 보이고, 겨울(DJF)에서는 CORDEX 세 가지 데이터가 관측값과 고해상도 시나리오자료와 큰 격차를 보였다(Figs. 4 and 5). 본 결과를 통하여 다양한 모델 및 시나리오가 강수량 예측의 불확실성이 크다는 점을 확인하였다.
특히 CORDEX 자료는 겨울의 과대예측 및 여름과 가을은 과소예측하는 경향성이 있음을 보여준다. Figs 2 and 3의 CORDEX-EA_CCLM(파란선) 자료의 예측값은 겨울(DJF)기간에 모든 연구 지점에서 공통적으로 다른 자료에 비해 큰 예측값을 보였고, CORDEX_EA_WRF는 태백지역의 겨울에 뚜렷한 과대추정 경향을 보였다. 이는 박스플랏에서도 나타나는데, 예를 들어 Fig. 4에서 CORDEX-EA_CCLM은 서울지역의 겨울 강수량을 최대 300 mm까지 예측하여 약 100 mm 정도의 최대치를 예상하는 다른 데이터들에 비해 매우 큰 예측값을 보였다. 이러한 결과는 향후 기후 분석에 CORDEX 동아시아 자료를 사용시 이러한 경향성을 인지하고 결과를 분석하는 것이 매우 중요함을 의미한다. 해당 자료의 개발 연구진인 Velasquez et al. (2020)은 태백 지역의 여름과 겨울의 자료의 편차가 큰 이유는 격자가 큰 CORDEX자료의 고도 및 지역 기후 특성 반영 정도가 고해상도 표준 시나리오와의 차이에서 기인할 것으로 추정한 바 있다. 향후 후속 연구를 통한 해당 편차의 물리적 관계성 분석이 요구된다.
4.2 자료 고유 편향(Bias)과 장기 추세 분석
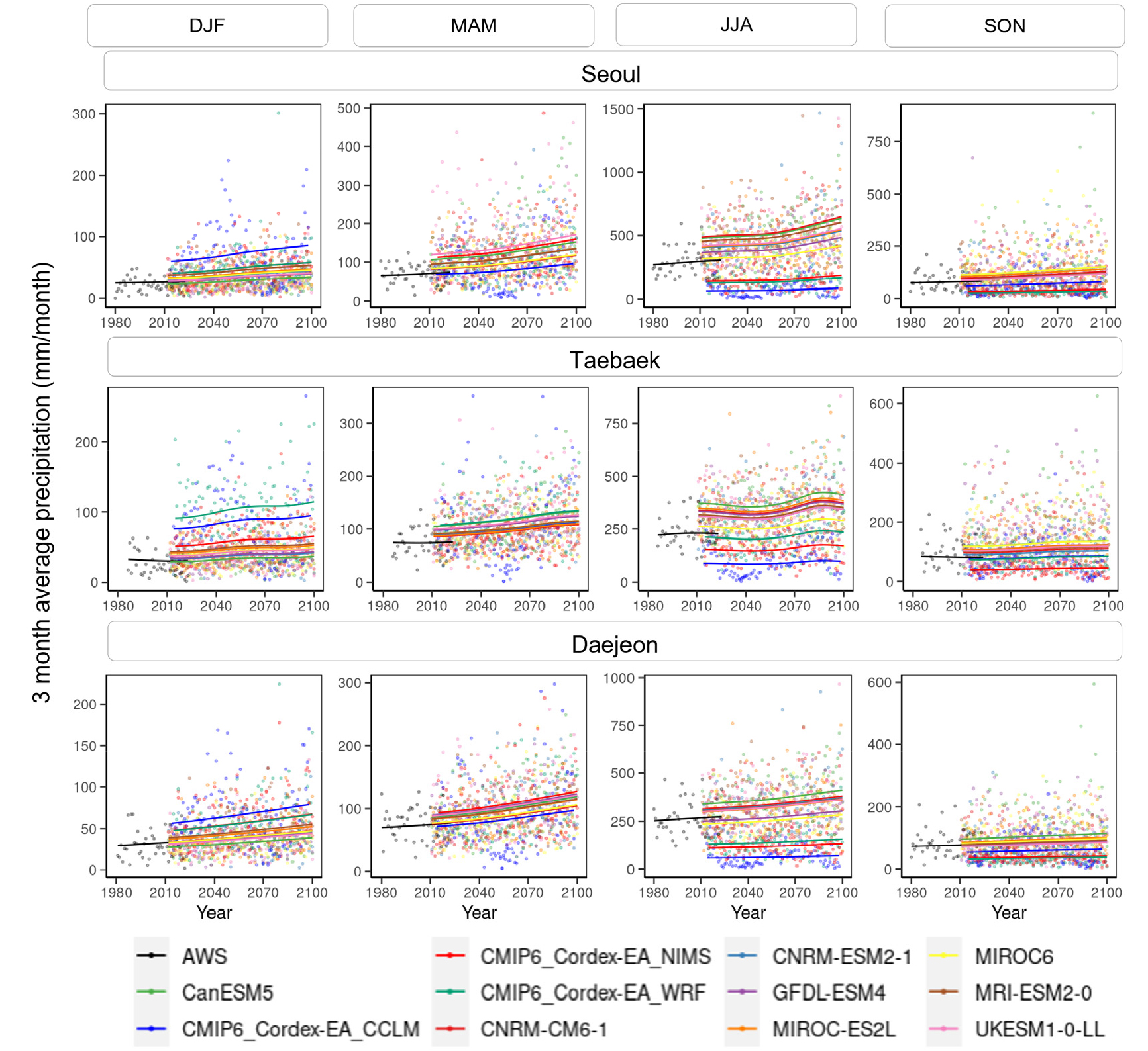
계층적 일반화 가법 모형 GAM (Generalized Additive Model)을 이용한 장기 경향성 분석 후, 관측자료(AWS)의 추세와 다른 자료들의 경향성 간 차이를 통해 강수량 예측의 편차를 계절별로 정량화하였다(Figs. 6 and 7). 두 시나리오 모두에서 전반적으로 모든 자료가 관측자료와 유사한 추세를 보였으나 CORDEX-CCLM과 CORDEX-WRF는 겨울(DJF)에 강수량을 과대예측하는 경향을 보이고, CORDEX-NIMS의 경우 겨울 봄 강수량은 타 자료들에 비해 높은 정확도를 보이는데 반해 여름 강수량을 과소예측하는 경향이 두드러지게 나타났다. 또한 일부 국가 표준시나리오(Cordex-EA_NIMS)는 미래 여름 강수량을 과대예측하였으며 이는 서울과 대전 지역에서 특히 두드러졌다(Figs. 6 and 7). 전반적으로 여름(JJA)에 모형 간 편차가 표준편자 100 mm이상으로 가장 크게 나타났으며, 이는 국지적인 대류성 강수(Convective Precipitation), 장마(Monsoon) 및 지형 특성을 반영하는 능력이 모형마다 다르기 때문으로 판단된다(Giorgi et al., 2009). 위치적 측면에서는 태백 지역에서 가장 모형 간, 계절 간 편차가 크게 나타났다(Table 3).
또한 본 연구 결과에 따르면, SSP5-8.5 시나리오(Fig. 7)가 SSP1-2.6와 비교하여 예측 강수량이 전반적으로 증가하는 경향을 보이며, 장기 추세 또한 상향하는 것을 보였다. 특히, 봄, 가을 강수량은 관측자료에 비해 매우 가파른 상승 추세를 보였다. 이외에도, 본 연구에서는 CORDEX-WRF와 CORDEX-NIMS가 태백의 겨울 강수량과 대전의 여름을 제외한 나머지 경우에 전반적으로 안정적인 추세를 유지하며 관측자료와의 편차가 상대적으로 적은 것을 확인했다. 또한 먼 미래가 될수록 모든 연구 지역과 계절에서 모델별 편차가 커지는 경향이 뚜렷해짐을 발견하였다. 이러한 결과는 모델 간 차이를 유발한 원인에 대한 후속 연구가 필요하고 이를 기반으로 모델 별로 편차에 대한 상세한 정량화가 이루어져야 함을 시사한다. 더 나아가, 매우 먼 미래(2080-2100년)에 대한 예측을 위해 기후 변화 시나리오 자료 이용시, 불확실성에 대하여 충분히 고려하여야 함을 강조한다.
4.3 편향 보정 후 가뭄, 우기, 평균 계절 강우 추세
마지막으로 4.2장에서 보여진 각 자료의 고유 편차를 관측자료(AWS)와 중복된 기간과 일치되도록 보정한 후, 연구 지점에서 관측기간과 미래예측 기간을 통합한 자료 전 기간 계절 강수량의 비정상성 장기 추세를 파악하였다. Figs. 8 and 9는 GAM을 이용한 편향 보정 및 장기 추세를 분석한 결과를 보여준다. 장기 평균은 실선으로 나타냈으며 극심한 습윤상태를 의미하는 강수량 상위 2%(SPI = +2)와 극심한 가뭄상태를 의미하는 강수량 하위 2%(SPI = -2)사이 범위를 음영처리 하였다.
Fig. 8(SSP1-2.6)과 Fig. 9(SSP5-8.5)은 계절별 장기 평균 강수량이 SSP 1-2.6에서 상대적으로 안정적으로 유지됨을 보여준다. 서울과 대전의 봄, 여름 평균강수량은 서서히 증가하나 두드러지는 상승세를 보이지 않는다. 태백의 봄, 여름 평균 강수량은 증가하지 않는 것으로 나타났다. SSP1-2.6일 때 극한 습윤(SPI = +2) 및 극한 가뭄(SPI = -2) 상태에서의 강수량은 평균 강수량에 비해 상대적으로 변화폭이 큰 것으로 나타났다. 특히, 서울의 SPI = +2에서의 강수량은 평균에 비해 강수의 증가폭이 두드려짐을 보였는데 이는 평균강수량은 동일하게 유지됨에도 발생확률이 상위 98%인 강수량은 더욱 증가한다는 것을 의미한다. 다시 말해서 미래에는 동일 발생확률의 강수가 더 극적으로 커질 것으로 예측하였다.
반면, SSP 5-8.5에서는 평균 강수량이 SSP 1-2.6에 비해 눈에 띄게 증가하는 추세를 보였다(Fig. 9). 평균강수량의 증가 추세는 서울, 대전의 봄, 여름 계절에 가장 두드러졌으며, 겨울 평균 강수량 역시 서서히 증가하는 것으로 나타났다. 또한 태백의 평균 강수량은 모든 계절에서 SSP5-8.5에서도 변화가 크지 않음을 확인하였다. 본 결과에서 주목해야 할 점 중 하나는, 세 도시 모두 여름 강수량의 SPI= +2 와 -2사이의 강수량의 편차가 증가한다는 점이다. 이는 평균보다 비가 극단적으로 적게 오는 해와 많이 오는 해의 강수량 변동성이 크게 확대될 수 있음을 경고하며 앞으로 기후변화가 한반도에서 여름철 홍수와 마른장마 같은 이상기상 현상을 증가시킬 가능성이 높음을 시사한다.
5. 결 론
본 연구는 한반도의 계절 강수량 변화를 예측하기 위해 국가 표준 기후변화 시나리오, CORDEX, 및 관측자료(AWS)를 통합적으로 분석하고, GAM 모델링 기법을 적용하여 강수량의 비정상성 장기 추세를 도출하였다. 12종의 강수량 자료 비교 결과, 계절별, 지역별로 자료간 편차가 모두 다르게 나타남을 확인하였다. 또한 태백 지역에서는 여름과 겨울 자료 간의 강수량 편차가 상대적으로 크게 나타났는데 이러한 결과는 지역적 특성과 지형 효과를 보다 정밀하게 반영할 수 있는 보정 기법 개발의 필요성을 강조한다.
장기 추세 분석 결과 SSP 1-2.6 시나리오에서는 강수량 변동성이 상대적으로 작고 현재와 유사한 수준에서 유지될 가능성이 높은 반면, SSP 5-8.5 시나리오에서는 평균 강수량 증가와 함께 극단적인 우기 및 가뭄 상태의 빈도와 변동성이 크게 증가할 것으로 전망되었다. 특히 SSP 5-8.5 시나리오에서 확인된 여름철 강수량 변동성의 확대는 홍수 및 마른장마와 같은 이상기상 현상의 발생 가능성 증가에 대한 주의가 필요함을 의미한다. 이러한 결과는 기후변화가 단순히 평균 강수량의 증가만을 초래하는 것이 아니라, 강수 패턴의 비정상성을 심화시키고 극단적인 기후 현상의 발생 가능성을 높일 수 있음을 시사한다.
본 연구를 통하여 분석을 통하여 연구진은 GAM 기반 분석이 다양한 자료를 통합하여 비선형적이고 비정상적인 강수의 복잡한 변화를 효과적으로 포착할 수 있는 잠재력을 확인하였다. 또한, 이 방법은 계절별 평균 강수량뿐만 아니라 극단적인 우기와 가뭄 상태에서의 장기 추세를 함께 분석할 수 있어, 미래 기후변화가 한반도 전역에 미칠 영향을 보다 심층적으로 이해할 수 있는 과학적 결과를 제시할 수 있었다.
연구결과를 더욱 발전시키기 위해 향후 연구를 통하여 관측자료(AWS)를 기반으로 자료별 신뢰도를 개선할 수 있는 방법을 강구할 필요가 있다. 특히, 태백과 같은 고산 지역의 강수 예측 정확도를 높이기 위해 지형 효과와 국지기후 특성을 고려한 추가적인 분석이 필요할 것으로 판단된다. 또한 본 연구에서 사용되지 않은 국가표준시나리오를 추가로 확보하여 자료에 대한 면밀한 검토를 수행하고, 연구 대상지역 뿐 아니라 다른 지역에도 추가적으로 개발된 모델을 적용하여 강수량 장기추세를 분석할 필요가 있다.
본 연구의 결과 및 추후 연구들은 한반도 내 소규모 지역의 평균 강수량과 우기 및 가뭄의 특성을 계절별로 세밀히 파악하는 데 기여하며, 수자원 관리 및 기후변화 적응 정책 수립을 위한 과학적 근거를 제공할 것이다. 이를 통해, 지역별 기후변화에 대한 이해도를 높이고, 기후 위기에 대한 적응 및 대응 전략 마련을 위한 실질적인 정보를 제공할 것으로 기대한다.











