1. 서 론
2. 연구 방법과 대상자료
2.1 증발산식 및 모형
2.2 Bayesian 추론방법
2.3 가뭄지수 EDDI
2.4 대상유역 및 입력자료
3. 연구 결과
3.1 매개변수 추정 결과 및 모형 검증
3.2 가뭄사상 평가
4. 결론 및 토의
1. 서 론
지구의 대기 및 지표면은 태양에너지로 인해 물의 상태변화가 진행됨에 따라 물 순환(hydrologic cycle)이 발생하며, 물의 균형이 일정하게 유지된다. 수문학적 순환의 주요 요소인 증발산(evapotranspiration, ET)은 지표면과 토양수분이 기체 상태로 변환되는 과정인 증발(evaporation)과 및 토양 속 수분이 식물체를 통해 대기로 방출되는 과정인 증산(transpiration)을 총칭한다. 즉, 증발산은 지표면의 수분이 대기로 이동하는 것을 의미한다. 증발산은 수문학적 순환 측면에서 강수 총량과 같아야 하기에 수자원 관리 측면에서 물 손실을 의미한다. 따라서, 수자원의 효율적인 관리계획 수립을 위해서는 용수의 수요분석이 필요하며, 이를 위해서는 증발산량을 추정 및 예측하는 것이 필요하다.
증발산은 잠재증발산(potential evapotranspiration, PET)과 기준증발산(reference evapotranspiration, ET0)으로 구분된다. Yates and Strzepek (1994)에 의하면 잠재증발산은 주어진 기상조건에서의 단위면적당, 단위시간당 자유 수면에서의 가능한 증발산으로, 유역의 토양이 수분으로 완전포화되어 있는 상태에서의 증발산을 의미한다. 기준증발산량은 특정조건(작물높이 = 0.12 m, Albedo = 0.23, 표면저항 = 70 s/m, Grass 식생 표면)에서 충분한 수분이 공급되는 경우의 증발산이다(Allen et al., 1998). 잠재증발산은 물이 제한되지 않는 조건인 자유수면에 대한 증발산이므로 일반적인 지표에 확대하여 적용하기 어려우므로 많은 연구에서 기준증발산을 활용하고 있다. 실제 증발산량을 측정하기 위하여 라이시미터(lysimeter)를 이용하지만, 직접 측정하는 것은 많은 시간 및 노력이 요구되므로 다른 방법을 통해 증발산량을 추정한다.
증발산 추정 방법으로는 미기상학적 방법(micrometeorological methods), 토양 물수지 방법(soil water balance methods), 증발산계, 기상인자로부터 계산하는 방법 등이 있다(Allen et al., 1998). 미기상학적 추정방법은 지표면에서 발생하는 에너지 교환 현상을 통해 증발산을 추정하는 방법이다. 복사에너지 형태의 많은 양의 에너지는 물을 증발시키고, 식물체 표면에서는 에너지 교환에 따라 증발산과정이 발생하는데 이때, 도달 에너지와 방출 에너지가 동일해야 한다. 에디공분산(Eddy covariance)방법은 난류의 연직 플럭스와 수증기 농도를 측정하고 보존방정식에 근거하여 증발산량을 계산하는 방법이다(Baldocchi et al., 1988). 두 번째 토양 물수지방법은 일정 기간의 토양 속에 유입 및 유출되는 물의 양을 평가함으로써 토양에서 발생한 증발산량을 추정하는 방법이다. 미기상학적 방법을 포함한 방법들은 현장 관측값이 요구되며, 실제 관측이 쉽지 않다. 그러나 기상인자를 통한 증발산 추정 방법은 기상인자만 구축되어 있다면, 다른 추정 방법과 비교해 용이하게 증발산을 추정할 수 있다. 즉, 증발산을 기상인자(최고/최저기온, 일조시간, 상대습도, 풍속)와의 물리적인 관계를 통해 제시하였으며, 대부분 경험적 추정을 통해 평가되었다. 대표적인 방법으로는 FAO56 Penman-Monteith (Allen et al., 1998), Priestley-Taylor (Priestley and Taylor, 1972), Hargreaves (Hargreaves and Samani, 1982; 1985), Thornthwaite (Thornthwaite, 1948), Blaney-Criddle (Blaney, 1952) 등이 있다. 이 중 가장 정확성이 높은 FAO56 Penman-Monteith 계산식(이하 FAO56 PM)은 최고/최저기온, 일조시간, 상대습도, 풍속으로 식이 구성된다. 국제연합식량농업기구(FAO)와 각국 기상청에서는 FAO56 PM을 통해 증발 및 증발산량을 산정하고 있으며, 기상청에서는 2016년 7월부터 증발량 목측 관측을 중지하고 FAO56 PM 식으로 계산한 증발량을 제공하고 있다. Smith et al. (1992)은 증발산량 실측자료가 존재하지 않을 경우, FAO56 PM 식이 다른 공식을 비교하기 위한 기준방법론이라고 추천하였다. 국내 연구에서는 FAO56 PM 식의 결과와 다른 증발산식을 비교 및 보정하는 연구들이 수행되었다(Lee and Park, 2008; Lee et al., 2008; Moon et al., 2013; Kim et al., 2017; Moon, 2018; Kim et al., 2020). 그러나 FAO56 PM 식은 많은 기상요소가 필요하며, 이러한 점을 고려하여 온도인자 기반의 Hargreaves 식을 보정하거나 매개변수를 재추정하는 연구가 수행되었다. Moon et al. (2013)가 기상청 종관기상관측소에 대해 Hargreaves 식의 매개변수를 지점별로 추정하였고, Kim et al. (2017)은 안동댐 유역을 대상으로 FAO56 PM 방법을 활용하여 잠재증발산량을 추정하였으며, 제한적 기상자료만 존재할 경우에 대해서도 비교하였다. Moon (2018)은 기후변화시나리오의 미래 온도자료를 활용해 연 강수량과 연 기준증발산량의 비율을 산정하였으며, 이를 통해 미래 기간 가뭄 발생 가능성을 검토하였다.
가뭄의 직접적 원인은 강수 부족이며, 폭염과 함께 강수부족이 장기화되면 물을 공급할 수 없는 단계에 이르게 된다. 가뭄은 기상학적(meteorological), 수문학적(hydrological), 농업적(agricultural) 및 사회 ‧ 경제학적(socio-economic) 가뭄으로 구분된다(Wilhite and Glantz, 1985; Correia et al., 1991; Tate and Gustard, 2000). 기상학적 가뭄은 주로 강수량, 수문학적 가뭄은 유량 및 물 가용성, 농업적 가뭄은 증발산 및 토양수분, 사회경제적 가뭄은 사회 및 경제에 영향을 미치는 수자원 공급 및 요구량을 통해 분석된다. 기상학적 및 농업적 가뭄은 강수 부족과 함께 증발산 요구의 증가로 발생한다. 즉, 대기의 건조함과 태양 복사량 증가로 인해 대기 증발 요구량(evaporative demand, E0)이 증가하게 되며, 지표면-대기 사이의 수분 교환이 발생하게 된다.
가뭄지수는 강수, 증발산, 토양수분을 포함한 여러 수문기상요소를 활용하여 가뭄을 분석 및 평가한다. 대표적인 가뭄지수인 SPI (Standardized Precipitation Index; Mckee et al., 1993)는 강수의 부족을 나타내며 기상학적 가뭄을 평가할 수 있는 지수로써 가장 많이 활용된다. PDSI (Palmer Drought Severity Index; Palmer, 1965)는 강수, 기온, 토양수분량을 기반으로 산정되며 농업적 가뭄 평가에 주로 활용된다. 대부분 가뭄지수는 강수를 중점적으로 분석하고 있으며 지표면-대기 사이의 수분 교환을 나타내는 증발 요구량(E0)을 다루지 않고 있다. 최근 대기의 수분 수요의 측면에 관심이 증대됨에 따라 Vicente-Serrano et al. (2010)가 강우와 증발산을 기반으로 한 SPEI (Standardized Precipitation Evapotranspiration Index)를 개발하여 대기 수분 공급(precipitation)과 수분 수요(evapotranspiration)의 차이를 이용하여 가뭄을 모니터링하고자 하였다. 그러나 SPEI는 대기 수분 수요만을 중점적으로 다룬 가뭄지수가 아니기에 최근 증발 요구량(E0)을 기반으로 한 새로운 가뭄지수인 증발수요가뭄지수(Evaporative Demand Drought Index, EDDI; Hobbins et al., 2016)가 개발되었다. 국내외에서 EDDI가 생소하고 연구사례가 부족한 상황이지만, Won et al. (2018)이 EDDI를 국내에 소개하였으며, 기상청 종관기상관측소 자료를 활용하여 전국단위에서의 EDDI와 SPI를 산정하여 비교 및 분석을 수행하였다.
본 연구의 진행 배경은 다음과 같다. 첫째, 증발산 기상인자를 통한 증발산 추정 방법 중 FAO56 PM 식을 이용하면, 정확성 높은 증발산 추정이 가능하지만, 해당 방법은 신뢰성있는 자료 구축이 요구되어 국내의 경우 종관기상 관측소가 존재하지 않는 곳에서는 적용성이 떨어진다. 따라서, 온도인자로 구성된 Hargreaves 식은 단순성 및 적용성이 뛰어나 미계측 지역 또는 미래 기후변화 시나리오에 적용이 가능하지만, 지역마다 수문기상자료가 다르기에 증발산 추정식에 적합한 매개변수 재추정 과정이 요구된다. 둘째, 국내에서 SPI, PDSI 등 여러 가뭄지수에 대한 연구가 활발하지만, 증발요구량 기반의 가뭄지수 EDDI를 활용한 연구사례가 부족한 실정이다. 또한, 매개변수 불확실성에 대한 연구와 이를 활용한 가뭄지수 개발 연구는 제한적으로 이루어지고 있다. 가뭄지수 EDDI의 적용성을 평가하기 위해서는 과거 가뭄사상 기간에 대해 다른 자료와 함께 비교 및 분석하는 것이 필요하다. 따라서, 본 연구는 증발산 산정을 위해 Bayesian 기법을 활용한 Hargreaves 식 기반 대체모형의 매개변수 재추정과 추정된 증발산을 이용한 가뭄지수 EDDI 산정 및 적용성 평가를 목적으로 한다.
2. 연구 방법과 대상자료
2.1 증발산식 및 모형
2.1.1 FAO56 Penman-Monteith 방법
국제연합식량농업기구(Food and Agriculture Organization of the United Nations, FAO)는 Penman-Monteith 방법을 기반으로 FAO56 PM 방법을 개발하였고, 이 공식으로 일단위 이하의 기준증발산량 산정 시 비교적 정확한 결과를 가지는 것을 확인하였다(Allen et al., 1998). 많은 연구논문에서 FAO56 PM 방법의 우수성이 증명되었으며, 세계관개배수위원회(ICID), 세계기상기구(WMO)에서 추천하였다(Chiew et al., 1995; Allen et al., 1998; Garcia et al., 2004; López-Urrea et al., 2006; Cai et al., 2007). FAO56 PM은 다양한 기상요소(온도, 상대습도, 태양복사량, 풍속 등)를 기반으로 산정된 물리 기반의 증발산 추정방법이다.
여기서, ET0 PM는 기준증발산량(reference evapotranspiration, mm/day), Rn는 순복사량(net radiation at the crop surface, MJ/m2/day), G는 토양열속밀도(soil heat flux density, MJ/m2/day), T는 2 m 높이에서의 일평균기온(mean daily air temperature at 2 m height, ℃), u2는 2 m 높이에서의 풍속(wind speed at 2 m height, m/s), es는 일평균 포화수증기압(saturation vapour pressure, kPa), ea는 일평균 수증기압(actual vapour pressure, kPa), es―ea는 포화미흡량(saturation vapour pressure deficit, kPa), △는 포화증기압 곡선의 기울기(slope saturation vapour pressure curve, kPa/℃), 는 건습계 상수(psychrometric constant, kPa/℃)이며, 기준증발산량은 Eq. (1)과 같이 산정된다. FAO56 PM 방법은 정확성이 높아 많은 기관에서 활용되지만, 물리적으로 증발산을 표현하기 위해서는 많은 기상인자가 요구된다. 기상선진국에서는 관측 밀도가 높아 신뢰성 있는 기상자료의 활용이 가능하지만, 개발도상국과 인간의 접근이 어려운 곳의 경우 자료의 신뢰성이 떨어지거나 구축되지 않아 FAO56 PM 방법의 적용이 어렵다.
2.1.2 Hargreaves 방법
Hargreaves and Samani (1985)는 대표적인 온도기반 증발산 계산식인 Hargreaves 식을 제시하였으며, 기준증발산량(ET0)을 산정함으로써 저수지 운영, 수로 설계 등에 활용되고 있다. Eq. (2)로 표현되는 Hargreaves 식은 최고기온(Tmax), 최저기온(Tmin), 평균기온(T)과 복사에너지(Ra)로 구성되어 있으며, Hargreaves (1994)에서 복사에너지(Ra)를 위도와 월에 따라 제시하였다. Allen et al. (1998)은 Penman-Monteith 식의 입력자료가 충분하지 않을 경우, 대체 방법으로 Hargreaves 식을 권고하였다.
여기서, Ra는 대기권 밖에서의 복사에너지(extraterrestrial radiation, mm/day), TR는 최고기온과 최저기온의 차이(temperature range, ℃), T는 평균기온(℃)이다. 특히, 온도 자료만 요구하므로 전 세계적으로 증발산량 추정 및 예측에 많이 활용된다(Hargreaves and Allen, 2003). 그러나 지역에 따라 지형, 고도, 위경도 등의 여러 지리적 요소가 다르기에 증발산도 차이가 존재하므로 지역에 따른 매개변수 재추정이 필요하며, 관련 연구도 많이 진행되고 있다(Lee and Park, 2008; Moon et al., 2013). 본 연구에서는 이 식의 Bayesian 모형 기반의 매개변수 추정 방법을 제시하였으며, 기존 방법론과의 비교를 통해 매개변수 추정 방법의 적합성을 평가하였다.
2.2 Bayesian 추론방법
Bayesian 추론방법은 관측된 자료와 매개변수에 대한 확률모형과 사전분포(prior distribution)를 기준으로 자료 증가로 정보가 갱신되어 최종적으로 사후분포(posterior distribution)를 추정하는 기법을 말한다(Gelman et al., 2004). 기존의 매개변수 추정방법(최우도법, 최소자승법)과 달리 Bayesian 추론방법은 매개변수를 확률분포형 형태로 제시하기 때문에 모형의 적합성, 자료의 신뢰성, 자료의 개수 등에 따른 불확실성을 정량적으로 평가할 수 있다.
Bayes 이론에 따르면, 독립된 두 사상 A와 B가 존재할 때, 결합확률 P(A, B)은 주변확률 P(B)와 조건부확률 P(A|B)를 통해 산정된다. 이러한 특성을 가지고 확률변수 y와 매개변수 집합 이 존재할 때, 두 확률변수의 결합확률분포는 사전분포 와 우도 의 곱으로 나타나며, Eq. (3)과 같이 표현된다. Bayes 정리에서 매개변수 와 변량 y의 조건부확률과 주변확률의 관계는 Eq. (4)과 같으며, Eq. (5)에서 는 사후분포를 나타내며 사전분포 와 우도 의 곱으로 추정될 수 있다(Gelman et al., 2004).
본 연구에서는 Bayesian 추론방법을 활용해 Eq. (2)에서 Hargreaves가 경험적으로 제시한 계수인 0.0023와 나머지 17.8과 0.5를 Eq. (6)과 같이 매개변수 로 가정하여 지점별로 추정하였다.
Bayesian 추론방법을 통한 매개변수 추정은 자료의 확률분포형 선정이 필수적이다. 본 연구에서는 우도(likelihood), 매개변수의 수렴성 및 GLM (generalized linear model)모형의 적용성 측면에서 대수정규분포(Lognormal distribution)가 가장 적합한 것으로 평가되었다. 연속된 곱으로 표현되는 우도함수는 로그함수를 통해 합으로 변환되며, 이를 대수우도함수(log-likelihood)라 한다. 대수정규분포의 우도함수를 Eq. (7)에 제시하였으며, 매개변수를 추정하기 위하여 Bayesian기법을 활용하였다.
매개변수에 대한 사전정보가 거의 없는 경우 사전분포를 결정하기가 어려우며, 이러한 사전분포를 무정보적 사전분포(noninformative prior)라 한다. 반면에, 자료를 기반으로 하는 사전분포를 정보적 사전분포(informative prior)라 하며, 이는 사후분포 추정 시 정보를 제공함으로써 최적 매개변수를 찾는 역할을 한다. Gelman-Rubin 수렴진단 방법을 통해 매개변수 수렴 여부를 판단할 수 있으며, 해당 값이 1.1보다 미만일 경우 수렴이라고 판단한다. 각 매개변수는 Eq. (8)과 같이 사전분포를 정의하였다. 여기서, Yn는 FAO56 PM 식을 통해 산정된 일단위의 기준증발산량(ET0 PM)을 의미하며, 앞서 언급된 바와 같이 평균 과 표준편차 를 가지는 대수정규분포로 가정하였다. 여기서, 매개변수 의 경우 양(+)의 값만 고려하기 위해 감마분포를 부여하였다. 일부 관측소에서 겨울철 일 평균온도가 매우 작아 Eq. (6)에서 (T +)항이 음수로 계산되면, 증발산이 음수로 산정된다. 따라서, Eq. (8c)와 같이 매개변수 가 일 최저온도(Tmin) 이상이 되기 위한 절단된 정규분포(truncated normal distribution)로 가정하였다. 평균 17.8을 기준으로 양(+), 음(-)의 값을 모두 고려하기 위해 정규분포로 선정하였다. Gelman-Rubin 수렴진단 방법을 통해 매개변수 수렴진단 결과, 모든 매개변수가 1.1보다 작은 것을 확인하였다. 사후분포는 Eq. (5)와 같이 Eq. (8)의 사전분포와 Eq. (9)의 우도함수의 곱을 통해 Eq. (10)과 같이 추정할 수 있다.
모든 매개변수를 다중 적분을 직접적으로 추정하는 것은 어려우므로 본 연구에서는 Bayesian Markov Chain Monte Carlo (MCMC)기법 중 깁스샘플러(gibbs sampler) 방법을 이용하여 매개변수를 추정하였다. 깁스샘플러 방법은 두 개 이상 확률변수의 조건부 분포를 이용하여, 일련의 표본을 생성하는 확률적 알고리즘이다. 깁스샘플러 방법은 타 MCMC 기법보다 구성이 쉽고 조건부 분포를 추정하는데 용이하며, 매개변수 추정 시 수렴성이 우수하다. Bayesian MCMC 기법에 대한 자세한 내용은 기존 연구 문헌을 참조할 수 있다(Gilks et al., 1995; Kwon et al., 2008).
2.3 가뭄지수 EDDI
본 연구에서 소개하는 증발수요 가뭄지수(EDDI)는 증발 요구량(E0)을 통해 산정되며, 이는 지표면-대기 사이의 수분교환에서 수분 공급인 강우와는 반대 작용인 대기의 수분 요구를 의미한다. EDDI를 제안한 Hobbins et al. (2016)는 증발 요구량과 실제 증발산과의 물리적 관계를 가뭄 진행 상황에 나타내었으며, 가뭄지수 EDDI 산정을 통해 가뭄사상을 평가하였다.
2.3.1 증발 요구량과 실제 증발산의 관계
가뭄의 발생 및 발전단계에서의 증발 요구량(E0)과 증발산(ET) 간의 상호보완적인 관계는 물리적으로 EDDI를 설명한다. 첫 번째로는 습하고 에너지 제한이 있는 상황에서는 지표면 에너지의 변화로 인해 증발 요구량(E0)과 증발산(ET)은 에너지에 비례하여 변한다. 두 번째로 수분이 제한되는 경우, 지표면-대기간의 에너지 상호작용으로 증발산(ET)의 변동성은 보완하기 위하여 증발 요구량(E0)을 반대로 거동시킨다. Fig. 1은 증발 요구량(E0)과 증발산(ET)간의 물리적인 관계를 나타내며, 증발 요구량(E0)과 증발산(ET)간의 상호보완적 특성을 통해 가뭄 상황을 나타낸다. 가뭄 시작단계에서는 기상 변화(예를 들어, 기온 상승, 낮은 습도 등)로 인해 토양 수분이 서서히 감소되면서 증발 요구량(E0)이 증가하면서 증발산(ET)도 같이 증가한다(E0 → E0', ET → ET ', Fig. 1의 화살표 1). 초기 단계를 지나 건조상태가 지속되면, 상승된 증발산(ET)이 토양수분 고갈로 이어져 증발산(ET)이 감소한다(ET→ ET '', Fig. 1의 좌측 하단 화살표 2). 그러나 증발산(ET)의 감소는 대기로 수분 공급을 감소시켜 수분 요구량이 증가함에 따라 증발 요구량(E0)이 상승한다(E0 → E0'', Fig. 1의 좌측 상단 화살표 2). E0와 증발산(ET)이 가뭄 시작 단계에는 동일하게 거동하지만, 가뭄이 지속됨에 따라 반대로 작용한다. 가뭄 상태일 때, 증발 요구량(E0)이 평균보다 높은 값을 가진다는 E0 - ET 관계를 통해 EDDI를 설명할 수 있으며, 가뭄이 진행되면서 높아진 증발 요구량(E0)이 축적되고, 이를 지표로써 나타낸 것이 EDDI이다.
2.3.2 SPI 계산
일반적으로 기상학적 가뭄을 평가할 때, 표준강수지수(SPI)가 대표적으로 활용된다. SPI는 McKee et al. (1993)이 강수 부족이 지하수, 저수지 저류량, 하천 유출에 영향을 미친다는 것을 고안하여 개발한 가뭄지수이다. 본 연구에서는 EDDI를 비교하기 위하여 기상학적 가뭄과 관련된 SPI를 사용하였다.
SPI는 지속기간 단위를 보통 3, 6, 9, 12개월로 설정하고 지정기간에 대한 강수부족량을 산정한다. 산정 방법은 지속기간별로 강수량을 누적하여 평년(30년)에 대한 365개의 시계열을 구성한다. 적절한 확률분포를 활용하여 각 시계열에 대한 누적 확률값을 산정한다. 산정된 누적 확률값을 표준정규분포에 투영하여 Z값을 산정하며, 이는 SPI를 의미한다. 일반적으로 강수량의 분포가 Gamma 분포를 따르는 것으로 알려져 있다(Thorn, 1966; Edwards, 1997). 또한, 현재 기상청에서는 Gamma 분포를 적용하여 SPI를 생산하고 있다. 따라서, 본 연구에서는 Gamma 분포를 확률분포로 적용하여 SPI를 생산하였으며, 확률밀도함수식은 다음 Eq. (11)과 같다.
여기서, x는 지속기간별 누적강수량(mm), k은 형상 매개변수(shape parameter), 는 축척 매개변수(scale parameter)이다.
2.3.3 EDDI 계산
EDDI 산정 방법은 다음과 같으며, SPI 산정 방법과 유사하다. 우선, 증발 요구량(E0)을 산정하기 위하여 기준증발산량(ET0)을 계산해야 한다. Hobbins et al. (2016)는 ASCE 표준식을 통해 산정된 기준증발산량을 활용하였다. 지속기간(예를 들어, 1개월)에 대한 증발 요구량(E0)이 결정된 후 증발 요구량(E0)의 누가확률 P(E0)을 경험적 방법인 Tukey 도시위치공식(plotting position formula) (Wilks, 2011) Eq. (12)을 이용하였다.
여기서, 누가확률 는 지속기간에 대한 증발 요구량(예를 들어, 1월 31일에 2개월 EDDI를 추정하기 위해서는 12월 1일부터 1월 31일까지의 기간의 합산된 일단위의 증발 요구량, E0를 적용함)의 확률, i는 지속기간의 과거 증발 요구량(E0) 시계열의 순위(최대 증발 요구량(E0)이 1, 최저 증발 요구량(E0)이 n), n는 관측자료의 년 수이다. 마지막으로 SPI와 동일하게 누적 확률값을 표준정규분포에 투영하여 Z값을 산정하면 된다. EDDI가 0이면, 해당 연도의 집계 기간 동안 축적된 증발 요구량(E0)이 과거 자료(n)의 중앙값에 해당하는 것을 의미하며, EDDI가 음수일 경우, 평년보다 습윤한 상태를 나타내고, 반대로 양수인 경우 평년보다 건조한 상태이며, EDDI가 증가할수록 가뭄 심도가 커진다.
2.4 대상유역 및 입력자료
한강은 북한강과 남한강으로 구성되어 있으며, 한강유역은 한반도 중심부에 위치한다. 한강유역은 태백산맥과 소백산맥 등 높은 산맥이 위치하여 같은 유역 내에서 다른 지리적, 기후학적 특성을 보인다. 한강유역 중 대부분 산악지형으로 구성된 강원도 지역은 고랭지 농업을 중심으로 밭농사가 발달하였다. 밭농사는 높은 기온 및 가뭄에 취약하며, 본 연구에서는 해당 지역에 가뭄지수 EDDI의 적용성을 평가하기 위하여 한강유역을 분석대상으로 선정하였다.
한강유역에 위치한 기상청 산하의 17개의 종관기상관측소(ASOS)의 1973 ~ 2019년 자료를 기상청 기상자료개방포털 사이트(https://data.kma.go.kr)를 통해 수집하였다. 지점별 일단위 최저기온, 최고기온, 평균기온, 평균풍속, 평균상대습도, 합계 일조시간을 이용하여 Eq. (1)의 FAO56 PM 계산식의 변수 산정 후 일단위 기준증발산량(ET0) 산정하였다. Fig. 2는 한강유역에 위치한 기상청 ASOS 관측소의 위치이며, Table 1은 사용된 관측소 지점명, 지점번호, 위경도, 고도 정보이다.
Table 1.
A summary of geographical characteristics of 17 weather stations operated by KMA in the Han-river watershed
3. 연구 결과
본 연구에서는 Eq. (1)로 표현된 FAO56 PM 계산식으로 산정된 기준증발산량(이하 ET0 PM)을 기준증발산량(ET0)이라고 가정한 후 이를 토대로 Eq. (6)에 대해 매개변수를 재추정하여 기준증발산량(이하 ET0 HG (Calibrated))을 산정하였다. Hargreaves 식의 매개변수 산정을 통한 기준증발산 추정에 대한 효과를 확인하기 위하여 기존 Hargreaves 식 Eq. (2)을 통해 산정된 기준증발산량(이하 ET0 HG (Original))과 ET0 HG (Calibrated)을 ET0 PM에 대해 기간별(일, 월, 연단위)로 비교하였다. 두 번째로 매개변수 교정(calibration)과 검증(validation)으로 산정된 ET0 HG (Calibrated)을 토대로 증발 요구량(E0)을 계산하여 지속기간별 EDDI를 산정하였다. 가뭄지수 EDDI의 적용성을 평가하기 위하여 강수량 및 SPI와 함께 비교하여 과거 가뭄사상을 평가하였다.
3.1 매개변수 추정 결과 및 모형 검증
앞서 언급한 대로 증발산량 실측자료가 구축되지 않을 경우, 다른 증발산 계산식을 비교하기 위하여 FAO56 PM방법으로 계산된 증발산량을 기준값으로 사용된다. 따라서, 본 연구에서는 ET0 PM을 이용하여 매개변수 교정과 검증을 수행하였다. 교정과 검증을 수행하기 위하여 시계열을 분리하였다. 구축된 자료는 총 1973 ~ 2019년(47년) 자료이며, 이 중 1973 ~ 2010년(38년) ET0 PM 시계열 자료로 매개변수 교정을 수행하였고, 나머지 기간인 2011 ~ 2019년(9년) ET0 PM 시계열 자료를 통해 모형을 검증하였다. Bayesian 매개변수 추정을 위해 Eq. (10)를 기반으로 MCMC 모의를 수행하였으며, Eq. (6)의 매개변수 의 사후분포를 추정하였다. 즉, 한강유역에 위치한 기상관측소의 일단위 온도인자(Tmax, Tmin)를 대입하여 관측소별로 기준증발산량을 산정하였다. Table 2에는 관측소별 추정된 매개변수()의 평균과 표준편차를 제시하였다.
Table 2.
Estimated parameters of Hargreaves equation during calibration process
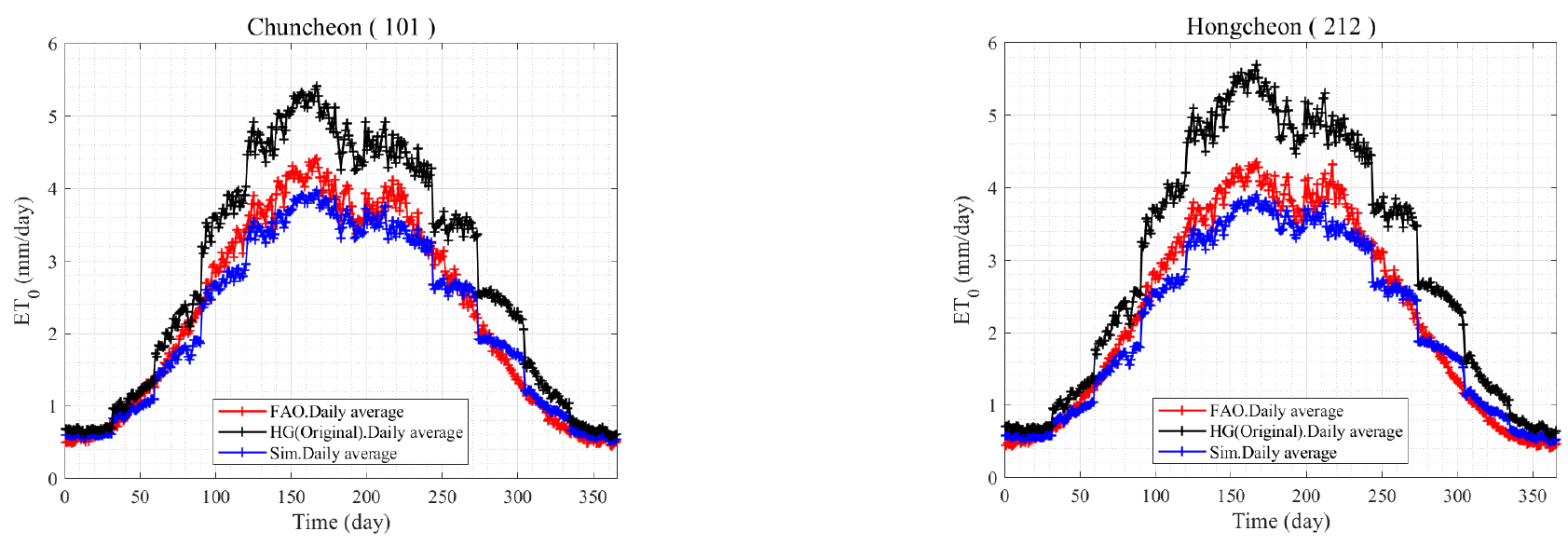
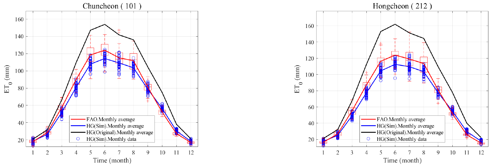
Bayesian 방법으로 추정된 매개변수는 확률분포형으로 산정되므로 본 연구에서는 중앙값(median)을 매개변수 값으로 사용하였다. 추정된 매개변수와 일단위의 자료를 통해 ET0 HG (Calibrated)을 산정하여 일, 월, 연단위로 나타내었다. 월, 연단위 증발산량은 해당 기간(월, 연)의 일단위 증발산량을 합산하였다. Fig. 3은 춘천(101)과 홍천(212) 지점의 일평균 증발산량이며, 빨간 선은 ET0 PM, 파란 선은 ET0 HG (Calibrated), 검정 선은 ET0 HG (Original)이다. 기존 ET0 HG (Original)의 결과를 보면, 과대추정되는 경향을 보였으며, 매개변수 교정을 통해 추정된 ET0 HG (Calibrated)값은 상대적으로 ET0 PM값을 효과적으로 재현하는 것을 확인할 수 있다. 춘천과 홍천 지점의 월평균 증발산량 결과인 Fig. 4를 통해 계절별 변화양상을 직관적으로 볼 수 있다. 증발산은 온도의 영향이 지배적이며 다른 계절에 비해 여름철에 높은 증발산을 나타낸다. 한편, 증발산은 습도의 영향도 크며, 강우량이 집중되는 장마기간에 소폭 감소 후 증가 양상을 보인다. Fig. 4의 상자그림(boxplot)은 월별 ET0 PM을 나타내었으며, 파란색 표식은 월별 ET0 HG (Calibrated)이다. 마지막으로 검은색은 기존 Hargreaves 식을 통해 산정된 월별 증발산량을 나타낸다. 상자그림은 ET0 PM의 월별 변동성을 보여주며, 이를 통해 봄, 여름철 증발산량의 변동성이 크지만, 겨울철엔 작은 것을 확인할 수 있다. 이는 봄철에 온도 상승, 낮은 습도(건조함), 풍속 등의 여러 기상요소의 영향으로 판단된다. 즉, 봄철에는 낮은 습도에서의 온도 상승과 풍속의 영향을 받고, 여름철에는 습하지만, 폭염, 열대야 현상과 같은 높은 기온을 포함한 여러 기상요소의 복합적인 영향으로 판단된다. 따라서, 봄과 여름철에 ET0 HG (Calibrated) 추정치의 오차가 크게 나타난다.
Fig. 5는 춘천과 홍천 지점의 1973 ~ 2019년까지의 기간에 대한 연평균 증발산량이며, 교정과 검증을 위해 분리된 시계열을 각각 파란 선(1973 ~ 2010년)과 초록 선(2011 ~ 2019년)으로 나타내었다. 연증발산량 결과를 통해 살펴보면 기존 Hargreaves 식을 통해 추정된 ET0 HG (Original)는 과대 추정되는 것을 확인할 수 있다. 반면, 매개변수 최적화를 통해 추정된 증발산량 ET0 HG (Calibrated)의 오차가 전체적으로 감소한 것을 확인할 수 있다.
Fig. 6은 춘천과 홍천지점의 교정 및 검증기간에 대해 산정한 월별 증발산량 산점도(scatter plot)이다. 교정, 검증 기간에 해당하는 증발산량을 각각 파란색, 빨간색 표식으로 표시하였으며, 검정 선은 일대일 대칭선을 의미한다. ET0가 80 mm 이상일 경우, 표식들이 검정 선을 벗어나 우측으로 분포하는 것을 확인할 수 있다. 이는 앞서 언급하였듯이 봄, 여름철 증발산량의 큰 변동성으로 인해 다른 계절에 비해 정확도가 떨어지며, 추정된 기준증발산량이 ET0 PM에 비해 과소 추정하는 것으로 평가되었다.
매개변수 최적화를 통해 추정된 증발산량을 평가하기 위해서 교정 및 검증 구간에 대해서 통계지표를 이용하였다. ET0 PM을 관측값으로 가정하여 기존 식의 결과인 ET0 HG (Original)와 추정된 ET0 HG (Calibrated)를 대상으로 상관계수(Correlation Coefficient, CC), 평균제곱근오차(Root Mean Square Error, RMSE), 일치계수(Index of Agreement, IoA) 등을 통해 모형의 적합성을 평가하였다. 상관계수는 두 변수(관측값, 추정값) 간에 선형 관계의 정도를 수량으로 나타낸 값으로 1에 가까울수록 선형 관계가 강하다. 평균제곱근오차는 실제 관측값과 모형이 예측한 값과의 차이를 나타내는 값으로 0에 가까울수록 우수함을 의미한다. 일치계수는 모형 예측값의 오차 정도를 표준화한 값으로 Willmott (1981)가 개발한 지표이며, 1에 가까울수록 완벽한 일치를 의미한다. Eq. (13)은 본 연구에서 고려된 통계적 평가 지표들을 나타낸다.
Hargreaves and Allen (2003)은 온도와 일교차 기반의 Hargreaves 식을 통한 일단위 증발산 추정 시, 기상 전선(weather front)의 움직임은 일교차에 영향을 주고, 풍속 및 운량의 큰 변화가 직접 영향을 미칠 수 있으므로 5일 이상의 시계열을 합산하여 계산하는 것을 권고하였다. 따라서, 본 연구에서는 월단위의 증발산량에 대해 통계적 평가 지표를 이용하여 평가하였다. Fig. 7과 Table 3은 한강유역의 기상관측소를 대상으로 교정(1973 ~ 2010년) 및 검증(2011 ~ 2019년) 기간에 대한 통계적 지표를 나타낸다. 파란색 표식은 본 연구에서 제시된 방법을 통해 추정된 증발산량 ET0 HG (Calibrated)를 나타내며, 빨간색 표식은 기존 Hargreaves 식을 통해 추정된 증발산량 ET0 HG (Original)에 대한 결과이다. 검증 기간에 대한 기존 방법의 상관계수는 0.972 ~ 0.994 이였으며, 매개변수 추정 후 상관계수 결과는 0.968 ~ 0.994로 큰 차이를 확인할 수 없었다. 상관계수는 선형적인 일치성을 평가하는 지표로서 두 시계열간의 편의(bias) 정도를 평가하는데 적합하지 않다. 유사하게 일치계수 IoA 결과는 기존 0.927 ~ 0.992 범위에서 0.974 ~ 0.992로 근소하게 개선되었다. 마지막으로, 검증 기간에 대해 RMSE 검토 결과, 기존 7.94 ~ 24.91 mm/month에서 6.77 ~ 12.94 mm/month로 큰 개선 효과를 확인할 수 있었다.
Table 3.
Statistical evaluation of monthly ET0 HG (Original) and ET0 HG (Calibrated) during calibration and validation periods (unit: mm/month for RMSE)
본 연구에서 분석한 한강유역에는 산맥이 존재하여 상이한 지리적, 기후학적 특징을 보인다. 지역적으로 재추정하지 않은 기준증발산량 ET0 HG (Original)의 결과를 보면, 인제(211), 춘천(101), 홍천(212), 원주(114) 지점은 여름철 과대추정 결과로 인해 과대추정된 연증발산량 결과를 얻었지만, 영서와 영동 사이에 위치한 대관령(100)은 겨울철에 다른 양상을 보여줬다. 겨울철에 과소추정된 결과로 연증발산량에서는 ET0 PM과 비슷한 결과를 보여줬다. 또한, 대관령지점을 제외한 내륙지역은 유사한 결과를 보였지만, 해안지역에 가까운 인천(112)은 겨울철에 과소추정되는 결과를 보였다. 이는 겨울철 대륙으로부터 발생하는 한랭건조한 계절풍의 영향이라고 판단된다. 매개변수 재추정 과정을 통해 ET0 HG (Calibrated)를 추정한 결과, 해안지역의 RMSE는 평균 11.58 mm/month에서 9.75 mm/month로, 내륙지역의 RMSE는 평균 19.82 mm/month에서 9.20 mm/month로 해안지역보다 큰 폭으로 감소하였다.
3.2 가뭄사상 평가
본 절에서는 앞서 산정된 ET0 HG (Calibrated)을 토대로 한강유역 내 기상관측소에 대한 EDDI를 산정하였다. 가뭄지수로서 EDDI의 적용성을 평가하고자 WMO에서 대표적인 가뭄지수로 활용하는 SPI 및 강수량과 비교하였으며, 문헌자료를 통해 과거 가뭄사상을 평가하였다.
한강유역의 17개의 기상관측소를 대상으로 1974 ~ 2019년의 ET0 HG (Calibrated)를 사용하여 E0의 확률분포 산정을 통해 2010 ~ 2019년 동안의 EDDI를 산정하였다. Hobbins et al. (2016)는 도시위치공식을 사용하여 증발 요구량(E0)의 확률분포를 산정하였지만, 본 연구에서는 누적강수량의 확률분포와 동일한 Gamma 분포를 적용하였다. 기상관측지점마다 일부 상이하였으나 여러 분포의 BIC를 검토한 결과, 전반적으로 Gamma 확률분포가 우도(likelihood) 및 모형의 적용성 측면에서 수렴성 등이 우수하였다. EDDI는 다른 가뭄 지표와 유사하게 특정 기간(1주 ~ 12개월 이상)에 대해서 산정할 수 있다. 주/월단위의 지속기간에 대한 EDDI를 산정하였으며, SPI는 1, 2, 3, 6개월 누적강수량을 통해 SPI-1, 2, 3, 6을 계산하였다. Fig. 8은 강원도 춘천과 홍천 지점에 대한 2010 ~ 2019년의 강수량, SPI, 주/월단위 EDDI를 나타낸다. 주단위 EDDI는 급격하게 변동성을 보여주는 반면, 월단위 EDDI는 상대적으로 변동성이 크지 않다. 짧은 지속기간의 EDDI는 기상상황에 빠르게 반응하므로 가뭄 시작(onset)을 판단하는 지표로 활용될 수 있다. 상대적으로 긴 지속시간을 갖는 월단위 EDDI는 가뭄의 지속성 평가에 유리하다. 가뭄이 진행되는 기간에 상승된 EDDI는 계속적으로 수분을 요구하므로 가뭄이 해소될 정도의 강수량이 발생하지 않으면, 가뭄이 지속된다. 짧은 지속기간의 EDDI는 급성가뭄(flash drought)과 같이 단시간에 발생하는 가뭄 사상 감지에 적절하다. 급성가뭄은 수개월 동안의 발생하는 일반가뭄과 다르게 짧은 시간에 발생하는 가뭄을 뜻한다. 발생 메커니즘에 따라 폭염형 급성가뭄(heat wave driven flash drought)과 강수 부족형 급성가뭄(precipitation deficit driven flash drought)으로 나뉜다. 특히, 폭염형 급성가뭄은 폭염과 같은 높은 기온으로 인해 증발산 증가와 토양수분 감소로 발생하는 가뭄이며, 논보다는 밭에 극심한 피해를 준다.
한국수자원공사 국가가뭄정보포털(https://www.drought.go.kr/)에 따르면, 최근 10년 동안 2014 ~ 2015년, 2018년에 극심한 가뭄이 발생하였다. 2014 ~ 2015년 한강유역에 역대 최저 강수량이 기록되었으며, 2014년 가뭄은 2015년까지 이어졌다. 그 결과, 대부분의 댐에서 최저 저수율을 기록하였으며, 용수부족 피해를 겪었다. 2018년 봄철 가뭄으로 인해 강원도 속초시에 제한급수가 시행되었으며, 지속된 폭염으로 인해 농지(논, 밭) 피해가 컸다. Fig. 8의 춘천(101) 지점 주/월단위 EDDI 결과를 통해 2014 ~ 2015년에 걸쳐 발생한 가뭄 사상에 대해 분석하였다. 2014년 상반기부터 EDDI가 2에 가깝게 크게 상승하였지만, 장마기간 동안 강수로 인해 평균상태를 거처 겨울까지 감소하는 것을 확인할 수 있다. 그러나 2014년부터 이어진 가뭄은 해소되지 못하고 2015년 봄철과 장마 이후에 지수가 2 이상으로 급격하게 상승하였다. 2014년의 월단위의 EDDI는 정상조건으로 돌아오지 않았으며, 이는 다음 해인 2015년에 가뭄이 빠르게 재발하는 단계의 기반이 되었다. 동기간 SPI도 지속적으로 극심한 가뭄 상태를 나타내었다. 최근 10년 중 2018년이 주단위 EDDI가 가장 높게 산정되었으며, 해당 기간 SPI-1을 통해 단기간 강수부족을 확인하였으며, 특히 장마 이후의 폭염으로 인해 EDDI가 높게 산정되었음을 확인하였다. 이러한 기상조건은 밭작물에 큰 피해를 줬다. 홍천지점(212)은 춘천과 지리적으로 가까워 유사한 경향을 보였으며, 춘천보다 전반적으로 높은 EDDI가 산정되었다.
SPI는 특정기간의 강수부족량을 기반으로 산정되지만, EDDI는 대기의 수분상태에 따라 결정되므로 대기의 건조한 상태를 빠르게 인지할 수 있다. SPI는 기온에 상관없이 산정되므로 폭염으로 인한 가뭄을 인지하는 것이 상대적으로 부족하다. 반면, 폭염이 발생하게 되면, 증발산 증가 및 토양수분 감소로 인해 증발 요구량(E0)가 급격히 증가하므로 EDDI가 빠르고 강하게 반응한다. 또한, 주단위로 생성되는 EDDI는 1개월 기준으로 생성되는 SPI보다 시간 간격의 차이가 작아 가뭄인지에 유리한 이점을 갖는다. Fig. 8의 검은색 점선 사각형으로 표시된 가뭄사상을 보면, 과거 가뭄사상이 발생하기 전 EDDI가 SPI보다 먼저 증가하는 양상을 보여준다. 이것은 EDDI가 SPI보다 신속하게 대기 수분부족 상황에 반응하는 것으로 판단할 수 있다. Fig. 8의 춘천(101), 홍천(212) 지점의 2015, 2018년 주단위 EDDI 결과를 보면, SPI보다 급격하게 상승하는 것을 볼 수 있다.
4. 결론 및 토의
본 연구에서는 온도인자 기반의 Hargreaves 식을 활용하여 한강유역에 위치한 종관기상관측소의 증발산량을 산정하였다. 즉, 지역마다 증발산량과 수문기상자료의 상관성이 다르게 나타난다는 점에서 Hargreaves 매개변수의 차이가 존재하므로 나타날 수 있으며, 본 연구에서는 ET0 PM를 기준증발산량(ET0)으로 가정하여 Hargreaves 식의 매개변수를 재추정하였다. 증발 요구량(E0) 기반의 가뭄지수 EDDI는 ET0 HG (Calibrated)를 통해 산정하였으며, 강수량 및 SPI와 비교하여 가뭄지수로써 적용성을 평가하였다. 과거 가뭄사상에 대해 SPI와 EDDI를 유사성 및 차이점을 평가하였으며, 언론 보도자료를 통해 보도된 가뭄 현황 및 피해 상황과 일치성도 검토하였다.
본 논문에서 분석한 한강유역은 하나의 유역이지만, 지리적 및 기후학적인 차이가 존재하여 산정된 결과도 관측소마다 차이를 보였다. 특히, 내륙 및 해안지역에 따라 기존 Hargreaves 식을 통해 산정된 기준증발산량(ET0 HG (Original))의 차이가 극명하게 존재했지만, 매개변수 재추정과정을 통해 통계지표(CC, RMSE, IoA)가 개선되었다. 가뭄지수 EDDI는 한강유역 내에서도 관측소마다 값의 차이를 보였지만, 유사한 거동을 보였다. 다음은 연구를 통해 도출된 결론이다.
첫째, 증발산을 산정하기 위해서 온도인자로 구성된 Hargreaves 식의 매개변수를 Bayesian 추론을 적용하여 추정하였다. 기존 식으로 산정한 ET0 HG (Original)의 경우 증발산량을 과대 추정하는 경향을 보였다. 반면 본 연구를 통해 매개변수를 재추정하여 산정된 기준증발산량은 전체적으로 관측 증발산량 ET0 PM값을 효과적으로 재현하는 것을 확인할 수 있었다. 추정된 기준증발산량을 일, 월, 연단위로 관측값과 비교하였으며, 월단위의 기준증발산량의 상관관계가 제일 크게 산정되었다. 또한, 계절적 요인으로 겨울보다 봄, 여름철 기준증발산량의 변동성이 크게 산정되었다.
둘째, 증발 요구량(E0)을 토대로 하는 가뭄지수 EDDI를 제시하였다. 이는 지표면-대기 사이의 수분교환에서 수분 공급인 강우와 반대 작용을 하는 대기의 수분 요구를 기반으로 산정된다. 대표적인 가뭄지수인 SPI는 일정 기간의 대기 수분 공급량인 강수량을 정량화한 수치로 기상학적 가뭄을 평가할 수 있는 지수로 활용된다. 이에 반해 본 연구에서 제시한 Hargreaves 모형 기반의 EDDI는 일정 기간의 대기 수분 요구량인 증발산량을 아노말리(anomaly) 형태로 제시가 가능하였으며, 폭염으로 유발되는 급성가뭄을 인지하고 평가하는데 유리한 것으로 분석되었다.
셋째, 본 연구에서 한강유역 관측소에 대한 기준증발산량(ET0)를 산정하여 가뭄지수 EDDI를 제시하였으며 과거 가뭄사상을 평가하였다. EDDI는 지속기간에 따라 다른 특성을 가지며, 짧은 지속기간(주단위)은 기상상황에 빠르게 반응하므로 가뭄을 빠르게 인지하는 데 유리하였으며, 비교적 긴 지속기간(월단위)에 대해서 가뭄의 시공간적 지속성을 확인할 수 있었다. 춘천과 홍천 지점의 주/월단위 EDDI결과를 통해 2014 ~ 2015년, 2018년 가뭄을 평가하였다. 2014 ~ 2015년에는 강수부족으로 인해 EDDI가 상승하였으며, 2018년에는 폭염으로 인해 주단위 EDDI가 가장 높게 추정되었다. 그 당시의 언론 보도를 통해 가뭄 현황 및 피해상황을 확인할 수 있었다. 밭농사가 주로 이루어지는 지역의 경우 EDDI 가뭄지수를 통해 강우부족보다는 폭염에 따른 급성가뭄을 효과적으로 인지할 수 있는 것으로 평가되었다. 전반적으로 EDDI는 폭염에 따른 대기 및 토양수분의 아노말리(anomaly)를 민감하게 인지하는 특성이 있으며, 기존 기상학적 가뭄 평가에 주로 사용되고 있는 SPI와 함께 국지적으로 나타나는 산불 및 농업가뭄 위험도를 저감하는 목적으로 활용될 수 있을 것으로 판단된다.
증발산은 가뭄지수 산정 이외에 강우-유출 모형의 입력 자료로 활용되므로 수자원관리에 필수적인 요소이다. 기상자료가 충분하지 않을 경우 온도인자 기반의 Hargreaves 식을 활용하는 것이 적절하다고 판단된다. 그러나 본 연구에서 개발한 모형은 일단위 입력자료를 토대로 산정되므로 월 및 연단위 증발산량을 고려하지 못하는 한계점을 가진다. 후속 연구로 모형 구성 시 월 및 연단위 자료를 고려한다면, 월 및 연단위 증발산량 추정에 대한 정확성 개선 및 한계점 보완이 가능할 것으로 판단된다. 또한, 현재 지점단위의 모형을 공간 격자형태로 확대한다면, 기후변화 시나리오 적용을 통해 미래 가뭄위험도 평가 시 활용 가능할 것으로 기대된다.










