1. 서 론
2. 자료 및 방법론
2.1 방법론
2.2 자료
3. 결 과
3.1 관측값 기반 확률강우량 추정
3.2 Scale exponent 산정
3.3 시간 상세화 기법을 활용한 확률강우량 추정
4. 결 론
1. 서 론
기후 변화는 전 세계적으로 지역마다 발생하는 강우 패턴에 상당한 변화를 초래하고 있다. 특히 극한 강우 사상의 빈도와 강도가 증가함에 따라, 하천 유역의 범람이나 도심 지역 구조물의 침수 등으로 인해 국가 공공시설물 및 사회간접자본(Social Overhead Capital, SOC)이 심각한 손상을 입고 있으며, 이에 따른 위험도 점차 커지고 있다(Kim et al., 2023b; NIMS, 2022). 이러한 위험은 주요 시설물의 손상이나 파괴로 인해 인명과 재산 피해 뿐만 아니라, 도시 기능의 마비와 사회 시스템 붕괴 등 심각한 사회·환경적 영향을 초래할 수 있다. 특히 댐이나 원자력발전소와 같은 국가 주요 시설물은 피해 발생 시 막대한 파급력을 동반하여 주변 지역에 큰 영향을 미칠 수 있다. 따라서 이러한 변화 양상을 고려한 시설물의 안전 설계 및 평가는 더욱 신중하게 이루어져야 한다. 최근에는 이러한 국가 주요 시설물 및 주변 환경을 대상으로 기후변화의 영향을 고려한 적응 능력 평가 및 대응 방안 마련을 위한 연구가 활발히 진행되고 있다(Kim et al., 2018; Hwang et al., 2018). 현재 가장 널리 사용되는 방법은 전 지구적 대기 순환 과정을 모의하여 산출된 수문·기상학적 자료에 통계적 기법을 적용해 미래의 극치 수문·기상 현상을 평가하는 것이다(Gregersen et al., 2013; Willems, 2013; Kim et al., 2023a). 단, 이 방법은 먼 미래 시점을 중심으로 대기 순환의 흐름과 변화 추세를 전지구적 관점에서 분석하는데 유용하지만, 공공구조물의 설계나 평가에 바로 적용하기에는 일부 한계가 있다. 또한 시간이나 자원 등의 현실적인 제약으로 인해 특정 지점 또는 대상물에 대한 수리·수문학적 분석 및 해석을 수행하기에 기후변화 시나리오 자료의 해상도는 매우 낮을 수 있기 때문에 적절한 분석이 수행되기 어렵고, 만약 수행되었다고 하더라도 그 결과의 신뢰도 또한 매우 낮을 수 밖에 없다. 이러한 문제점을 개선하고 현실적인 조건을 반영하면서 기후변화를 고려한 설계 및 안정성 평가를 수행하기 위해 관련 연구가 활발히 진행중이다. Bae et al. (2011)은 기후변화 시나리오 자료가 가지고 있는 불확실성을 낮추고자 다양한 전지구기후모델(global climate model, GCM) 자료를 바탕으로 여러 시나리오를 고려한 수문모형을 다중 모델 앙상블(multiple model ensemble, MME) 기법으로 활용하였다. Kim et al. (2019)은 한반도를 대상으로 미래의 극한 강우량을 추정하기 위해 19개의 GCM 및 지역 기후 모형(regional climate model, RCM)을 활용하여 국내 극한 강우사상을 대표하는데 가장 적절한 기후모델을 제시한 바 있다. Heo et al. (2019)은 GCM 자료를 대상으로 관측값의 통계적 특성을 최대한 보존하면서 편의보정(bias correction)을 수행하기 위해 국내 60개의 지점의 기상청 종관기상관측 자료를 활용하고 2변수 확률분포 모형부터 2개의 형상매개변수를 포함하는 확률분포형 등 다양한 통계적 확률분포 모형을 적용하여 국내 극한 강우사상의 통계적 특성을 잘 나타낼 수 있는 편의보정 기법을 제시한 바 있다. Wan Mazlan and Tukimat (2023)는 기후 모델링 데이터에서 배수 및 우수관리를 위한 시단위 강우강도-지속기간-발생빈도(intensity-duration-frequency, IDF) 곡선 개발을 위해 다양한 시간적 상세화 기법을 비교하였다. 그 결과 스케일 성질을 활용한 기법이 시간상세화 결과중 가장 우수한 성능을 보임을 확인하였고 특히 SSP5-8.5에서 가장 높은 정확도를 보인다고 주장하였다. Kourtis et al. (2023)은 기후변화 시나리오에서 제공되는 일 단위의 강우자료를 스케일링 기법을 활용하여 시 단위의 강우자료로 시간 상세화를 수행하였고 이를 바탕으로 미래 IDF 곡선을 개발 하였다. 이러한 연구들은 특정 목적 대상물 및 지역을 대상으로 검토 및 평가가 이루어졌기 때문에 분석하고자 하는 대상이 변경됐을 경우 추가적인 연구나 검토가 반드시 필요하다. 특히 원자력발전소의 경우 국가 주요 공공시설물 중 하나로, 해당 시설물에 위험 발생시 사회적으로 큰 파급력을 끼칠 수 있다. 실제로 국내외의 원자력발전소에서 극한강우로 인한 재해로 발전 운영에 문제가 발생하는 사례가 꾸준하게 보고되고 있다. 2009년에 프랑스 남부에 위치한 Cruas nuclear power station에서는 폭우로 인한 부유물 축적으로 인해 원전 공동펌프의 취수구 막힘이 발생하여 원자로가 정지되었다. 또한 취수구 막힘에 의한 취수 부족으로 비상 냉각수 급수 설비 시설이 손실되는 사례로 인해 열제거원 상실사고가 발생한바 있다. 또한 후쿠시마 사고 이후인 2011년 이후에도 독일, 미국, 스웨덴, 일본 등 세계 여러 국가의 원전부지에서 설계초과 강우의 발생 또는 극한 폭우로 인해 배수 시스템의 고장과 배수관 역류 등으로 인해 원자로가 정지 되는 등 원자력발전 운영에 심각한 영향을 미친 사례들이 있다(Rowekamp et al., 2017; U.S.NRC, 2018). 이러한 극한강우로 인한 원자력발전소 내의 내부 시설 및 부지내의 관로시설 등의 해석을 위해서는 일 단위의 강우량은 물론 시간 단위의 강우량 정보 취득은 필수적이라고 할 수 있다. 그러나 최근 기후변화를 고려한 GCM 자료와 같은 미래 시나리오 자료들은 전지구적 스케일 등의 한계로 인해 일반적으로 일 단위의 해상도로 제공 되기 때문에 이와같은 문제를 분석하고 해석하기에는 많은 한계가 따른다. 이에 본 연구에서는 국내 원자력발전소 부지를 대상으로, 미래 기후변화 시나리오를 고려한 시간 단위 수리·수문학적 분석과 평가가 수행되도록 하는 것을 목표로 한다. 이를 위해서 시간 상세화 기법 중 비교적 사용이 간편하면서도 높은 성능을 보이는 scale invariance 기법을 적용하였고 scale invariance 기법의 적용 방법에 따라 추정된 시간 상세화 결과를 비교 분석하여 원전 부지 주변의 수문학적 분석에 적합한 시간 상세화 적용 방법을 제안하고자 한다.
2. 자료 및 방법론
2.1 방법론
2.1.1 빈도해석 및 극치 확률분포 모형
본 연구에서는 극치 확률강우량을 추정하기 위해 빈도해석(frequency analysis) 방법을 활용하였다. 빈도해석은 대상 지점의 극치 수문사상 자료를 바탕으로 통계 기법을 적용하여 해당 지역의 확률 수문량을 추정하는 방법이다. 이 방법은 수문학적 리스크 평가, 수공 구조물 설계 기준 마련, 재난 방지 대책 수립 등 다양한 분야에 활용된다. 본 연구에서는 빈도해석 기법 활용을 위해 국내 극치 강우사상에 적합하다고 알려진 generalized extreme value (GEV) 분포 모형을 이용하였다. 해당 모형의 매개변수 추정 기법으로는 최대 우도 추정(maximum likelihood estimation, MLE) 방법을 적용하였다. 또한 본 연구에서 사용한 GEV 분포 모형의 누적분포함수(cumulative distribution function, CDF)와 재현기간(return period)을 산정하기 위한 CDF의 역함수는 각각 Eqs. (1) and (2)로 나타낼 수 있다(Heo, 2016).
여기서, , 𝛼, 𝛽는 각각 GEV 분포 모형의 위치, 규모, 형상 매개변수이며, 는 특정 재현기간()의 확률수문량이다.
2.1.2 통계적 시간 상세화 기법
확률강우량 추정을 위한 빈도해석을 수행하기 위해서는 통계적으로 신뢰할 수 있을만한 충분한 크기의 관측자료가 필요하다. 또한 분석하고자 하는 대상 지역 및 수공구조물의 규모와 특성에 따라서는 특정 강우지속기간(분 단위 또는 시간 단위)의 확률강우량 추정이 필수적이다. 그러나 대상 지속기간에 대한 관측 자료가 없거나 충분한 표본 자료를 확보하기 어려운 경우, 신뢰할 만한 수문량을 추정하기는 매우 어렵다. 이러한 한계를 극복하기 위해, 비교적 신뢰할 수 있는 표본 자료나 충분히 구축된 자료에서 기하학적 통계분석을 통에 얻어진 스케일 성질(scaling property)을 활용하여 확률수문량을 추정하는 방법을 스케일 모델(scale invariance model)이라고 한다. 본 연구에서는 시간적 상세화 기법으로 스케일 모델을 활용하여 기존의 상대적으로 긴 지속기간의 확률강우량 추정 결과를 바탕으로 짧은 지속기간의 확률강우량을 추정하는 시간적 상세화(temporal downscaling)를 수행하고자 하였다. 특정빈도(q)와 추정하고자하는 지속기간(D)에 따른 확률강우량(Q)을 산정하는 함수(F)가 있다고 가정하면 다음과 같이 나타낼 수 있다(Gupta and Waymire, 1990).
여기서, 와 는 지속기간()에 따른 확률강우량 추정에 필요한 매개변수를 의미한다. 수문자료가 스케일 불변의 성질(scale invariacne property)을 따른다면 빈도 의 독립적인 스케일 지수(scaling exponent) 는 감소하는 형태의 값을 취하게 되며 이와 같은 특성을 단일 스케일(stric sense simple scaling)이라고 한다(Gupta and Waymire, 1990).
이러한 단일 스케일의 성질을 서로 다른 지속기간에 대해서 적용해보면 다음과 같다.
여기서, 와 는 추정된 지속기간과 추정하고자하는 지속기간, 는 특정재현기간에 따른 확률수문량이다. 𝜆와 는 각각 스케일 인자(scaling factor)와 스케일 지수(scale exponent)이고 일정한 값을 갖는다. 본 연구에서는 스케일의 성질을 GEV 분포 모형으로 추정된 확률강우량 값에 적용하는 방식(QUAN)과 GEV 분포 모형의 매개변수 자체에 적용하는 방식(PARA)을 비교 분석하였다. 이를 통해, 일 단위의 확률강우량을 시간 단위로 변환하는 시간적 상세화 방법을 평가하고자 하였다. 구체적으로는 QUAN 방식은 일 단위의 연최대 강우량 자료를 기반으로 GEV 분포 모형을 이용해 지속기간 24시간의 확률강우량을 추정한 뒤, Eq. (4)의 스케일 성질을 적용하는 방식이다. 반면, PARA 방식은 특정 지역의 강우 특성을 대표한다고 알려진 형상매개변수를 고정값으로 간주하고, 확률강우량의 크기와 밀접한 관계가 있는 위치 매개변수와 규모 매개변수에 Eq. (4)를 적용해 모형을 구축하는 방식이다(Koutsoyiannis, 2004; Kourtis et al., 2023). 이러한 스케일 성질을 이용하면 두 개의 시간 스케일(, )에서 GEV 분포 모형 및 추정된 확률수문량을 다음과 같은 방식으로 나타낼 수 있다.
2.1.3 평균제곱오차 및 절대상대오차
본 연구에서는 원전 부지 주변의 시 단위 강우 자료로 추정한 확률강우량과 일 단위 자료로부터 스케일 성질을 적용해 추정된 확률강우량을 비교하였다. 이를 위해 평균제곱근오차(root mean square error, RMSE)와 백분율 오차(percentage error, PE)를 확률강우량 추정 결과의 정확도 평가 지표로써 활용하였다. RMSE는 관측값과 예측값의 차이를 제곱한 후 평균을 구하고 다시 제곱근을 씌우는 방식으로, 관측값과 동일한 단위를 사용해 두 값 간의 구체적인 차이를 확인할 수 있는 평가지표이다. 반면, PE는 원자료 대비 추정된 모형값의 차이를 원자료 값의 크기로 정규화하여 상대적인 증감 정도를 비율로 표현하는 평가지표이다. 이는 상대적인 오차를 비교 검토할 때 적합한 지표로 알려져있다. Eqs. (9) and (10)는 각각 RMSE와 PE의 산정방식이다.
2.2 자료
본 연구에서는 적용 대상 지역으로 고리 및 월성 원자력 발전소 부지(NPP-KR, NPP-WS)를 선정하였다. 원전부지 주변의 강우 관측소 선정을 위해 ‘홍수량 산정 표준 지침’(ME, 2019)에서 활용된 관측소 지점목록과 관측자료를 활용하였다. 해당 지침에서는 전국을 26개의 수문학적 동질지역으로 나누었다. NPP-KR는 지역 13번(region 13, R13)에 위치하고 있으며 NPP-WS의 경우 지역 13번과 지역 19번(region 19, R19)의 경계에 위치하고 있다. Fig. 1은 홍수량 산정 표준 지침에서 활용된 전국의 615개의 강우 관측소와 본 연구의 대상 지점인 NPP-KR과 NPP-WS를 각각 도시한 결과이다. R13과 R19를 대상으로 각각 NPP-KR과 NPP-WS로부터 가장 가까운 강우 관측소를 선정하기 위해 티센망(Thiessen polygons)을 작성하여 원전부지 주변의 강우패턴에 가장 영향이 큰 강우 관측소 지점을 선정하였다. 이후 각 관측소의 일 단위(지속기간 24시간) 강우자료와 상대적으로 짧은 지속기간과 긴 지속기간에 해당하는 강우자료를 수집하였다. 수집된 시 단위 강우자료를 이용하여 9개의 지속기간에 대한 연 최대 강우량(annual maximum rainfall, AMR)을 산정하였다. NPP-KR과 NPP-WS의 분석을 수행하기 위해 선정된 강우 관측소 정보 및 수집된 표본 크기(sample size) 등을 정리한 결과는 Table 1과 같고 NPP-KR과 NPP-WS, 그리고 티센망도를 작성하여 NPP-KR과 NPP- WS에 가장 가까운 분석 대상 관측소를 선정한 결과는 Fig. 2와 같다.
Table 1.
Information of observation sites for nuclear power plant statistical analysis
| Objects | NPP-KR | NPP-WS |
| Station code | 23014010 | 22014020 |
| Lat. | 35° 25' 08'' | 35° 37' 32'' |
| Long | 129° 10' 20'' | 129° 21' 21'' |
| Sample size | 17 | 36 |
| Region (ME, 2019) | R13 | |
| Duration | 1, 2, 3, 4, 5, 7, 10, 12, 24-hour | |
3. 결 과
3.1 관측값 기반 확률강우량 추정
본 연구에서는 NPP-KR과 NPP-WS 주변의 관측소로부터 수집된 자료를 대상으로 극치수문량 분석을 위한 GEV 모형을 구축하고 일 단위(지속기간 24시간) 자료에 대한 확률강우량을 추정하였다. 또한 시간 상세화 방법을 통해 추정된 지속기간 및 재현기간별 확률강우량과 비교 분석할 수 있도록 각 원전부지 별로 수집된 시 단위 관측자료를 통해 참값이라고 할 수 있는 시 단위의 지속기간 및 재현기간별 확률강우량을 추정하였다. 또한 추후 원전부지 내의 배수관망을 고려한 유출 및 침수 등에 대한 분석을 수행하고 검토할 수 있도록 1시간에서 5시간까지의 비교적 짧은 지속기간에 대한 확률강우량을 산정하였으며 추가로 사면붕괴 및 산사태 등을 유발할 수 있는 12시간의 상대적으로 긴 지속기간에 대해서도 확률강우량을 추정하였다. Table 2는 NPP-KR과 NPP-WS에 대해 GEV 확률분포 모형을 적용하여 지속기간 및 재현기간 별 확률강우량을 추정한 결과이다.
Table 2.
Estimated quantiles at each NPP for various durations and return periods
NPP-KR의 추정된 확률강우량을 살펴보면 지속기간 1시간, 재현기간 2년에서 최소 값인 41.21 mm가 추정되었고 최대값은 지속기간 24시간 재현기간 100년에서 357.54 mm가 추정되었다. 지속기간과 재현기간이 증가할수록 확률강우량이 증가함을 확인할 수 있었고 독립된 지속기간별 확률강우량 사이에 역전현상은 나타나지 않았다. NPP-WS의 경우도 지속기간 1시간, 재현기간 2년에서 31.75 mm로 최소값이 추정되었다. 최대값의 경우는 NPP-KR의 경우와 마찬가지로 지속기간 24시간에 재현기간 100년에서 521.13 mm로 NPP-KR보다 다소 큰 확률강우량이 추정되었다. NPP-WS의 경우도 지속기간과 재현기간이 증가할수록 추정된 확률강우량이 증가함을 확인할 수 있었고 독립된 지속기간별 강우분석 결과에 따른 역전현상은 나타나지 않았다.
3.2 Scale exponent 산정
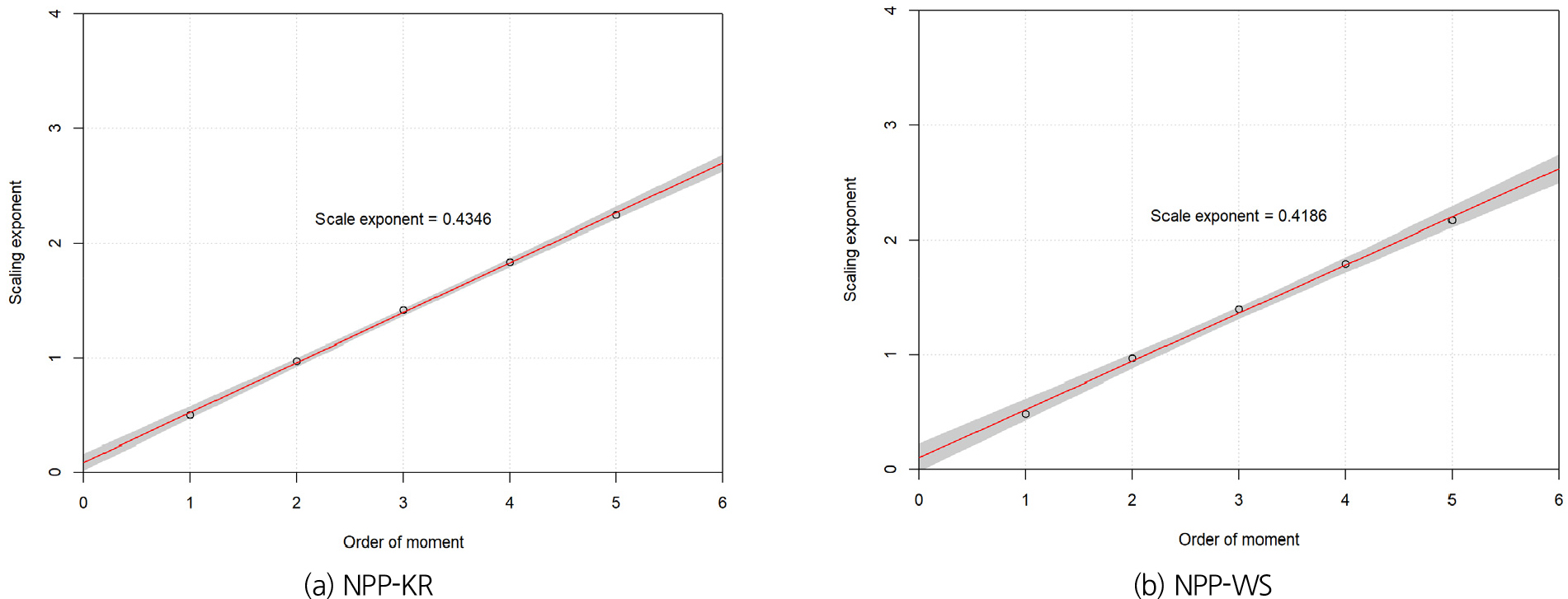
추정된 NPP-KR과 NPP-WS의 일 단위(지속기간 24시간) 확률강우량으로부터 짧은 지속기간에 해당하는 지속기간 1시간부터 지속기간 5시간까지의 시간적 상세화 과정을 통한 확률강우량을 추정하기 위하여 Scale exponent를 산정하였다. 각각의 관측지점으로부터 수집된 지속기간 1시간, 4시간, 7시간, 10시간, 12시간의 강우자료를 수집하여 각각의 지속기간 자료의 연최대 강우량을 산정하였다. 이후 각각의 지속기간 별 1차 모멘트부터 5차 모멘트까지 산정하여 각 차수별로 선형회귀식을 산정하였다. 각 지속기간 별 1차부터 5차 모멘트를 산정한 값은 Figs. 3(a) and 3(b)에 도시되어 있고 각 차수별로 지속기간에 따라 회귀식을 산정한 결과는 붉은색부터 보라색까지로 각 차수별 모멘트 값을 잘 따르는 것을 확인할 수 있다.
이후 Fig. 3에서 각 모멘트 차수별로 산정된 회귀식의 기울기 값인 임의의 상수 값을 Fig. 4와 같이 도시한 후에 이를 다시 회귀식으로 추정하여 최종적인 Scale exponent를 산정하였다. Fig. 4에서 그래프상에 찍힌 점들은 Fig. 3에서 각 모멘트 차수별로 회귀식을 산정한 기울기 값이다. 이를 회귀식으로 산정한 후 회귀식의 95% 신뢰구간과 계수를 산정한 결과는 Fig. 4와 같다.
Fig. 4에서 각 차수별 모멘트의 기울기 값들이 선형일 경우 단일 스케일 모델을 적용하며 만약 비선형일 경우에는 다중 스케일을 적용한다. 단일과 다중 스케일의 선형, 비선형성을 구분짓기 위하여 추정된 회귀식의 95% 신뢰구간을 산정하고 해당 신뢰구간 안에 각 차수별 모멘트값의 기울기 값이 포함되면 단일 스케일 모형을 적용할 수 있다(Olsson and Burlando, 2002). Fig. 4를 보면 Fig. 3에서 추정된 각 모멘트 차수별 기울기 값이 모두 95% 신뢰구간 안에 포함되는 것을 확인할 수 있다. 따라서 각 원전부지별 스케일 모델은 단일 스케일 모델이 적용 가능하며 산정된 NPP-KR과 NPP-WS의 scale exponent 값은 각각 0.4346과 0.4186으로 산정되었다.
3.3 시간 상세화 기법을 활용한 확률강우량 추정
본 연구에서는 각 원전부지별로 추정된 scale exponent 값을 이용하여 Eqs. (4), (5), (6), (7)의 스케일 성질을 이용하여 확률강우량을 추정하였다. 첫 번째 추정 방법으로는 일 단위 강우량으로 추정된 확률강우량(ORGN)에 scale exponent를 직접적으로 적용하여 확률강우량을 추정(QUAN)하였다. 두 번째 방법은 일 단위 확률강우량을 추정하기 위해 구축된 GEV 분포 모형의 매개변수인 위치 매개변수(location parameter)와 규모 매개변수(scale parameter)에 각각 scale exponent를 적용하여 각 지속기간별 확률강우량 추정을 위한 확률분포 모형을 구축하였다. 이를 통해 시간적으로 상세화된 확률강우량을 추정하였다(PARA). 각 부지별 시간 상세화 기법 적용에 따른 확률강우량 추정 결과는 Table 3과 같다.
Table 3.
Estimated quantiles at each NPP for various durations and return periods
앞서 참값이라고 가정할 수 있는 Table 2의 값과 Table 3에서 각 시간 상세화 적용 기법에 따라 추정된 확률강우량 값과의 RMSE와 PE를 산정한 결과는 Table 4와 같다.
Table 4.
Comparison of RMSE under each scaling application method
| Index | NPP-KR | NPP-WS | ||
| QUAN | PARA | QUAN | PARA | |
| RMSE (mm) | 54.37 | 10.87 | 26.16 | 20.79 |
| PE (%) | 22.71 | 6.12 | 11.97 | 9.25 |
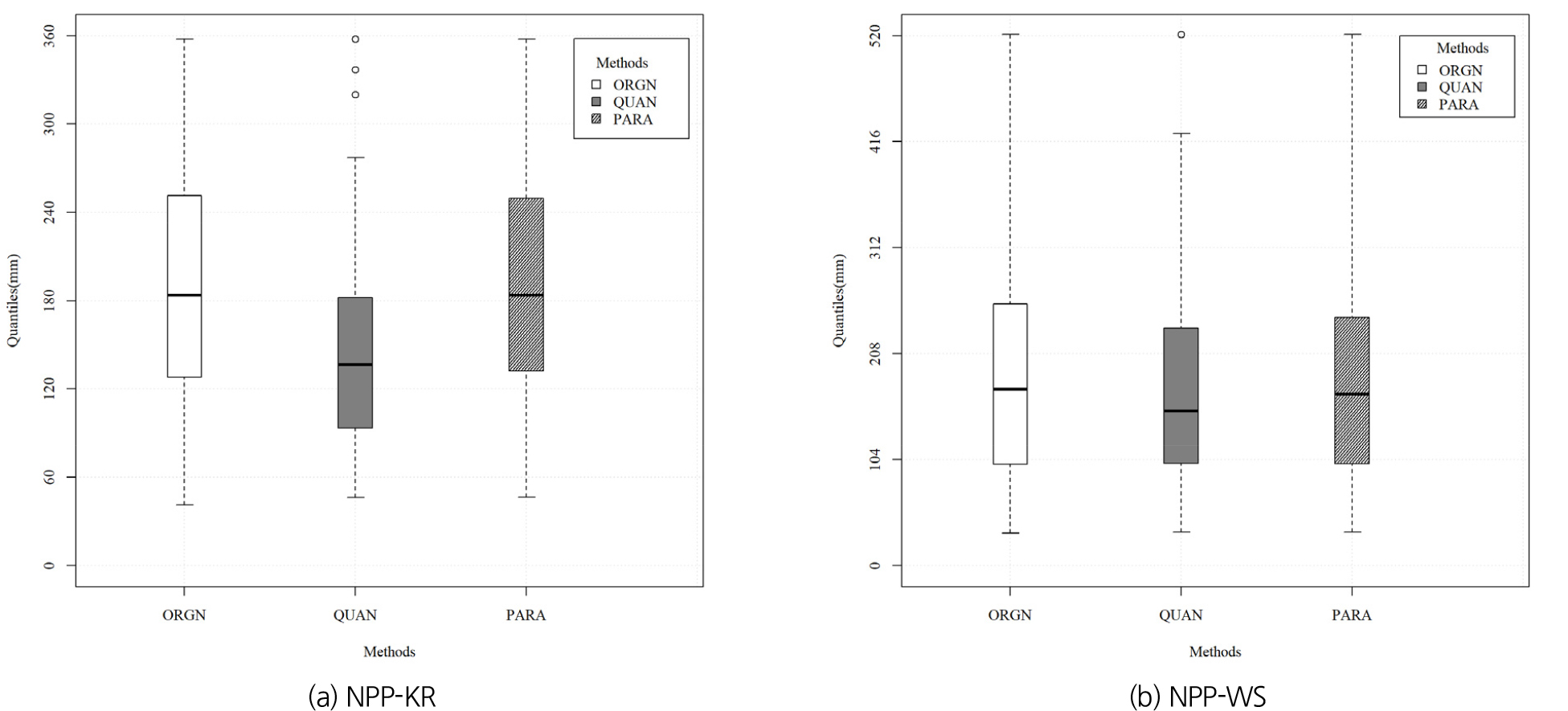
각 적용 방법별 확률강우량의 오차값을 계산한 결과 NPP-KR의 경우 QUAN 방법으로 약 23%의 오차율을 보였고 PARA 방법으로는 약 6%의 오차를 보였다. NPP-WS의 경우도 QUAN 방법의 경우 약 12%의 오차를 보였으나 PARA의 경우 약 9%의 오차가 확인되었다. 각 원전부지별로 QUAN 방법보다 PARA 방법에서 RMSE와 PE 오차가 각각 더 낮았으며 NPP-KR의 경우 QUAN과 PARA 방법에 따른 값의 차이가 NPP-WS의 경우보다 더 크게 나타났다. 각 원전부지별 참값과 시간 상세화 기법별로 추정된 지속기간 및 재현기간 별 확률강우량의 범위를 나타낸 결과는 Fig. 5와 같다.
각 원전 부지별 시 단위 관측값을 통해 추정된 지속기간 및 재현기간별 확률강우량과 PARA 방법으로 추정된 확률강우량의 범위는 유사한 것으로 나타났다. 반면, QUAN 방법으로 추정된 확률강우량은 PARA 방법에 비해 과소 추정되는 경향을 보였다. 이를 보다 입체적으로 분석하기 위하여 일 단위 지속기간 자료로부터 각 지속기간 별 시간적 상세화의 정확성과 재현기간 별 측면에서 얼마나 잘 재현되었는지 평가하기 위해서 Fig. 6과 같이 지속기간 및 재현기간 별 각각의 확률수문량의 범위와 분포를 비교하였다. Fig. 6에서 Figs. 6(a) and 6(b)는 각각 NPP-KR과 NPP-WS 지점의 지속기간(1, 2, 3, 4, 5, 12시간)에 따른 전체 재현기간별 확률강우량 범위를 나타낸다. Figs. 6(c) and 6(d)는 동일한 지점에서 재현기간(2, 10, 30, 50, 100년)에 따른 지속기간별 확률강우량 범위를 보여준다. Figs. 6(a) and 6(b)를 보면 각 지속기간별로 PARA 방법은 ORGN 값과 유사한 범위의 재현기간별 확률강우량의 범위와 값을 가지고 있지만 QUAN 방법에 의해 추정된 확률강우량은 참값과 비교하여 재현기간별 확률강우량의 범위가 상대적으로 좁고 극치 값을 적절히 추정하지 못한 것으로 나타났다. Figs. 6(c) and 6(d)의 경우에서는 재현기간 별로 확률강우량의 분포 및 값의 차이를 확인할 수 있다. 특히 Fig. 6(c)를 보면 NPP-KR지점의 경우 재현기간 2년을 제외한 재현기간 10년부터 100년까지에서의 확률강우량 분포를 살펴보면 PARA 방법에 의한 확률강우량 추정 값은 최소값과 최대값, 그리고 중간값에 해당하는 확률강우량값이 ORGN 값과 굉장히 유사한 것을 확인할 수 있다. 반면 QUAN 값은 재현기간이 커지면 커질수록 극치값을 제대로 재현해내지 못하는 것으로 보인다. NPP-WS 지점에서도 NPP-KR 지점만큼 극명한 차이는 아니지만, PARA 방법으로 추정된 확률강우량이 전반적으로 ORGN 값에 더 근접한 것으로 나타났다. Fig. 6의 결과를 통해 시 단위 관측값으로 추정된 확률강우량과 스케일 성질을 활용한 시간 상세화 방법(QUAN, PARA)의 차이를 지속기간과 재현기간별로 비교하였다. 참값으로 가정한 ORGN과 두 방법 간에 차이가 발생했으나, 분석 결과 PARA 방법 적용 시 ORGN 값과 더 유사한 분포를 보이는 것으로 나타났다.
4. 결 론
본 연구에서는 주요 국가시설물인 원전 부지를 대상으로, 일 단위 확률강우량으로부터 시 단위 확률강우량을 추정하기 위해 NPP-KR과 NPP-WS의 스케일 지수(scale exponent)를 산정하였다. 또한, 스케일 성질을 적용하는 다양한 방법을 검토하고, 적용 방법에 따른 스케일 모델의 성능을 비교·검증하였다.
1) NPP-KR과 NPP-WS 대상 관측소로 ‘홍수량 산정 표준 지침’에 수록된 615개 지점을 대상으로 Thiessen 망 분석 결과 23014010과 22014020 지점이 각각 선정되었다. 본 연구에서 수집된 관측자료로부터 지속기간(1, 2, 3, 4, 5 12, 24 시간) 별 재현기간(2, 10, 30, 50, 100년) 별 확률강우량 추정(GEV, MLE)시 역전현상은 발견되지 않았다.
2) NPP-KR과 NPP-WS를 대상으로 시간 상세화 기법을 수행하기 위해 각 지점별 scale exponent를 산정한 결과 각각 0.4529와 0.4186가 산정되었으며 1차부터 5차까지의 모멘트의 기울기 값이 95% 신뢰구간 안으로 모두 들어온 것을 확인하여 단일 스케일 모델 적용이 가능함을 확인하였다.
3) 일 단위 자료로부터 시 단위 자료로 시간 상세화를 수행한 결과 지점별, 지속기간별, 그리고 재현기간별로 재현성능의 차이는 있었지만 방법론적으로는 확률분포 모형에 스케일 인자를 적용하여 시 단위 확률강우량을 추정하는 방법(PARA)이 일 단위 확률강우량에 스케일 인자를 고려하는 방법(QUAN)보다 RMSE나 PE 평가지표상 우수한 것으로 나타났다.
4) 각 지속기간 및 각 재현기간별로 추정된 확률강우량을 참값과 비교해본 결과 QUAN은 재현기간이 증가할수록 오차비율이 증가하며 극치값을 과소추정하는 경향이 있고 PARA의 경우 재현기간 증감에 관계없이 비교적 일정한 오차비율을 보이는 것으로 확인 되었다. 따라서 NPP-KR과 NPP-WS를 대상으로 시간 상세화를 수행할 경우 구축된 확률분포 모형의 매개변수에 스케일 성질을 적용하여 수행하는 것이 적절한 것으로 보인다.
본 연구에서 산정된 스케일 인자는 미계측 지역, 혹은 특정 지속기간의 자료 유실 및 미계측 상황에서도 유용하게 활용될 수 있을 것으로 판단된다. 또한 전지구적 기후변화 시나리오 자료와 같은 일 단위의 저해상도 강우 자료를 시 단위의 고해상도로 변환하는 시간적 상세화가 가능하므로, 본 연구에서 제안한 방법론 및 적용 방법은 국내뿐 아니라 전 세계적으로도 활용 가능성이 높을 것으로 기대된다. 다만, 대상 지역의 특수성을 고려하여 목적 대상물별로 스케일 인자를 별도로 추정하고 검토하는 과정이 필요하다. 이를 통해 국가시설물의 안전성을 평가하고 검토하는데 본 연구 결과가 유용하게 활용되기를 기대한다.








